氟氯菊酯
联苯菊酯是一种人工合成的拟除虫菊酯杀虫剂,它能延长钠通道的开放时间,导致昆虫神经系统的膜去极化和传导阻滞。联苯菊酯对冈比亚疟原虫和致倦库蚊有效(LD50s分别为0.15和0.16ng/mg),并增加了处理过的玉米和高粱植株的内生线虫死亡率。
产品名称
-
中文名联苯菊酯
-
英文名bifenthrin
-
中文别名氟氯菊酯 | 虫螨灵 | 毕芬宁 | 3-[(1Z)-2-氯-3,3,3-三氟-1-丙烯基]-2,2-二甲基环丙烷羧酸(2-甲基联苯-3-基)甲基酯 | 天王星 | (1R,S)-顺式-(Z)-2,2-二甲基-3-(2-氯-3,3,3-三氟-1-丙烯基)环丙烷羧酸-2-甲基-3-苯基苄酯 | 2-氟氯菊酯 | (1R,S)-顺式(Z)2,2-二甲基-3-(2-氯-3,3,3-三氟-1-丙烯基)环丙烷羧酸-2- 甲基-3-苯基苄酯 | 毕芳宁
-
英文别名
UNII-6B66JED0KN MFCD00143694 biphenate capture Brookade 2-methylbiphenyl-3-ylmethyl (1RS)-cis-3-[(Z)-2-chloro-3,3,3-trifluoroprop-1-enyl]-2,2-dimethylcyclopropanecarboxylate biphenthrin (2-methyl[1,1’-biphenyl]-3-yl)methyl (1R,3R)-rel-3-[(1Z)-2-chloro-3,3,3-trifluoro-1-propen-1-yl]-2,2-dimethylcyclopropanecarboxylate Cyclopropanecarboxylic acid, 3-[(1Z)-2-chloro-3,3,3-trifluoro-1-propen-1-yl]-2,2-dimethyl-, (2-methyl[1,1'-biphenyl]-3-yl)methyl ester, (1S,3S)- Talster brigade 2-methylbiphenyl-3-ylmethyl (1RS,3RS)-3-[(Z)-2-chloro-3,3,3-trifluoroprop-1-enyl]-2,2-dimethylcyclopropanecarboxylate (2-Methyl-3-biphenylyl)methyl (1S,3S)-3-[(1Z)-2-chloro-3,3,3-trifluoro-1-propen-1-yl]-2,2-dimethylcyclopropanecarboxylate TALSTAR bifenthrin rac-(2-methyl[1,1’-biphenyl]-3-yl)methyl (1R,3R)-3-[(1Z)-2-chloro-3,3,3-trifluoroprop-1-en-1-yl]-2,2-dimethylcyclopropane-1-carboxylate -
常用名氟氯菊酯
-
C A S号82657-04-3
物理性质
-
密度1.3±0.1 g/cm3
-
沸点453.2±45.0 °C at 760 mmHg
-
熔点68-71°C
-
化学式C23H22ClF3O2
-
结构式
-
闪点136.5±17.9 °C
-
分子量422.868
-
精确质量422.126038
-
P S A26.30000
-
外观形状白色结晶固体
-
储存条件
库房通风低温干燥; 与食品原料分开储运
0-6°C冷藏
-
稳定性
-
水溶解性
-
形态灰白色固体
-
H L B值
-
粘度
-
PH值
作用/用途
联苯菊酯是一种人工合成的拟除虫菊酯杀虫剂,它能延长钠通道的开放时间,导致昆虫神经系统的膜去极化和传导阻滞。联苯菊酯对冈比亚疟原虫和致倦库蚊有效(LD50s分别为0.15和0.16ng/mg),并增加了处理过的玉米和高粱植株的内生线虫死亡率。
制备方法
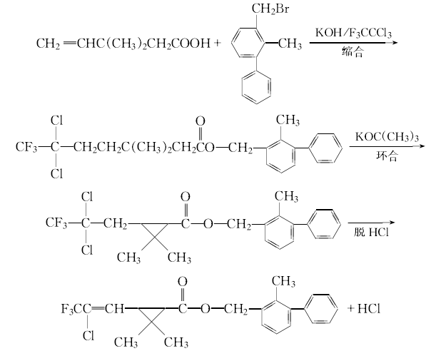
