三氟氯氰菊酯
-
中文名三氟氯氰菊酯
-
英文名λ-Cyhalothrin
-
中文别名(Z)-氰基(3-苯氧基苯基)甲基 3-(2-氯-3,3,3-三氟丙-1-烯-1-基)-2,2-二甲基环丙羧酸酯 | α-氰基-3-苯氧苄基-3-(2-氯-3,3,3-三氯氟-1-丙烯基)-2,2-二甲基环丙烷羧酸酯(Z)-(1R,3R),S-酯及(Z),(1S,3S),R-酯的1:1混合物 | 爱克宁 | 三氯氟氰菊酯 | α-氰基-3-苯氧基苯甲基-3-(2-氯-3,3,3-三氟-1-丙烯基)-2,2-二甲基环丙羧酸酯
-
英文别名
LAMOH-CYHALOTHRIN lambda-Cyhalotrin (R)-cyano(3-phenoxyphenyl)methyl (1S,3S)-rel-3-[(1Z)-2-chloro-3,3,3-trifluoro-1-propen-1-yl]-2,2-dimethylcyclopropanecarboxylate LAMBDA CYHALOTHRIN CYHALOTHRIN LAMBDA α-cyano-3-phenoxybenzyl-3-(2-chloro-3,3,3-trifluoro-1-propenyl)-2,2-dimethyl cyclopropanecarboxylate λ-Cyhalothrin (Z)-cyano(3-phenoxyphenyl)methyl 3-(2-chloro-3,3,3-trifluoroprop-1-en-1-yl)-2,2-dimethylcyclopropanecarboxylate Cyhalothrin-Lambda(Cyhalothrin) (R)-Cyano(3-phenoxyphenyl)methyl (1S,3S)-3-[(1Z)-2-chloro-3,3,3-trifluoro-1-propen-1-yl]-2,2-dimethylcyclopropanecarboxylate - (S)-cyano(3-phenoxyphenyl)methyl (1R,3R)-3-[(1Z)-2-chloro-3,3,3-trifluoro-1-propen-1-yl]-2,2-dimethylcyclopropanecarboxylate (1:1) rac-(R)-cyano(3-phenoxyphenyl)methyl (1S,3S)-3-[(1Z)-2-chloro-3,3,3-trifluoroprop-1-en-1-yl]-2,2-dimethylcyclopropane-1-carboxylate MFCD02181175 lambda-Cyhalothrin of (R)-α-cyano-3-phenoxybenzyl (1S)-cis-3-[(Z)-2-chloro-3,3,3-trifluoropropenyl]-2,2-dimethylcyclopropanecarboxylate and (S)-α-cyano-3-phenoxybenzyl (1R)-cis-3-[(Z)-2-chloro-3,3,3-trifluoropropenyl]-2,2-dimethylcyclopropanecarboxylate EINECS 415-130-7 Cyhalothrin -
常用名三氟氯氰菊酯
-
C A S号91465-08-6
-
密度1.33
-
沸点187-190°C
-
熔点49.2°C
-
化学式C23H19ClF3NO3
-
结构式
1、 摩尔折射率:110.48
2、 摩尔体积(cm3/mol):334.6
3、 等张比容(90.2K):878.8
4、 表面张力(dyne/cm):47.5
5、 极化率(10-24cm3):43.79
-
闪点255.5ºC
-
分子量899.700
-
精确质量898.201111
-
P S A118.64000
-
外观形状液体
-
储存条件2-8°C
-
稳定性
-
水溶解性
-
形态纯品为白色固体,工业品为淡黄色固体。
-
H L B值
-
粘度
-
PH值
