炔丙菊酯
具有强烈的触杀作用,击倒和杀死性能是富右旋丙烯菊酯的四倍,主要用于制作蚊香、电热蚊香和液体蚊香
用于防治蚊子、苍蝇等卫生害虫。
【用途三】
富右旋丙炔菊酯产品性状与丙炔菊酯相同,具有强烈触杀作用,击倒和杀死性能是富右旋反式烯丙菊酯的4倍,并对蟑螂有突出的驱赶作用。主要用于加工蚊香、电热蚊香、液体蚊香和喷雾剂防治家蝇、蚊虫、虱、蟑螂等家庭害虫, 推荐使用量如下:(以有效成份计) 蚊香:含本品0.05% 电热蚊香: 含本品10mg/片,控制电加热器中心温度125-135℃;液体蚊香:含本品0.66%,配加适量稳定剂;缓释剂; 气雾剂:本品0.05 - 0.2%,配加适量致死剂,增效剂,乳化剂。
-
中文名炔丙菊酯
-
英文名Prallethrin
-
中文别名炔烯菊酯(丙炔菊酯 | 炔酮菊酯 | 1RS,3SR)-2,2-二甲基-3-(2-甲基丙-1-烯基)环丙烷羧酸酯 | 丙炔菊酯 | 右旋丙炔菊酯 | 益多克 | (RS)-2-甲基-4-氧代-3-丙-2-炔基环戊-2-烯基(1RS,3RS
-
英文别名
protopamiodide 2-hydroxyiminomethyl-1-methylpyridinium iodide (1Ξ)-2-methyl-4-oxo-3-(prop-2-yn-1-yl)cyclopent-2-en-1-yl (1Ξ,3Ξ)-2,2-dimethyl-3-(2-methylprop-1-en-1-yl)cyclopropane-1-carboxylate 1-methyl-2-hydroxyiminomethylpyridinium iodide pralidoximemethiodide PRALIDOXIMELODIDE 1RS,3SR)-2,2-dimethyl-3-(2-methylprop-1-enyl)cyclopropanecarboxylate PRALIDOXIME IODIDE MFCD01632766 (RS)-2-methyl-4-oxo-3-prop-2-ynylcyclopent-2-enyl (1RS,3RS pyridin-2-aldoxin p-2-am (RS)-2-methyl-4-oxo-3-prop-2-ynylcyclopent-2-enyl (1RS)-cis-trans-2,2-dimethyl-3-(2-methylprop-1-enyl)cyclopropanecarboxylate 2-PAM 2-pamiodide Prallethrin (RS)-2-Methyl-4-oxo-3-prop-2-ynylcyclopent-2-enyl,1RS,3RS 2-methyl-4-oxo-3-(2-propyn-1-yl)-2-cyclopenten-1-yl 2,2-dimethyl-3-(2-methyl-1-propen-1-yl)cyclopropanecarboxylate EINECS 245-387-9 -
常用名炔丙菊酯
-
C A S号23031-36-9
-
密度1.08 g/cm3
-
沸点389.8ºC at 760 mmHg
-
熔点N/A
-
化学式C19H24O3
-
结构式
1、 摩尔折射率:84.78
2、 摩尔体积(cm3/mol):277.1
3、 等张比容(90.2K):696.4
4、 表面张力(dyne/cm):39.8
5、 极化率(10-24cm3):33.61
-
闪点167.9ºC
-
分子量300.39200
-
精确质量300.17300
-
P S A43.37000
-
外观形状固体
-
储存条件2-8°C
-
稳定性
-
水溶解性
-
形态
-
H L B值
-
粘度
-
PH值
具有强烈的触杀作用,击倒和杀死性能是富右旋丙烯菊酯的四倍,主要用于制作蚊香、电热蚊香和液体蚊香
用于防治蚊子、苍蝇等卫生害虫。
【用途三】
富右旋丙炔菊酯产品性状与丙炔菊酯相同,具有强烈触杀作用,击倒和杀死性能是富右旋反式烯丙菊酯的4倍,并对蟑螂有突出的驱赶作用。主要用于加工蚊香、电热蚊香、液体蚊香和喷雾剂防治家蝇、蚊虫、虱、蟑螂等家庭害虫, 推荐使用量如下:(以有效成份计) 蚊香:含本品0.05% 电热蚊香: 含本品10mg/片,控制电加热器中心温度125-135℃;液体蚊香:含本品0.66%,配加适量稳定剂;缓释剂; 气雾剂:本品0.05 - 0.2%,配加适量致死剂,增效剂,乳化剂。