制备方法一由2-苯基苯甲酸与SOCl2反应制得2-苯基苯甲酰氯,再与二甲基甲酰胺反应制得相应的2-苯基苯甲酰胺,经氢化锂铝还原制得2-苯基二甲苄胺。将2-苯基二甲苄胺与CH3I反应制得相应的铵盐,再经异构化后与氯甲酸乙酯反应,制得2-甲基-3-苯基氯苄。最后与相应的酸在KOH存在下,于乙腈中回流16h,制得联苯菊酯。制备方法二由3,3-二甲基-1-烯戊酸2-甲基-3-苯基溴苄经缩合、环合、脱氯化氢制得
2.由3,3-二甲基-1-烯戊酸2-甲基-3-苯基溴苄经缩合、环合、脱氯化氢制得。
安全提醒
MSDS
|
模块1. 化学品 1.1 产品标识符 : 氟氯菊酯 产品名称 1.2 鉴别的其他方法 3-[(1Z)-2-Chloro-3,3,3-trifluoro-1-propenyl]-2,2-dimethylcyclopropanecarboxylic acid (2-methylbiphenyl-3- yl)methyl ester
1.3 有关的确定了的物质或混合物的用途和建议不适合的用途 仅用于研发。不作为药品、家庭或其它用途。 模块2. 危险性概述 2.1 GHS分类 急性毒性, 经口 (类别 2) 急性毒性, 吸入 (类别 3) 急性毒性, 经皮 (类别 5) 皮肤过敏 (类别 1) 致癌性 (类别 2) 特异性靶器官系统毒性(反复接触) (类别 1) 急性水生毒性 (类别 1) 慢性水生毒性 (类别 1) 2.2 GHS 标记要素,包括预防性的陈述 象形图 警示词危险 危险申明 H300吞咽致命。 H313皮肤接触可能有害。 H317可能造成皮肤过敏反应。 H331吸入会中毒。 H351怀疑致癌。 H372长期或反复接触会对器官造成损害。 H410对水生生物毒性极大并具有长期持续影响。 警告申明 预防措施 P201在使用前取得专用说明。 P202在读懂所有安全防范措施之前请勿搬动。 P260不要吸入粉尘/ 烟/ 气体/ 烟雾/ 蒸气/ 喷雾。 P264操作后彻底清洗皮肤。 P270使用本产品时不要进食、饮水或吸烟。 P271只能在室外或通风良好之处使用。 P272受沾染的工作服不得带出工作场地。 P273避免释放到环境中。 P280戴防护手套/穿防护服/戴防护眼罩/戴防护面具。 事故响应 P301 + P310 + P330如果吞咽: 立即呼叫解毒中心或就医。漱口。 P302 + P352如皮肤沾染:用水充分清洗。 P304 + P340 + P311如果吸入:将受害人移至空气新鲜处并保持呼吸舒适的姿势休息。 呼叫解毒中心或就医。 P312如感觉不适,呼叫解毒中心或医生。 P333 + P313如发生皮肤刺激或皮疹:求医/就诊。 P362 + P364脱掉所有沾染的衣服,清洗后方可重新使用。 P391收集溢出物。 储存 P403 + P233存放在通风良好的地方。保持容器密闭。 P405存放处须加锁。 废弃处置 P501将内装物/容器送到批准的废物处理厂处理。 当心 - 物质尚未完全测试。 2.3 其它危害物 - 无 模块3. 成分/组成信息 3.1 物 质 : 3-[(1Z)-2-Chloro-3,3,3-trifluoro-1-propenyl]-2,2- 别名 dimethylcyclopropanecarboxylic acid (2-methylbiphenyl-3-yl)methyl ester : C23H22ClF3O2 分子式 : 422.87 g/mol 分子量 组分浓度或浓度范围 Bifenthrin 化学文摘登记号(CAS82657-04-3<= 100 % No.)613-022-00-6 索引编号 模块4. 急救措施 4.1 必要的急救措施描述 一般的建议 请教医生。 向到现场的医生出示此安全技术说明书。 吸入 如果吸入,请将患者移到新鲜空气处。 如呼吸停止,进行人工呼吸。 请教医生。 皮肤接触 用肥皂和大量的水冲洗。 立即将患者送往医院。 请教医生。 眼睛接触 谨慎起见用水冲洗眼睛。 食入 切勿给失去知觉者喂食任何东西。 用水漱口。 请教医生。 4.2 主要症状和影响,急性和迟发效应 4.3 及时的医疗处理和所需的特殊处理的说明和指示 无数据资料 模块5. 