2,6-二氟苯甲酰胺
【用途一】
用作合成氟代苯甲酰基脲类农药的中间体,可制氟铃脲、定虫隆、除虫脲等多种杀虫、杀螨剂,也用于医药
用作合成氟代苯甲酰基脲类农药的中间体,可制氟铃脲、定虫隆、除虫脲等多种杀虫、杀螨剂,也用于医药
【用途二】
2,6-二氟苯甲酰胺是苯甲酰脲类杀虫剂合成过程中的一个重要中间体,用于合成下一个中间体 2,6-二氟苯甲酰基异氰酸酯,最终得到氟铃脲、除虫脲、氟啶脲、虱螨脲等农药品种,也可将 2,6-二氟苯甲酰胺直接用于合成除虫脲和氟铃脲。
【用途三】
该品用作合成氟代苯甲酰基脲类农药的中间体,由它可制得氟铃脲、定虫隆、除虫脲等多种杀虫、杀螨剂。它也用于医药、液晶材料。产品用纸板桶内衬塑料袋,每桶净重25kg。
2,6-二氟苯甲酰胺是苯甲酰脲类杀虫剂合成过程中的一个重要中间体,用于合成下一个中间体 2,6-二氟苯甲酰基异氰酸酯,最终得到氟铃脲、除虫脲、氟啶脲、虱螨脲等农药品种,也可将 2,6-二氟苯甲酰胺直接用于合成除虫脲和氟铃脲。
【用途三】
该品用作合成氟代苯甲酰基脲类农药的中间体,由它可制得氟铃脲、定虫隆、除虫脲等多种杀虫、杀螨剂。它也用于医药、液晶材料。产品用纸板桶内衬塑料袋,每桶净重25kg。
产品名称
-
中文名2,6-二氟苯甲酰胺
-
英文名2,6-Difluorobenzamide
-
中文别名氟唑啶草 | 2,6-二氟苯甲醯胺 | 2,6-二氟苄胺
-
英文别名
2,6-Difluorbenzamid Benzamide, 2,6-difluoro- 2,6-difluorobenzoic acid amide 2,6-Difluorobenzamide ZVR BF FF 2,5-DIFLUORO-4-HYDROXYBENZALDEHYDE 2.6-difluorobenzamide 2,6-difluoro-benzamid EINECS 241-972-8 2,6-Difluorobenzoylamide 2047480 MFCD00007972 -
常用名2,6-二氟苯甲酰胺
-
C A S号18063-03-1
物理性质
-
密度1.3±0.1 g/cm3
-
沸点187.7±30.0 °C at 760 mmHg
-
熔点145-148 °C(lit.)
-
化学式C7H5F2NO
-
结构式
1、 摩尔折射率:35.17
2、 摩尔体积(cm3/mol):116.5
3、 等张比容(90.2K):295.9
4、 表面张力(dyne/cm):41.5
5、 极化率(10-24cm3):13.94
-
闪点67.3±24.6 °C
-
分子量157.117
-
精确质量157.033920
-
P S A43.09000
-
外观形状白色至灰白色粉末
-
储存条件
常温密闭避光,通风干燥
产品用纸板桶内衬塑料袋包装,每桶净重25kg,或按用户要求包装
-
稳定性
-
水溶解性
-
形态白色粉末状结晶
-
H L B值
-
粘度
-
PH值
作用/用途
【用途一】
用作合成氟代苯甲酰基脲类农药的中间体,可制氟铃脲、定虫隆、除虫脲等多种杀虫、杀螨剂,也用于医药
用作合成氟代苯甲酰基脲类农药的中间体,可制氟铃脲、定虫隆、除虫脲等多种杀虫、杀螨剂,也用于医药
【用途二】
2,6-二氟苯甲酰胺是苯甲酰脲类杀虫剂合成过程中的一个重要中间体,用于合成下一个中间体 2,6-二氟苯甲酰基异氰酸酯,最终得到氟铃脲、除虫脲、氟啶脲、虱螨脲等农药品种,也可将 2,6-二氟苯甲酰胺直接用于合成除虫脲和氟铃脲。
【用途三】
该品用作合成氟代苯甲酰基脲类农药的中间体,由它可制得氟铃脲、定虫隆、除虫脲等多种杀虫、杀螨剂。它也用于医药、液晶材料。产品用纸板桶内衬塑料袋,每桶净重25kg。