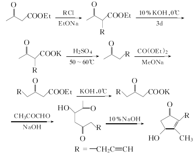
1.炔酮菊醇的制备 在乙醇钠和无水乙醇存在下,乙酰乙酸乙酯与炔丙基苯磺酸酯搅拌反应8h,再回流1h,制得2-炔丙基-3-氧代丁酸乙酯,产率85.3%。将上步产物滴加到10%Na2CO3溶液中,同时蒸出产物与水的共沸物,生成5-氧代-1-己炔,收率63.8%。将Mg\CH3OH和碘加热回流,蒸出甲醇,加入二甲基甲酰胺(DMF),通CO2至饱和,加热蒸除余下的甲醇至馏出温度140℃,蒸馏时仍通CO2,最后再通1h CO2制得MMC(甲基镁碳酸酯)-DMF溶液。在MMC-DMF溶液中加入5-氧代-1-己炔,搅拌升温至110℃以上反应2h,蒸出DMF,加盐酸和水,至固体溶解,乙醚萃取,加KOH溶液,得25%3-氧代-6-庚炔酸钾溶液。
调节上述溶液至pH值8,升温至35℃,滴加丙酮醛,维持pH值8反应16h,冷却,用食盐饱和反应液,乙醚萃取,得3-羟基-8-壬炔-2,5-二酮,收率41.6%~46.8%。
将3-羟基-8-壬炔-2,5-二酮的乙醚溶液滴加10%NaOH,2.5h滴完,保温-8~10℃,然后在-8~-5℃继续反应3h,用浓盐酸调至中性,用食盐饱和,乙醚萃取,得黄色液体炔酮菊醇,产率59.9%。
上述路线是Schechter路线的改进,文献报道Schechter合成路线如下:
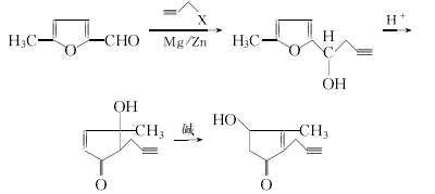
炔酮菊醇也可通过呋喃衍生物来制备。鉴于炔丙基卤化物与镁反应可制得格氏试剂,通常需加汞盐,为避免环境污染,可用锌盐代替汞盐。进行连续格利雅反应中,炔丙基氯化物与炔丙基溴化物合用,可使反应十分稳定。然后进行糠醛转位反应和异构化反应。转位反应在酸性条件下进行,异构化反应在碱性条件下进行。
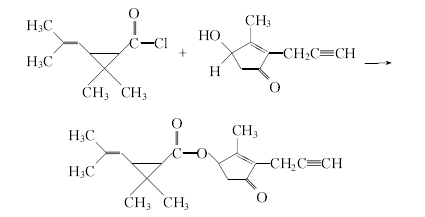
炔酮菊酯的合成 4-羟基-3-甲基-2-炔丙基环戊烯酮与菊酰氯反应,合成炔酮菊酯(菊酰氯的合成与一般拟除虫菊酰氯相同)。
|
模块1. 化学品 1.1 产品标识符 : 炔丙菊酯 产品名称 1.2 鉴别的其他方法 (RS)-2-Methyl-4-oxo-3-prop-2-ynylcyclopent-2-enyl (1RS,3RS;1RS,3SR)-2,2-dimethyl-3-(2-methylprop-1- enyl)cyclopropanecarboxylate
1.3 有关的确定了的物质或混合物的用途和建议不适合的用途 仅用于研发。不作为药品、家庭或其它用途。 模块2. 危险性概述 2.1 GHS-分类 急性毒性, 经口 (类别 4) 急性毒性, 吸入 (类别 1) 急性水生毒性 (类别 1) 慢性水生毒性 (类别 1) 2.2 GHS 标记要素,包括预防性的陈述 象形图 警示词危险 危险申明 H302吞咽有害。 H330吸入致命。 H410对水生生物毒性极大并具有长期持续影响. 警告申明 预防措施 P260不要吸入粉尘/ 烟/ 气体/ 烟雾/ 蒸汽/ 喷雾。 P264操作后彻底清洁皮肤。 P270使用本产品时不要进食、饮水或吸烟。 P271只能在室外或通风良好之处使用。 P273避免释放到环境中。 P284戴呼吸防护装置。 事故响应 P301 + P312如果吞咽并觉不适: 立即呼叫解毒中心或就医。 P304 + P340如吸入: 将患者移到新鲜空气处休息,并保持呼吸舒畅的姿势。 P310立即呼叫中毒控制中心或医生. P320具体紧急处置(见本标签上提供的急救指导)。 P330漱口。 P391收集溢出物。 安全储存 P403 + P233存放于通风良的地方。 保持容器密闭。 P405存放处须加锁。 废弃处置 P501将内容物/ 容器处理到得到批准的废物处理厂。 2.3 其它危害物 - 无 模块3. 成分/组成信息 3.1 物 质 : (RS)-2-Methyl-4-oxo-3-prop-2-ynylcyclopent-2-enyl (1RS,3RS;1RS,3SR)- 别名 2,2-dimethyl-3-(2-methylprop-1-enyl)cyclopropanecarboxylate : C19H24O3 分子式 : 300.39 g/mol 分子量 组分浓度或浓度范围 prallethrin - 化学文摘登记号(CAS23031-36-9 No.)245-387-9 EC-编号607-431-00-9 索引编号 模块4. 