消防措施 5.1 灭火介质 灭火方法及灭火剂 用水雾,耐醇泡沫,干粉或二氧化碳灭火。 5.2 源于此物质或混合物的特别的危害 碳氧化物, 氯化氢气体, 氟化氢 5.3 给消防员的建议 如有必要,佩戴自给式呼吸器进行消防作业。 5.4 进一步信息 无数据资料 模块6. 泄露应急处理 6.1 作业人员防护措施、防护装备和应急处置程序 戴呼吸罩。 避免粉尘生成。 避免吸入蒸气、气雾或气体。 保证充分的通风。 将人员疏散到安全区域。 避免吸入粉尘。 6.2 环境保护措施 如能确保安全,可采取措施防止进一步的泄漏或溢出。 不要让产品进入下水道。 避免排放到周围环境中。 6.3 泄漏化学品的收容、清除方法及所使用的处置材料 收集和处置时不要产生粉尘。 扫掉和铲掉。 放入合适的封闭的容器中待处理。 6.4 参考其他部分 丢弃处理请参阅第13节。 模块7. 操作处置与储存 7.1 安全操作的注意事项 避免接触皮肤和眼睛。 避免形成粉尘和气溶胶。 在有粉尘生成的地方,提供合适的排风设备。 7.2 安全储存的条件,包括任何不兼容性 贮存在阴凉处。 使容器保持密闭,储存在干燥通风处。 7.3 特定用途 无数据资料 模块8. 接触控制和个体防护 8.1 控制参数 职业接触限值 不含有职业接触限值的物质。 8.2 暴露控制 适当的技术控制 避免与皮肤、眼睛和衣服接触。 休息前和操作本品后立即洗手。 个体防护装备 眼面防护 面罩與安全眼鏡请使用经官方标准如NIOSH (美国) 或 EN 166(欧盟) 检测与批准的设备防护眼部。 皮肤保护 戴手套取 手套在使用前必须受检查。 请使用合适的方法脱除手套(不要接触手套外部表面),避免任何皮肤部位接触此产品. 使用后请将被污染过的手套根据相关法律法规和有效的实验室规章程序谨慎处理. 请清洗并吹干双手 所选择的保护手套必须符合EU的89/686/EEC规定和从它衍生出来的EN 376标准。 完全接触 材料: 丁腈橡胶 最小的层厚度 0.11 mm 溶剂渗透时间: 480 min 测试过的物质Dermatril® (KCL 740 / Z677272, 规格 M) 飞溅保护 材料: 丁腈橡胶 最小的层厚度 0.11 mm 溶剂渗透时间: 480 min 测试过的物质Dermatril® (KCL 740 / Z677272, 规格 M) , 测试方法 EN374 如果以溶剂形式应用或与其它物质混合应用,或在不同于EN 374规定的条件下应用,请与EC批准的手套的供应商联系。 这个推荐只是建议性的,并且务必让熟悉我们客户计划使用的特定情况的工业卫生学专家评估确认才可. 这不应该解释为在提供对任何特定使用情况方法的批准. 身体保护 全套防化学试剂工作服, 防护设备的类型必须根据特定工作场所中的危险物的浓度和数量来选择。 呼吸系统防护 如危险性评测显示需要使用空气净化的防毒面具,请使用全面罩式多功能微粒防毒面具N100型(US )或P3型(EN 143)防毒面具筒作为工程控制的候补。如果防毒面具是保护的唯一方式,则使用全面罩式送风防毒 面具。 呼吸器使用经过测试并通过政府标准如NIOSH(US)或CEN(EU)的呼吸器和零件。 模块9. 理化特性 9.1 基本的理化特性的信息 a) 外观与性状 形状: 粉末 颜色: 白色 b) 气味 无数据资料 c) 气味阈值 无数据资料 d) pH值 无数据资料 e) 熔点/凝固点 51 - 66 °C f) 初沸点和沸程 无数据资料 g) 闪点 165 °C - 闭杯 h) 蒸发速率 无数据资料 i) 易燃性(固体,气体) 无数据资料 j) 高的/低的燃烧性或爆炸性限度 无数据资料 k) 蒸气压 < 1 hPa 在 25 °C l) 蒸气密度 无数据资料 m) 密度/相对密度 1.212 g/cm3 在 25 °C n) 水溶性 无数据资料 o) 正辛醇/水分配系数 log Pow: > 6 p) 自燃温度 无数据资料 q) 分解温度 无数据资料 r) 黏度 无数据资料 模块10. 稳定性和反应活性 10.1 反应性 无数据资料 10.2 稳定性 无数据资料 10.3 危险反应 无数据资料 10.4 应避免的条件 无数据资料 10.5 不相容的物质 强氧化剂 10.6 危险的分解产物 其它分解产物 - 无数据资料 模块11. 