2,6-二氟苯甲酰胺是苯甲酰脲类杀虫剂合成过程中的一个重要中间体,用于合成下一个中间体 2,6-二氟苯甲酰基异氰酸酯,最终得到氟铃脲、除虫脲、氟啶脲、虱螨脲等农药品种,也可将 2,6-二氟苯甲酰胺直接用于合成除虫脲和氟铃脲。
【用途三】
该品用作合成氟代苯甲酰基脲类农药的中间体,由它可制得氟铃脲、定虫隆、除虫脲等多种杀虫、杀螨剂。它也用于医药、液晶材料。产品用纸板桶内衬塑料袋,每桶净重25kg。
制备方法
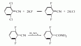
制备方法是用硫酸作催化剂,2,6-二氟苯腈与水发生亲核加成反应,生成 2,6-二氟苯甲酰胺的硫酸盐,用碱中和硫酸,2,6-二氟苯甲酰胺即可游离出来。将 2,6-二氟苯腈与 90%的硫酸加入搪瓷反应釜中,在 65~70℃搅拌反应 5h,再用NaOH 溶液中和至 pH=6,温度降至 20℃以下过滤,用少量水洗去吸附的硫酸钠,干燥后即得到 2,6-二氟苯甲酰胺。
安全提醒
MSDS
|
模块1. 化学品 1.1 产品标识符 : 2,6-二氟苯甲酰胺 产品名称 1.2 鉴别的其他方法 无数据资料
1.3 有关的确定了的物质或混合物的用途和建议不适合的用途
仅用于研发。不作为药品、家庭或其它用途。 模块2. 危险性概述 2.1 GHS-分类 急性毒性, 经口 (类别 5) 急性毒性, 吸入 (类别 4) 皮肤刺激 (类别 2) 眼睛刺激 (类别 2A) 特异性靶器官系统毒性(一次接触) (类别 3) 2.2 GHS 标记要素,包括预防性的陈述 象形图 警示词警告 危险申明 H303吞咽可能有害。 H315造成皮肤刺激。 H319造成严重眼刺激。 H332吸入有害。 H335可能引起呼吸道刺激。 警告申明 预防措施 P261避免吸入粉尘/烟/气体/烟雾/蒸气/喷雾. P264操作后彻底清洁皮肤。 P271只能在室外或通风良好之处使用。 P280穿戴防护手套/ 眼保护罩/ 面部保护罩。 事故响应 P302 + P352如果皮肤接触:用大量肥皂和水清洗。 P304 + P340如吸入: 将患者移到新鲜空气处休息,并保持呼吸舒畅的姿势。 P305 + P351 + P338如与眼睛接触,用水缓慢温和地冲洗几分钟。如戴隐形眼镜并可方便地取 出,取出隐形眼镜,然后继续冲洗. P312如感觉不适,呼救中毒控制中心或医生. P321具体处置(见本标签上提供的急救指导)。 P332 + P313如觉皮肤刺激:求医/就诊。 P337 + P313如仍觉眼睛刺激:求医/就诊。 P362脱掉沾污的衣服,清洗后方可再用。 安全储存 P403 + P233存放于通风良的地方。 保持容器密闭。 P405存放处须加锁。 废弃处置 P501将内容物/ 容器处理到得到批准的废物处理厂。 2.3 其它危害物 - 无 模块3. 成分/组成信息 3.1 物 质 : C7H5F2NO 分子式 : 157.12 g/mol 分子量 组分浓度或浓度范围 2,6-Difluorobenzamide <=100% 化学文摘登记号(CAS18063-03-1 No.)241-972-8 EC-编号 模块4. 急救措施 4.1 必要的急救措施描述 一般的建议 请教医生。 向到现场的医生出示此安全技术说明书。 吸入 如果吸入,请将患者移到新鲜空气处。 如呼吸停止,进行人工呼吸。 请教医生。 皮肤接触 用肥皂和大量的水冲洗。 请教医生。 眼睛接触 用大量水彻底冲洗至少15分钟并请教医生。 食入 切勿给失去知觉者通过口喂任何东西。 用水漱口。 请教医生。 4.2 主要症状和影响,急性和迟发效应 据我们所知,此化学,物理和毒性性质尚未经完整的研究。 4.3 及时的医疗处理和所需的特殊处理的说明和指示 无数据资料 模块5. 消防措施 5.1 灭火介质 灭火方法及灭火剂 用水雾,抗乙醇泡沫,干粉或二氧化碳灭火。 