急救措施 4.1 必要的急救措施描述 一般的建议 请教医生。 向到现场的医生出示此安全技术说明书。 吸入 如果吸入,请将患者移到新鲜空气处。 如呼吸停止,进行人工呼吸。 请教医生。 皮肤接触 用肥皂和大量的水冲洗。 立即将患者送往医院。 请教医生。 眼睛接触 用水冲洗眼睛作为预防措施。 食入 切勿给失去知觉者通过口喂任何东西。 用水漱口。 请教医生。 4.2 主要症状和影响,急性和迟发效应 皮肤刺激, 眼睛刺激, 感觉异常, 中毒症状, 头痛, 恶心, 呕吐, 腹泻、潮红、颤抖、头晕。, 流涎症, 摄入会引发下列症状:, 肺水肿, 肌肉抽搐 4.3 及时的医疗处理和所需的特殊处理的说明和指示 无数据资料 模块5. 消防措施 5.1 灭火介质 灭火方法及灭火剂 用水雾,抗乙醇泡沫,干粉或二氧化碳灭火。 5.2 源于此物质或混合物的特别的危害 碳氧化物 碳氧化物 5.3 给消防员的建议 如必要的话,戴自给式呼吸器去救火。 5.4 进一步信息 无数据资料 模块6. 泄露应急处理 6.1 作业人员防护措施、防护装备和应急处置程序 戴呼吸罩。 避免吸入蒸气、烟雾或气体。 保证充分的通风。 人员疏散到安全区域。 6.2 环境保护措施 如能确保安全,可采取措施防止进一步的泄漏或溢出。 不要让产品进入下水道。 一定要避免排放到周围环境中。 6.3 泄漏化学品的收容、清除方法及所使用的处置材料 用惰性吸附材料吸收并当作危险废物处理。 放入合适的封闭的容器中待处理。 6.4 参考其他部分 丢弃处理请参阅第13节。 模块7. 操作处置与储存 7.1 安全操作的注意事项 避免接触皮肤和眼睛。 避免吸入蒸气和烟雾。 7.2 安全储存的条件,包括任何不兼容性 贮存在阴凉处。 使容器保持密闭,储存在干燥通风处。 打开了的容器必须仔细重新封口并保持竖放位置以防止泄漏。 建议的贮存温度: 2 - 8 °C 7.3 特定用途 无数据资料 模块8. 接触控制和个体防护 8.1 容许浓度 最高容许浓度 没有已知的国家规定的暴露极限。 8.2 暴露控制 适当的技术控制 避免与皮肤、眼睛和衣服接触。 休息前和操作本品后立即洗手。 个体防护设备 眼/面保护 面罩與安全眼鏡请使用经官方标准如NIOSH (美国) 或 EN 166(欧盟) 检测与批准的设备防护眼部。 皮肤保护 戴手套取 手套在使用前必须受检查。 请使用合适的方法脱除手套(不要接触手套外部表面),避免任何皮肤部位接触此产品. 使用后请将被污染过的手套根据相关法律法规和有效的实验室规章程序谨慎处理. 请清洗并吹干双手 所选择的保护手套必须符合EU的89/686/EEC规定和从它衍生出来的EN 376标准。 身体保护 全套防化学试剂工作服, 防护设备的类型必须根据特定工作场所中的危险物的浓度和数量来选择。 呼吸系统防护 如危险性评测显示需要使用空气净化的防毒面具,请使用全面罩式多功能防毒面具(US)或ABEK型 (EN 14387)防毒面具筒作为工程控制的候补。如果防毒面具是保护的唯一方式,则使用全面罩式送风防 毒面具。 呼吸器使用经过测试并通过政府标准如NIOSH(US)或CEN(EU)的呼吸器和零件。 模块9. 理化特性 9.1 基本的理化特性的信息 a) 外观与性状 形状: 液体 颜色: 黄色, 棕色 b) 气味 无数据资料 c) 气味阈值 无数据资料 d) pH值 无数据资料 e) 熔点/凝固点 无数据资料 f) 沸点、初沸点和沸程 313.5 °C 在 1,013 hPa g) 闪点 139 °C - 闭杯 h) 蒸发速率 无数据资料 i) 易燃性(固体,气体) 无数据资料 j) 高的/低的燃烧性或爆炸性限度 无数据资料 k) 蒸气压 无数据资料 l) 蒸汽密度 无数据资料 m) 密度/相对密度 1.03 g/cm3 在 20 °C n) 水溶性 0.008 g/l o) n-辛醇/水分配系数 辛醇--水的分配系数的对数值: 4.49 在 25 °C p) 自燃温度 无数据资料 q) 分解温度 无数据资料 r) 粘度 无数据资料 模块10. 