2-氯-3,3,3-三氟丙烯基-2‘,2’-二甲基环丙羧酸制备 制备过程包括加成、环合、消除、皂化等步骤。以二甲基戊烯酸甲酯为原料,与三氯三氟乙烷、过氧苯甲酸在催化剂存在下,于100℃反应5h;加成产物与特丁醇钠在四氢呋喃溶剂中于0℃反应2h,完全环合反应;消除反应却去除一分子氯化氢后形成双键;生成的环丙羧酸酯在碱性条件下水解得2-氯-3,3,3-三氟丙烯基-2‘,2’-二甲基环丙羧酸。
α-氰基间苯氧基苯甲醇的制备
由间苯氧基苯甲醛与氰化钠作用 由间苯氧基苯甲醛与氰化钠在酸性条件下反应制得。工艺过程为:0.3g氰化钾(钠)和1mL水,搅拌冷却至-15℃,回间苯氧基苯甲醛0.8g,滴加40%硫酸1mL,搅拌15min,四氯化碳萃取,萃取液经干燥、脱溶得0.64g (±)α-氰基间苯氧基苯甲醇。
由间苯氧基苯甲配合的亚硫酸氢钠加成物与氰化钠作用 该法也可先由间苯氧基苯甲醛与亚硫酸氢钠加成,生成相应的羟基磺酸钠,然后将3.7kg加成产物加入7.4L二甲基甲酰胺中,搅拌冷却至5℃,滴加由0.765kg氰化钠和3.8L水组成的溶液,于10℃搅拌30min。将反应液倒入由水和醋酸乙酯组成的混合液中,搅拌,分离水相,醋酸乙酯抽提,合并有机相,水洗,加0.37kg活性炭和0.37kg硫酸钠,搅拌,过滤,减压蒸馏,浓缩至干,得2.7kgα-氰基间苯氧基苯甲醇,收率97%。
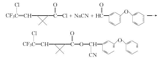
氯氟氰菊酯的合成 将相应的环丙羧酸以氯化亚砜为氯化剂,使环丙羧酸形成环丙酰氯,然后在吡啶存在下,与α-氰基间苯氧基苯甲醇合成氯氟氰菊酯。在生产过程中,可以生成16个立体异构体,但所需产品只是一对高效体,因此,选择合适的工艺条件,采用立体定向合成催化剂及溶剂以提高立体合成的选择性。
或用下述方法制备:将计量的水、氟化钠溶液及催化剂置于反应锅中,待氰化钠完全溶解后冷却,在低温下加入间苯氧基苯甲醛和氯氟菊酰氯,反应6h,水洗3次,含氰废水后处理。油层脱溶得淡黄色黏稠状液体,经入旋化釜,加入溶剂和催化剂,室温搅拌反应,冷却,加少许晶种,进行差向异构化反应。析出结晶,过滤,干燥得产品。
|
模块1. 化学品 1.1 产品标识符 : 高效氯氟氰菊酯 产品名称 1.2 鉴别的其他方法 无数据资料
1.3 有关的确定了的物质或混合物的用途和建议不适合的用途
仅用于研发。不作为药品、家庭或其它用途。 模块2. 危险性概述 2.1 GHS-分类 急性毒性, 经口 (类别 3) 急性毒性, 吸入 (类别 1) 急性毒性, 经皮 (类别 3) 急性水生毒性 (类别 1) 慢性水生毒性 (类别 1) 2.2 GHS 标记要素,包括预防性的陈述 象形图 警示词危险 危险申明 H301 + H311吞咽或皮肤接触有毒。 H330吸入致命。 H410对水生生物毒性极大并具有长期持续影响. 警告申明 预防措施 P260不要吸入粉尘/ 烟/ 气体/ 烟雾/ 蒸汽/ 喷雾。 P264操作后彻底清洁皮肤。 P270使用本产品时不要进食、饮水或吸烟。 P271只能在室外或通风良好之处使用。 P273避免释放到环境中。 P280穿戴防护手套/ 防护服。 P284戴呼吸防护装置。 事故响应 P301 + P310如果吞下去了: 立即呼救解毒中心或医生。 P302 + P352如接触皮肤:使用大量水冲洗。 P304 + P340如果吸入:将受害人移至空气新鲜处并保持呼吸舒适的姿势休息。 P310立即呼叫中毒控制中心或医生. P320具体紧急处置(见本标签上提供的急救指导)。 P330漱口。 P361 + P364立即除去∕脱掉所有沾污的衣物,清洗后方可再用。 P391收集溢出物。 安全储存 P403 + P233存放于通风良的地方。 保持容器密闭。 P405存放处须加锁。 废弃处置 P501将内容物/ 容器处理到得到批准的废物处理厂。 2.3 其它危害物 - 无 模块3. 成分/组成信息 3.1 物 质 : C23H19ClF3NO3 分子式 : 449.85 g/mol 分子量 组分浓度或浓度范围 λ-Cyhalothrin <=100% 化学文摘登记号(CAS91465-08-6 No.)415-130-7 EC-编号607-252-00-6 索引编号 模块4. 急救措施 4.1 必要的急救措施描述 一般的建议 请教医生。 向到现场的医生出示此安全技术说明书。 吸入 如果吸入,请将患者移到新鲜空气处。 如呼吸停止,进行人工呼吸。 请教医生。 皮肤接触 用肥皂和大量的水冲洗。 