氟乐灵
Trifluralin是一种除莠剂, 适用于一年生禾本科杂草及部分双子叶杂草。
产品名称
-
中文名氟乐灵
-
英文名trifluralin
-
中文别名2,6-二硝基-N,N-二丙基-4-三氟甲基苯胺 | 氟特力 | 2,6-二硝基-N,N-二正丙基-4-三氟甲 | 氟利克 | 特富力 | 2,6-二硝基-N,N-二正丙基-4-三氟甲基苯胺 | 特福力
-
英文别名
2,6-Dinitro-N,N-dipropyl-4-trifluoromethylaniline treflam OLITREF trifluralin EINECS 216-428-8 Tri-4 2,6-Dinitro-N,N-dipropyl-4-(trifluoromethyl)aniline p-Toluidine, α,α,α-trifluoro-2,6-dinitro-N,N-dipropyl- 1893555 N,N-di-n-propyl-2,6-dinitro-4-trifluoromethylaniline a,a,a-Trifluoro-2,6-dinitro-N,N-dipropyl-p-toluidine Brassix IPERSAN α,α,α-Trifluoro-2,6-dinitro-N,N-dipropyl-p-toluidine Prolan MFCD00055241 EFLURIN 2,6-Dinitro-N,N-dipropyl-4-(trifluoromethyl)benzenamine nitrank Benzenamine, 2,6-dinitro-N,N-dipropyl-4-(trifluoromethyl)- TREFLAN FXFFR CNW ENW DN3&3 -
常用名氟乐灵
-
C A S号1582-09-8
物理性质
-
密度1.3±0.1 g/cm3
-
沸点369.1±42.0 °C at 760 mmHg
-
熔点48.5°C
-
化学式C13H16F3N3O4
-
结构式
1、 摩尔折射率:77.16
2、 摩尔体积(cm3/mol):250.6
3、 等张比容(90.2K):626.6
4、 表面张力(dyne/cm):41.6
5、 介电常数(F/m):无可用
6、 极化率(10-24cm3):30.59
-
闪点177.0±27.9 °C
-
分子量335.279
-
精确质量335.109283
-
P S A94.88000
-
外观形状黄色-橙色结晶固体
-
储存条件
保持容器密封,储存在阴凉,干燥的地方
-
稳定性
-
水溶解性
-
形态橙黄色结晶固体。
-
H L B值
-
粘度
-
PH值
作用/用途
Trifluralin是一种除莠剂, 适用于一年生禾本科杂草及部分双子叶杂草。
制备方法
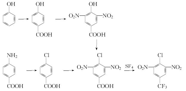
4-三氟甲基-2,4-二硝基氯苯的制备 甲苯经催化制得氯甲苯,再在光催化下通氯,制得对氯三氯化苄,然后与氟化氢作用,制得对氯三氟甲苯,最后经硝化成4-三氟甲基-2,4-二硝基氯苯。4-三氟甲基-2,4-二硝基氯苯的合成方法很多,还有合成路线如下。
二丙胺的制备 乙烯经羰基合成得丙醛,还原得丙醇,再与氨作用得二丙胺。
氟乐灵的合成 将4-三氟甲基-2,4-二硝基氯苯与二丙胺于100℃反应2h,经后处理后得氟乐灵。
对氯三氟甲苯与混酸进行硝化,生成3,5-二硝基-4-氯三氟甲苯,然后与二正丙胺、纯碱溶液进行胺化,生成3,5-二硝基-4-二正丙基三氟甲苯胺。原料消耗定额:对氯三氟甲苯(98%)740kg/t、发烟硝酸(96%)1010kg/t、浓硫酸(96%)330kg/t、发烟硫酸(SO320%)40kg/t、二正丙胺(98%)310kg/t、碳酸钠(98%)200kg/t。
安全提醒
MSDS
|
|||||||||||||||||||||||||||||||||||||||||||||||||||||||||||||||||||||||||||||||||||||||||||||||||||||||||||||||||||||||||||||||||||||||||||||||||||||||||||||||||||||||||||||||||||||||||||||||||||||||||||||||||||||||||||||||||||||||||||||||||||||||
原料简介
应用范围
毒性和生态
安全信息
| 符号 |
GHS06, GHS08, GHS09 |
|---|---|
| 信号词 | Danger |
| 危害声明 | H302-H317-H331-H351-H410 |
| 警示性声明 | P261-P273-P280-P304 + P340 + P312-P333 + P313-P403 + P233 |
| 个人防护装备 | dust mask type N95 (US);Eyeshields;Faceshields;Gloves |
| 危害码 (欧洲) | Xi:Irritant |
| 风险声明 (欧洲) | R36;R43;R50/53 |
| 安全声明 (欧洲) | S2-S24-S37-S60-S61-S36-S26-S16 |
| 危险品运输编码 | UN 2588 |
| RTECS号 | XU9275000 |
| 海关编码 | 2921430010 |
是否危险品
危险性
危险类别码
危险等级
触发危险方式
安全技术说明书
环境影响程度
包装与储运
相关供应商

搜索







