菌核净
用作蔬菜杀菌剂
产品名称
-
中文名菌核净
-
英文名dimetachlone
-
中文别名1-(3,5-二氯苯基)-2,5-吡咯烷二酮 | 纹枯利 | N-(3,5-二氯苯基)丁二酰亚胺
-
英文别名
Dimetachlone Dimethachlon a6770 1-(3,5-dichlorophenyl)pyrrolidine-2,5-dione ezomycin N-(Dichlorophenyl)succinimide dimethachlone N-(3,5-dichlorophenyl)succinamide dsi ohric dimethjachlon 1-(3,5-dichlorophenyl)-2,5-pyrrolidinedione N-(3,5-dichlorophenyl)-succinimide -
常用名菌核净
-
C A S号24096-53-5
物理性质
-
密度1.517 g/cm3
-
沸点493.9ºC at 760 mmHg
-
熔点N/A
-
化学式C10H7Cl2NO2
-
结构式
1、 摩尔折射率:65.02
2、 摩尔体积(cm3/mol):187.2
3、 等张比容(90.2K):489.0
4、 表面张力(dyne/cm):46.5
5、 极化率(10-24cm3):25.77
-
闪点N/A
-
分子量244.07400
-
精确质量242.98500
-
P S A37.38000
-
外观形状
-
储存条件
库房通风低温干燥; 与食品原料分开储运
-
稳定性
-
水溶解性
-
形态
-
H L B值
-
粘度
-
PH值
作用/用途
用作蔬菜杀菌剂
制备方法
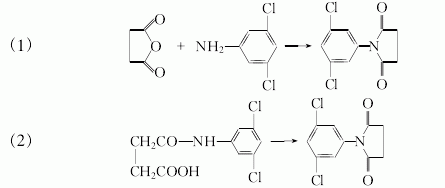
由3,5-二氯苯胺与丁二胺反应制得。将243kg 3,5-二氧苯胺、186kg丁二酸和2.5kg硫酸加入反应釜中,加热至170℃,直至反应生成的水分全部蒸出,反应结束后趁热出料,冷却,得菌核净原粉,收率87.4%。
也可采用下列方法制备:
安全提醒
MSDS
原料简介
应用范围
毒性和生态
安全信息
| 海关编码 | 2925190022 |
|---|
是否危险品
危险性
危险类别码
危险等级
触发危险方式
安全技术说明书
环境影响程度
包装与储运
相关供应商

搜索