5.2 源于此物质或混合物的特别的危害 碳氧化物, 氮氧化物, 氟化氢 5.3 给消防员的建议 如必要的话,戴自给式呼吸器去救火。 5.4 进一步信息 无数据资料 模块6. 泄露应急处理 6.1 作业人员防护措施、防护装备和应急处置程序 使用个人防护用品。 避免粉尘生成。 避免吸入蒸气、烟雾或气体。 保证充分的通风。 人员疏散到安全区域。 避免吸入粉尘。 6.2 环境保护措施 不要让产品进入下水道。 6.3 泄漏化学品的收容、清除方法及所使用的处置材料 收集和处置时不要产生粉尘。 扫掉和铲掉。 放入合适的封闭的容器中待处理。 6.4 参考其他部分 丢弃处理请参阅第13节。 模块7. 操作处置与储存 7.1 安全操作的注意事项 避免接触皮肤和眼睛。 避免形成粉尘和气溶胶。 在有粉尘生成的地方,提供合适的排风设备。一般性的防火保护措施。 7.2 安全储存的条件,包括任何不兼容性 贮存在阴凉处。 使容器保持密闭,储存在干燥通风处。 7.3 特定用途 无数据资料 模块8. 接触控制和个体防护 8.1 容许浓度 最高容许浓度 没有已知的国家规定的暴露极限。 8.2 暴露控制 适当的技术控制 根据良好的工业卫生和安全规范进行操作。 休息前和工作结束时洗手。 个体防护设备 眼/面保护 带有防护边罩的安全眼镜符合 EN166要求请使用经官方标准如NIOSH (美国) 或 EN 166(欧盟) 检测与批准的设备防护眼部。 皮肤保护 戴手套取 手套在使用前必须受检查。 请使用合适的方法脱除手套(不要接触手套外部表面),避免任何皮肤部位接触此产品. 使用后请将被污染过的手套根据相关法律法规和有效的实验室规章程序谨慎处理. 请清洗并吹干双手 所选择的保护手套必须符合EU的89/686/EEC规定和从它衍生出来的EN 376标准。 完全接触 物料: 丁腈橡胶 最小的层厚度 0.11 mm 溶剂渗透时间: 480 min 测试过的物质Dermatril® (KCL 740 / Z677272, 规格 M) 飞溅保护 物料: 丁腈橡胶 最小的层厚度 0.11 mm 溶剂渗透时间: 480 min 测试过的物质Dermatril® (KCL 740 / Z677272, 规格 M) , 测试方法 EN374 如果以溶剂形式应用或与其它物质混合应用,或在不同于EN 374规定的条件下应用,请与EC批准的手套的供应商联系。 这个推荐只是建议性的,并且务必让熟悉我们客户计划使用的特定情况的工业卫生学专家评估确认才可. 这不应该解释为在提供对任何特定使用情况方法的批准. 身体保护 全套防化学试剂工作服, 防护设备的类型必须根据特定工作场所中的危险物的浓度和数量来选择。 呼吸系统防护 如须暴露于有害环境中,请使用P95型(美国)或P1型(欧盟 英国 143)防微粒呼吸器。如需更高级别防护,请使用OV/AG/P99型(美国)或ABEK-P2型 (欧盟 英国 143) 防毒罐。 呼吸器使用经过测试并通过政府标准如NIOSH(US)或CEN(EU)的呼吸器和零件。 模块9. 理化特性 9.1 基本的理化特性的信息 a) 外观与性状 形状: 结晶 颜色: 白色 b) 气味 无数据资料 c) 气味阈值 无数据资料 d) pH值 无数据资料 e) 熔点/凝固点 熔点/凝固点: 145 - 148 °C - lit. f) 沸点、初沸点和沸程 无数据资料 g) 闪点 无数据资料 h) 蒸发速率 无数据资料 i) 易燃性(固体,气体) 无数据资料 j) 高的/低的燃烧性或爆炸性限度 无数据资料 k) 蒸气压 无数据资料 l) 蒸汽密度 无数据资料 m) 密度/相对密度 无数据资料 n) 水溶性 无数据资料 o) n-辛醇/水分配系数 无数据资料 p) 自燃温度 无数据资料 q) 分解温度 无数据资料 r) 粘度 无数据资料 模块10. 