稳定性和反应活性 10.1 反应性 无数据资料 10.2 稳定性 无数据资料 10.3 危险反应 无数据资料 10.4 应避免的条件 无数据资料 10.5 不相容的物质 碱金属 10.6 危险的分解产物 其它分解产物 - 无数据资料 模块11. 毒理学资料 11.1 毒理学影响的信息 急性毒性 半数致死剂量 (LD50) 经口 - 大鼠 - 雄性 - 640 mg/kg 半数致死剂量 (LD50) 经口 - 大鼠 - 雌性 - 460 mg/kg 半数致死浓度(LC50) 吸入 - 大鼠 - 4 h - 0.29 - 0.33 mg/l 半数致死剂量 (LD50) 经皮 - 大鼠 - > 5,000 mg/kg 皮肤刺激或腐蚀 工作溶液不会刺激皮肤。 眼睛刺激或腐蚀 无眼睛刺激 无数据资料 呼吸道或皮肤过敏 豚鼠 - 未引起试验动物过敏。 生殖细胞致突变性 无数据资料 致癌性 根据现有资料不可能进行致癌性分类。 IARC: 此产品中没有大于或等于 0。1%含量的组分被 IARC鉴别为可能的或肯定的人类致癌物。 生殖毒性 无数据资料 特异性靶器官系统毒性(一次接触) 无数据资料 特异性靶器官系统毒性(反复接触) 无数据资料 吸入危险 无数据资料 潜在的健康影响 吸入吸入可能致死。 可能引起呼吸道刺激。 摄入误吞对人体有害。 皮肤通过皮肤吸收可能有害。 可能引起皮肤刺激。 眼睛可能引起眼睛刺激。 接触后的征兆和症状 皮肤刺激, 眼睛刺激, 感觉异常, 中毒症状, 头痛, 恶心, 呕吐, 腹泻、潮红、颤抖、头晕。, 流涎症, 摄入会引发下列症状:, 肺水肿, 肌肉抽搐 附加说明 化学物质毒性作用登记: 无数据资料 模块12. 生态学资料 12.1 生态毒性 对鱼类的毒性半数致死浓度(LC50) - 虹鳟 (红鳟鱼) - 0.012 mg/l - 96.0 h 半数致死浓度(LC50) - 蓝鳃太阳鱼 - 0.022 mg/l - 96.0 h 对水蚤和其他水生无脊半数效应浓度(EC50) - 水蚤 - 0.0062 mg/l - 48 h 椎动物的毒性 12.2 持久性和降解性 无数据资料 12.3 潜在的生物累积性 无数据资料 12.4 土壤中的迁移性 无数据资料 12.5 PBT 和 vPvB的结果评价 无数据资料 12.6 其它不良影响 对水生生物毒性极大。 模块13. 废弃处置 13.1 废物处理方法 产品 将剩余的和不可回收的溶液交给有许可证的公司处理。 受污染的容器和包装 按未用产品处置。 模块14. 运输信息 14.1 联合国危险货物编号 欧洲陆运危规: 2811国际海运危规: 2811国际空运危规: 2811 14.2 联合国运输名称 欧洲陆运危规: TOXIC SOLID, ORGANIC, N.O.S. (prallethrin) 国际海运危规: TOXIC SOLID, ORGANIC, N.O.S. (prallethrin) 国际空运危规: Toxic solid, organic, n.o.s. (prallethrin) 14.3 运输危险类别 欧洲陆运危规: 6.1国际海运危规: 6.1国际空运危规: 6.1 14.4 包裹组 欧洲陆运危规: I国际海运危规: I国际空运危规: I 14.5 环境危险 欧洲陆运危规: 是国际海运危规国际空运危规: 否 海洋污染物(是/否): 是 14.6 对使用者的特别提醒 无数据资料 模块 15 - 法规信息 N/A 模块16 - 其他信息 N/A |
| 符号 |
GHS06, GHS09 |
|---|---|
| 信号词 | Danger |
| 危害声明 | H302-H331-H410 |
| 警示性声明 | P261-P273-P311-P501 |
| 个人防护装备 | Eyeshields;Faceshields;full-face respirator (US);Gloves;multi-purpose combination respirator cartridge (US);type ABEK (EN14387) respirator filter |
| 危害码 (欧洲) | T,N |
| 风险声明 (欧洲) | R22 |
| 安全声明 (欧洲) | S45-S60-S61 |
| 危险品运输编码 | UN2811 6.1/PG 2 |
| 海关编码 | 2916209027 |

搜索









