乙氰菊酯
拟除虫菊酯类杀虫剂,具有触杀活性,无胃毒作用,能抑制产卵。用于防治斜纹夜蛾、二化螟、稻象甲、黑尾叶蝉、小菜蛾、桃蚜、稻根象等多种害虫。如防治甘蓝、白菜上的菜青虫、小菜蛾、蚜虫等,使用100~250mg/L喷雾;如用于水稻,施药量1.5~2g/100m2。
产品名称
-
中文名乙氰菊酯
-
英文名CYCLOPROTHRIN
-
中文别名α-氰基-3'-苯氧基苄基(RS)-2,2-氯-1-(4-乙氧苯基)-2,2-二氯环丙烷羧酸酯 | 赛乐收 | 杀螟菊酯 | (RS)-Α-氰基-3-苯氧苄基-(RS)-2,2-二氯-1(4-乙氧基苯基)环丙烷羧酸 | 稻虫菊酯 | 乙腈菊酯
-
英文别名
(RS)-α-cyano-3-phenoxybenzyl (RS)-2,2-dichloro-1-(4-ethoxyphenyl)cyclopropanecarboxylate Cyclosal Phencyclate GH 414 Cyclosal (insecticide) [cyano-(3-phenoxyphenyl)methyl] 2,2-dichloro-1-(4-ethoxyphenyl)cyclopropane-1-carboxylate Cycloprothrin [ISO] (Ξ)-cyano(3-phenoxyphenyl)methyl (1Ξ)-2,2-dichloro-1-(4-ethoxyphenyl)cyclopropane-1-carboxylate cyano-(3-phenoxyphenyl)methyl 2,2-dichloro-1-(4-ethoxyphenyl)cyclopropane carboxylate Cycloprothrin cyano(3-phenoxyphenyl)methyl 2,2-dichloro-1-(4-ethoxyphenyl)cyclopropanecarboxylate NK 8116 2,2-Dichloro-1-(4-ethoxyphenyl)cyclopropanecarboxylic acid cyano(3-phenoxyphenyl)methyl ester -
常用名乙氰菊酯
-
C A S号63935-38-6
物理性质
-
密度1.36g/cm3
-
沸点608.7ºC at 760 mmHg
-
熔点<25℃
-
化学式C26H21Cl2NO4
-
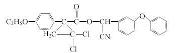
结构式
1、 摩尔折射率:126.11
2、 摩尔体积(cm3/mol):353.0
3、 等张比容(90.2K):982.7
4、 表面张力(dyne/cm):60.0
5、 极化率(10-24cm3):49.99
-
闪点321.9ºC
-
分子量482.35500
-
精确质量481.08500
-
P S A68.55000
-
外观形状
-
储存条件0-6°C
-
稳定性
-
水溶解性
-
形态透明粘性液体。
-
H L B值
-
粘度
-
PH值
作用/用途
拟除虫菊酯类杀虫剂,具有触杀活性,无胃毒作用,能抑制产卵。用于防治斜纹夜蛾、二化螟、稻象甲、黑尾叶蝉、小菜蛾、桃蚜、稻根象等多种害虫。如防治甘蓝、白菜上的菜青虫、小菜蛾、蚜虫等,使用100~250mg/L喷雾;如用于水稻,施药量1.5~2g/100m2。
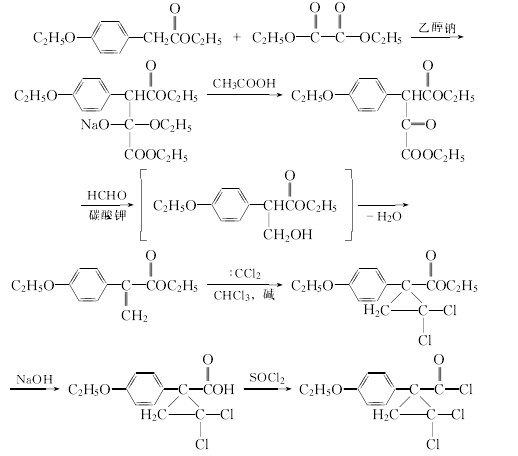
制备方法
1 1-(4-乙氧基苯基)-2,2-二氯环丙烷羧酰氯的制备
2 3-苯氧基-α-氰基苯甲醇的制备
3乙氰菊酯的合成
安全提醒
MSDS
原料简介
应用范围
毒性和生态
安全信息
| 危害码 (欧洲) | Xi |
|---|---|
| 风险声明 (欧洲) | R36/37/38 |
| 安全声明 (欧洲) | S26 |
| 危险品运输编码 | UN 3077 9 / PGIII |
| 海关编码 | 29269090 |
是否危险品
危险性
危险类别码
危险等级
触发危险方式
安全技术说明书
环境影响程度
包装与储运
相关供应商

搜索