稳定性和反应活性 10.1 反应性 无数据资料 10.2 稳定性 无数据资料 10.3 危险反应 无数据资料 10.4 应避免的条件 无数据资料 10.5 不相容的物质 强氧化剂, 强碱 10.6 危险的分解产物 其它分解产物 - 无数据资料 模块11. 毒理学资料 11.1 毒理学影响的信息 急性毒性 半数致死剂量 (LD50) 经口 - 大鼠 - 3,299 mg/kg 备注: 行为的:嗜睡(全面活力抑制)。 其他改变 皮肤及附属物:其他:头发。 半数致死剂量 (LD50) 经皮 - 大鼠 - > 5,000 mg/kg 皮肤刺激或腐蚀 无数据资料 眼睛刺激或腐蚀 无数据资料 呼吸道或皮肤过敏 无数据资料 生殖细胞致突变性 无数据资料 致癌性 IARC: 此产品中没有大于或等于 0。1%含量的组分被 IARC鉴别为可能的或肯定的人类致癌物。 生殖毒性 无数据资料 特异性靶器官系统毒性(一次接触) 吸入 - 可能引起呼吸道刺激。 特异性靶器官系统毒性(反复接触) 无数据资料 吸入危险 无数据资料 潜在的健康影响 吸入吸入有害。 引起呼吸道刺激。 摄入如服入是有害的。 皮肤通过皮肤吸收可能有害。 造成皮肤刺激。 眼睛造成严重眼刺激。 接触后的征兆和症状 据我们所知,此化学,物理和毒性性质尚未经完整的研究。 附加说明 化学物质毒性作用登记: CV4355050 模块12. 生态学资料 12.1 生态毒性 无数据资料 12.2 持久性和降解性 无数据资料 12.3 潜在的生物累积性 无数据资料 12.4 土壤中的迁移性 无数据资料 12.5 PBT 和 vPvB的结果评价 无数据资料 12.6 其它不良影响 无数据资料 模块13. 废弃处置 13.1 废物处理方法 产品 将剩余的和不可回收的溶液交给有许可证的公司处理。 联系专业的拥有废弃物处理执照的机构来处理此物质。 与易燃溶剂相溶或者相混合,在备有燃烧后处理和洗刷作用的化学焚化炉中燃烧 受污染的容器和包装 按未用产品处置。 模块14. 运输信息 14.1 联合国危险货物编号 欧洲陆运危规: -国际海运危规: -国际空运危规: - 14.2 联合国运输名称 欧洲陆运危规: 非危险货物 国际海运危规: 非危险货物 国际空运危规: 非危险货物 14.3 运输危险类别 欧洲陆运危规: -国际海运危规: -国际空运危规: - 14.4 包裹组 欧洲陆运危规: -国际海运危规: -国际空运危规: - 14.5 环境危险 欧洲陆运危规: 否国际海运危规国际空运危规: 否 海洋污染物(是/否): 否 14.6 对使用者的特别提醒 无数据资料 模块 15 - 法规信息 N/A 模块16 - 其他信息 N/A |
原料简介
应用范围
毒性和生态
安全信息
| 符号 |
GHS07 |
|---|---|
| 信号词 | Warning |
| 危害声明 | H315-H319-H332-H335 |
| 警示性声明 | P261-P305 + P351 + P338 |
| 个人防护装备 | dust mask type N95 (US);Eyeshields;Faceshields;Gloves |
| 危害码 (欧洲) | Xn:Harmful |
| 风险声明 (欧洲) | R20;R36/37/38 |
| 安全声明 (欧洲) | S26-S37/39 |
| 危险品运输编码 | NONH for all modes of transport |
| WGK德国 | 1 |
| RTECS号 | CV4355050 |
| 海关编码 | 2924299090 |
是否危险品
危险性
危险类别码
危险等级
触发危险方式
安全技术说明书
环境影响程度
包装与储运
相关供应商

搜索







