氟丙嘧草酯
非选择性脲嘧啶类除草剂,原卟啉氧化酶抑制剂。主要用于果园,包括葡萄园、棉花地、非耕地防除重要的禾本科杂草、阔叶杂草、莎草等。根据防除对象不同,使用剂量通常为50~200g有效成分/hm2 。在澳大利亚,主要用于小麦田或其他禾谷类作物田除草。
产品名称
-
中文名氟丙嘧草酯
-
英文名butafenacil
-
中文别名REBIN GT(混剂) | 氟丙嘧草酯
-
英文别名
1-(Allyloxy)-2-methyl-1-oxopropan-2-yl-2-chlor-5-[3-methyl-2,6-dioxo-4-(trifluormethyl)-3,6-dihydropyrimidin-1(2H)-yl]benzoat 1-(Allyloxycarbonyl)-1-methylethyl 2-Chloro-5-[1,2,3,6-tetrahydro-3-methyl-2,6-dioxo-4-(trifluoromethyl)pyrimidin-1-yl]benzoate Benzoic acid, 2-chloro-5-[3,6-dihydro-3-methyl-2,6-dioxo-4-(trifluoromethyl)-1(2H)-pyrimidinyl]-, 1,1-dimethyl-2-oxo-2-(2-propen-1-yloxy)ethyl ester 2-(allyloxy)-1,1-dimethyl-2-oxoethyl 2-chloro-5-[3-methyl-2,6-dioxo-4-(trifluoromethyl)-3,6-dihydropyrimidin-1(2H)-yl]benzoate benzoic acid, 2-chloro-5-[3,6-dihydro-3-methyl-2,6-dioxo-4-(trifluoromethyl)-1(2H)-pyrimidinyl]-, 1,1-dimethyl-2-oxo-2-(2-propenyloxy)ethyl ester Fluobutracil 1-(allyloxy)-2-methyl-1-oxopropan-2-yl 2-chloro-5-[3-methyl-2,6-dioxo-4-(trifluoromethyl)-3,6-dihydropyrimidin-1(2H)-yl]benzoate 2-Chloro-5-[3-méthyl-2,6-dioxo-4-(trifluorométhyl)-3,6-dihydro-1(2H)-pyrimidinyl]benzoate de 2-méthyl-1-oxo-1-(2-propèn-1-yloxy)-2-propanyle 1,1-dimethyl-2-oxo-2-(2-propen-1-yloxy)ethyl 2-chloro-5-[3,6-dihydro-3-methyl-2,6-dioxo-4-(trifluoromethyl)-1(2H)-pyrimidinyl]benzoate Butafenacil allyl 2-methyl-1-oxo-1-(prop-2-en-1-yloxy)propan-2-yl 2-chloro-5-[3-methyl-2,6-dioxo-4-(trifluoromethyl)-3,6-dihydropyrimidin-1(2H)-yl]benzoate 1,1-Dimethyl-2-oxo-2-(prop-2-en-1-yloxy)ethyl 2-chloro-5-[3-methyl-2,6-dioxo-4-(trifluoromethyl)-3,6-dihydropyrimidin-1(2H)-yl]benzoate (2-methyl-1-oxo-1-prop-2-enoxypropan-2-yl) 2-chloro-5-[3-methyl-2,6-dioxo-4-(trifluoromethyl)pyrimidin-1-yl]benzoate butafenacil 1-(Allyloxy)-2-methyl-1-oxo-2-propanyl 2-chloro-5-[3-methyl-2,6-dioxo-4-(trifluoromethyl)-3,6-dihydro-1(2H)-pyrimidinyl]benzoate 1,1-Dimethyl-2-oxo-2-(2-propenyloxy)ethyl 2-chloro-5-[3,6-dihydro-3-methyl-2,6-dioxo-4-(trifluoromethyl)-1(2H)-pyrimidinyl]benzoate -
常用名氟丙嘧草酯
-
C A S号134605-64-4
物理性质
-
密度1.4±0.1 g/cm3
-
沸点539.4±60.0 °C at 760 mmHg
-
熔点113ºC
-
化学式C20H18ClF3N2O6
-
结构式
-
闪点280.0±32.9 °C
-
分子量474.815
-
精确质量474.080536
-
P S A96.60000
-
外观形状白色粉末
-
储存条件0-6°C
-
稳定性
-
水溶解性
-
形态
-
H L B值
-
粘度
-
PH值
作用/用途
非选择性脲嘧啶类除草剂,原卟啉氧化酶抑制剂。主要用于果园,包括葡萄园、棉花地、非耕地防除重要的禾本科杂草、阔叶杂草、莎草等。根据防除对象不同,使用剂量通常为50~200g有效成分/hm2 。在澳大利亚,主要用于小麦田或其他禾谷类作物田除草。
制备方法
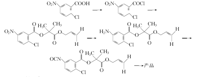
制备方法一
以2-氯-5-硝基苯甲酸为起始原料,经如下反应过程合成氟丙嘧草酯。
制备方法二
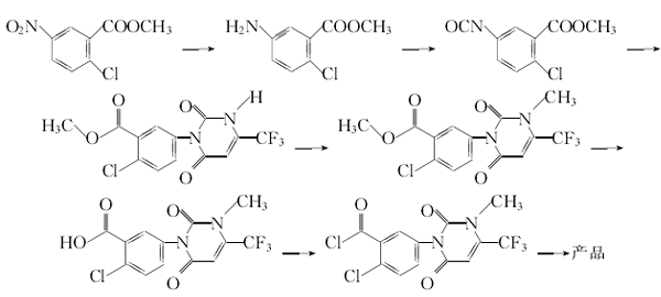
以 2-氯-5-硝基苯甲酸甲酯为起始原料,经如下反应过程合成氟丙嘧草酯。
安全提醒
MSDS
原料简介
应用范围
毒性和生态
安全信息
| 符号 |
GHS09 |
|---|---|
| 信号词 | Warning |
| 危害声明 | H400 |
| 警示性声明 | P273 |
| 个人防护装备 | Eyeshields;Gloves |
| 危害码 (欧洲) | N |
| 风险声明 (欧洲) | R50/53 |
| 安全声明 (欧洲) | 60-61 |
| 危险品运输编码 | UN3077 9/PG 3 |
| 海关编码 | 2933599020 |
是否危险品
危险性
危险类别码
危险等级
触发危险方式
安全技术说明书
环境影响程度
包装与储运
相关供应商

搜索