立即将患者送往医院。 请教医生。 眼睛接触 用水冲洗眼睛作为预防措施。 食入 切勿给失去知觉者通过口喂任何东西。 用水漱口。 请教医生。 4.2 主要症状和影响,急性和迟发效应 据我们所知,此化学,物理和毒性性质尚未经完整的研究。 4.3 及时的医疗处理和所需的特殊处理的说明和指示 无数据资料 模块5. 消防措施 5.1 灭火介质 灭火方法及灭火剂 用水雾,抗乙醇泡沫,干粉或二氧化碳灭火。 5.2 源于此物质或混合物的特别的危害 碳氧化物, 氮氧化物, 氯化氢气体, 氟化氢 5.3 给消防员的建议 如必要的话,戴自给式呼吸器去救火。 5.4 进一步信息 无数据资料 模块6. 泄露应急处理 6.1 作业人员防护措施、防护装备和应急处置程序 戴呼吸罩。 避免粉尘生成。 避免吸入蒸气、烟雾或气体。 保证充分的通风。 人员疏散到安全区域。 避免吸入粉尘。 6.2 环境保护措施 如能确保安全,可采取措施防止进一步的泄漏或溢出。 不要让产品进入下水道。 一定要避免排放到周围环境中。 6.3 泄漏化学品的收容、清除方法及所使用的处置材料 收集和处置时不要产生粉尘。 扫掉和铲掉。 放入合适的封闭的容器中待处理。 6.4 参考其他部分 丢弃处理请参阅第13节。 模块7. 操作处置与储存 7.1 安全操作的注意事项 避免接触皮肤和眼睛。 避免形成粉尘和气溶胶。 在有粉尘生成的地方,提供合适的排风设备。 7.2 安全储存的条件,包括任何不兼容性 贮存在阴凉处。 使容器保持密闭,储存在干燥通风处。 7.3 特定用途 无数据资料 模块8. 接触控制和个体防护 8.1 容许浓度 最高容许浓度 没有已知的国家规定的暴露极限。 8.2 暴露控制 适当的技术控制 避免与皮肤、眼睛和衣服接触。 休息前和操作本品后立即洗手。 个体防护设备 眼/面保护 面罩與安全眼鏡请使用经官方标准如NIOSH (美国) 或 EN 166(欧盟) 检测与批准的设备防护眼部。 皮肤保护 戴手套取 手套在使用前必须受检查。 请使用合适的方法脱除手套(不要接触手套外部表面),避免任何皮肤部位接触此产品. 使用后请将被污染过的手套根据相关法律法规和有效的实验室规章程序谨慎处理. 请清洗并吹干双手 所选择的保护手套必须符合EU的89/686/EEC规定和从它衍生出来的EN 376标准。 完全接触 物料: 丁腈橡胶 最小的层厚度 0.11 mm 溶剂渗透时间: 480 min 测试过的物质Dermatril® (KCL 740 / Z677272, 规格 M) 飞溅保护 物料: 丁腈橡胶 最小的层厚度 0.11 mm 溶剂渗透时间: 480 min 测试过的物质Dermatril® (KCL 740 / Z677272, 规格 M) , 测试方法 EN374 如果以溶剂形式应用或与其它物质混合应用,或在不同于EN 374规定的条件下应用,请与EC批准的手套的供应商联系。 这个推荐只是建议性的,并且务必让熟悉我们客户计划使用的特定情况的工业卫生学专家评估确认才可. 这不应该解释为在提供对任何特定使用情况方法的批准. 身体保护 全套防化学试剂工作服, 防护设备的类型必须根据特定工作场所中的危险物的浓度和数量来选择。 呼吸系统防护 如危险性评测显示需要使用空气净化的防毒面具,请使用全面罩式多功能微粒防毒面具N100型(US )或P3型(EN 143)防毒面具筒作为工程控制的候补。如果防毒面具是保护的唯一方式,则使用全面罩式送风防毒 面具。 呼吸器使用经过测试并通过政府标准如NIOSH(US)或CEN(EU)的呼吸器和零件。 模块9. 理化特性 9.1 基本的理化特性的信息 a) 外观与性状 形状: 固体 b) 气味 无数据资料 c) 气味阈值 无数据资料 d) pH值 无数据资料 e) 熔点/凝固点 无数据资料 f) 沸点、初沸点和沸程 187 - 190 °C 在 0.2 hPa g) 闪点 无数据资料 h) 蒸发速率 无数据资料 i) 易燃性(固体,气体) 无数据资料 j) 高的/低的燃烧性或爆炸性限度 无数据资料 k) 蒸气压 无数据资料 l) 蒸汽密度 无数据资料 m) 密度/相对密度 无数据资料 n) 水溶性 无数据资料 o) n-辛醇/水分配系数 无数据资料 p) 自燃温度 无数据资料 q) 分解温度 无数据资料 r) 粘度 无数据资料 模块10. 