2,5-二氯苯酚
用作医药、染料等中间体,除草剂麦草畏中间体、氮肥增效剂、皮革防霉剂等
产品名称
-
中文名2,5-二氯苯酚
-
英文名2,5-Dichlorophenol
-
中文别名2,5-二氯酚 | 2,5-双氯酚
-
英文别名
Phenol,2,5-dichloro 2,5-C6H3Cl2OH 2,5-DICHLOROPHENOL PESTANAL Dichlorophenol 3,6-dichlorophenol DICHLOROPHENOL-2,5 2.5-Dichlor-1-hydroxy-benzol 2,5-dichloro-pheno Phenol, 2,5-dichloro- EINECS 209-520-4 2,5-DCP 2,5-dichloro-phenol MFCD00002174 2,5-Dichlorophenol 2,5-Dichlorphenol 2,5-chlorophenol -
常用名2,5-二氯苯酚
-
C A S号583-78-8
物理性质
-
密度1.5±0.1 g/cm3
-
沸点214.6±20.0 °C at 760 mmHg
-
熔点54-57 °C(lit.)
-
化学式C6H4Cl2O
-
结构式
分子性质数据:
1、 摩尔折射率:37.92
2、 摩尔体积(cm3/mol):111.7
3、 等张比容(90.2K):294.0
4、 表面张力(dyne/cm):47.8
5、 极化率(10-24cm3):15.03
-
闪点100.0±15.8 °C
-
分子量163.001
-
精确质量161.963913
-
P S A20.23000
-
外观形状棱柱或白色晶体
-
储存条件
包装储运 用纤维板包装桶包装,内衬聚氯乙烯包装袋,每桶净重40kg。贮存于阴凉、干燥仓库,防止日晒。
用纤维板包装桶包装,内衬聚氯乙烯包装袋,每桶净重40kg,贮存于阴凉、干燥仓库,防止日晒
-
稳定性
-
水溶解性
-
形态
-
H L B值
-
粘度
-
PH值
作用/用途
用作医药、染料等中间体,除草剂麦草畏中间体、氮肥增效剂、皮革防霉剂等
制备方法
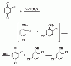
制备方法: 1.以2,5-二氯苯胺为原料,加硫酸及亚硝酸钠进行重氮化,经水解而得成品。2.以1,2,4-三氯苯为原料,加烧碱和溶剂在一定温度和压力下进行水解反应,得2,5-二氯苯酚钠和2,4-二氯苯酚钠,再经盐酸酸化而得粗品混合物。然后,以尿素加成法分离2,4-二氯苯酚后得2,5-二氯苯酚成品。
2.将1,2,3,4-三氯苯至于反应锅中,在60℃滴加氯磺酸,滴加完后,物料加入水中,分出2,3,5-三氯苯磺酸,甲基氨溶液加热反应,冰水蒸馏得2,5-二氯苯酚。
安全提醒
MSDS
|
||||||||||||||||||||||||||||||||||||||||||||||||||||||||||||||||||||||||||||||||||||||||||||||||||||||||||||||||||||||||||||||||||||||||||||||||||||||||||||||||||||||||||||||||||||||||||||||||||||||||||||||||||||||||||||||||||||||||||||||||||||||||||
原料简介
应用范围
毒性和生态
安全信息
| 符号 |
GHS05, GHS07 |
|---|---|
| 信号词 | Danger |
| 危害声明 | H302-H314 |
| 警示性声明 | P280-P305 + P351 + P338-P310 |
| 个人防护装备 | Eyeshields;Faceshields;full-face particle respirator type N100 (US);Gloves;respirator cartridge type N100 (US);type P1 (EN143) respirator filter;type P3 (EN 143) respirator cartridges |
| 危害码 (欧洲) | Xn:Harmful; |
| 风险声明 (欧洲) | R22;R36/38 |
| 安全声明 (欧洲) | S26-S36/37/39-S45-S61-S37/39 |
| 危险品运输编码 | UN 2020 6.1/PG 3 |
| WGK德国 | 2 |
| RTECS号 | SK8600000 |
| 包装等级 | III |
| 危险类别 | 6.1 |
| 海关编码 | 2908199090 |
是否危险品
危险性
危险类别码
危险等级
触发危险方式
安全技术说明书
环境影响程度
包装与储运
相关供应商

搜索