毒理学资料 11.1 毒理学影响的信息 急性毒性 无数据资料 LD50 经皮 - 家兔 - > 2,000 mg/kg 皮肤腐蚀/刺激 无数据资料 严重眼睛损伤/眼刺激 无数据资料 呼吸或皮肤过敏 无数据资料 生殖细胞致突变性 无数据资料 致癌性 可疑人类致癌物 IARC: 此产品中没有大于或等于 0。1%含量的组分被 IARC鉴别为可能的或肯定的人类致癌物。 生殖毒性 无数据资料 特异性靶器官系统毒性(一次接触) 无数据资料 特异性靶器官系统毒性(反复接触) 无数据资料 吸入危害 无数据资料 潜在的健康影响 吸入吸入会中毒。 可能引起呼吸道刺激。 食入吞咽可能致死。 皮肤如果被皮肤吸收会有毒性 可能引起皮肤刺激。 眼睛可能引起眼睛刺激。 附加说明 化学物质毒性作用登记: GZ1227800 模块12. 生态学资料 12.1 生态毒性 对鱼类的毒性LC50 - Oncorhynchus mykiss (虹鳟) - 0.15 µg/l - 96.0 h 对水溞和其他水生无脊LC50 - Daphnia magna (水溞) - 0.32 µg/l - 48 h 椎动物的毒性 12.2 持久性和降解性 无数据资料 12.3 潜在的生物累积性 无数据资料 12.4 土壤中的迁移性 无数据资料 12.5 PBT和vPvB的结果评价 无数据资料 12.6 其他不良影响 对水生生物毒性极大并具有长期持续影响。 模块13. 废弃处置 13.1 废物处理方法 产品 将剩余的和不可回收的溶液交给有许可证的公司处理。 与易燃溶剂相溶或者相混合,在备有燃烧后处理和洗刷作用的化学焚化炉中燃烧 受污染的容器和包装 按未用产品处置。 模块14. 运输信息 14.1 联合国编号 欧洲陆运危规: 2811国际海运危规: 2811国际空运危规: 2811 14.2 联合国运输名称 欧洲陆运危规: TOXIC SOLID, ORGANIC, N.O.S. (Bifenthrin) 国际海运危规: TOXIC SOLID, ORGANIC, N.O.S. (Bifenthrin) 国际空运危规: Toxic solid, organic, n.o.s. (Bifenthrin) 14.3 运输危险类别 欧洲陆运危规: 6.1国际海运危规: 6.1国际空运危规: 6.1 14.4 包裹组 欧洲陆运危规: II国际海运危规: II国际空运危规: II 14.5 环境危险 欧洲陆运危规: 是国际海运危规国际空运危规: 否 海洋污染物(是/否): 是 14.6 特殊防范措施 无数据资料 模块 15 - 法规信息 N/A 模块16 - 其他信息 N/A |
原料简介
应用范围
毒性和生态
安全信息
| 符号 |
GHS02, GHS07, GHS09 |
|---|---|
| 信号词 | Danger |
| 危害声明 | H225-H302 + H312 + H332-H319-H411 |
| 警示性声明 | P210-P273-P280-P305 + P351 + P338 |
| 个人防护装备 | Eyeshields;Faceshields;full-face respirator (US);Gloves;multi-purpose combination respirator cartridge (US);type ABEK (EN14387) respirator filter |
| 危害码 (欧洲) | Xn:Harmful |
| 风险声明 (欧洲) | R20/21/22;R50/53 |
| 安全声明 (欧洲) | S13-S60-S61-S36/37-S16 |
| 危险品运输编码 | UN 2588 |
| RTECS号 | GZ1227800 |
| 包装等级 | III |
| 危险类别 | 6.1(b) |
是否危险品
危险性
危险类别码
危险等级
触发危险方式
安全技术说明书
环境影响程度
包装与储运
相关供应商

搜索