稳定性和反应活性 10.1 反应性 无数据资料 10.2 稳定性 无数据资料 10.3 危险反应 无数据资料 10.4 应避免的条件 无数据资料 10.5 不相容的物质 强氧化剂 10.6 危险的分解产物 其它分解产物 - 无数据资料 模块11. 毒理学资料 11.1 毒理学影响的信息 急性毒性 半数致死剂量 (LD50) 经口 - 大鼠 - 56 mg/kg 半数致死浓度(LC50) 吸入 - 哺乳动物的 - 4 h - 60 mg/m3 半数致死剂量 (LD50) 经皮 - 大鼠 - 632 mg/kg 皮肤刺激或腐蚀 无数据资料 眼睛刺激或腐蚀 无数据资料 呼吸道或皮肤过敏 无数据资料 生殖细胞致突变性 无数据资料 致癌性 IARC: 此产品中没有大于或等于 0。1%含量的组分被 IARC鉴别为可能的或肯定的人类致癌物。 生殖毒性 无数据资料 特异性靶器官系统毒性(一次接触) 无数据资料 特异性靶器官系统毒性(反复接触) 无数据资料 吸入危险 无数据资料 潜在的健康影响 吸入吸入可能致死。 可能引起呼吸道刺激。 摄入误吞会中毒。 皮肤如果被皮肤吸收会有毒性 可能引起皮肤刺激。 眼睛可能引起眼睛刺激。 接触后的征兆和症状 据我们所知,此化学,物理和毒性性质尚未经完整的研究。 附加说明 化学物质毒性作用登记: GZ1227780 模块12. 生态学资料 12.1 生态毒性 对鱼类的毒性半数致死浓度(LC50) - 虹鳟 (红鳟鱼) - 0.24 µg/l - 96.0 h 对水蚤和其他水生无脊半数致死浓度(LC50) - 大型蚤 (水蚤) - 0.001 mg/l - 48 h 椎动物的毒性 12.2 持久性和降解性 无数据资料 12.3 潜在的生物累积性 表明生物聚集 12.4 土壤中的迁移性 无数据资料 12.5 PBT 和 vPvB的结果评价 无数据资料 12.6 其它不良影响 对水生生物毒性极大并具有长期持续影响. 对水生生物有剧毒,对水生环境可能造成长期的不良影响。 模块13. 废弃处置 13.1 废物处理方法 产品 将剩余的和不可回收的溶液交给有许可证的公司处理。 与易燃溶剂相溶或者相混合,在备有燃烧后处理和洗刷作用的化学焚化炉中燃烧 受污染的容器和包装 按未用产品处置。 模块14. 运输信息 14.1 联合国危险货物编号 欧洲陆运危规: 2811国际海运危规: 2811国际空运危规: 2811 14.2 联合国运输名称 欧洲陆运危规: TOXIC SOLID, ORGANIC, N.O.S. (λ-Cyhalothrin) 国际海运危规: TOXIC SOLID, ORGANIC, N.O.S. (λ-Cyhalothrin) 国际空运危规: Toxic solid, organic, n.o.s. (λ-Cyhalothrin) 14.3 运输危险类别 欧洲陆运危规: 6.1国际海运危规: 6.1国际空运危规: 6.1 14.4 包裹组 欧洲陆运危规: III国际海运危规: III国际空运危规: III 14.5 环境危险 欧洲陆运危规: 是国际海运危规国际空运危规: 否 海洋污染物(是/否): 是 14.6 对使用者的特别提醒 无数据资料 模块 15 - 法规信息 N/A 模块16 - 其他信息 N/A |
| 符号 |
GHS06, GHS09 |
|---|---|
| 信号词 | Danger |
| 危害声明 | H301 + H311-H330-H410 |
| 警示性声明 | Missing Phrase - N15.00950417-P260-P280-P302 + P352 + P312-P304 + P340 + P310-P403 + P233 |
| 危害码 (欧洲) | T+:Verytoxic;N:Dangerous for the environment; |
| 风险声明 (欧洲) | R21;R25;R26;R50/53 |
| 安全声明 (欧洲) | 1/2-28-36/37/39-38-45-60-61-13 |
| 危险品运输编码 | UN 2810 6.1/PG 3 |
| RTECS号 | GZ1227780 |
| 包装等级 | I; II; III |
| 危险类别 | 6.1 |

搜索








