6-苄氨基嘌呤
6-Benzylaminopurine是第一代合成的细胞分裂素,通过刺激细胞分裂引起植物生长和发育,抑制呼吸激酶,从而延长绿色蔬菜的保鲜。
产品名称
-
中文名苄腺嘌呤
-
英文名Benzyladenine
-
中文别名2-苄氨基嘌呤 | N6-苄基腺嘌呤 | 6-苄基腺嘌呤 | 6-苄氨基嘌呤(6-BA) | 6-(N-苄基)氨基嘌呤 | N-苄基腺苷 | 6-(苄胺基)嘌呤 | 苄基腺嘌呤 | 苄氨基嘌呤 | 6-苄氨基嘌呤 | 6-苄氨基嘌呤 (6-BA)
-
英文别名
616790 cylex 6-benzylaminopurine N-Benzyl-3H-purin-6-amine N-Benzyladenine N-(phenylmethyl)-1H-purin-6-amine benzylaminopurine benzyladenine Promalin 6-BA 9H-Purin-6-amine, N-(phenylmethyl)- UNII-KXG6A989PS EINECS 205-480-7 N(6)-Benzyladenine MFCD00005572 N-(phenylmethyl)-1H-purine-6-amine N6-benzyl-9H-purin-6-amine 6-benzyladenine N-benzyl-7H-purin-6-amine N6-Benzyladenine 6-(Benzylamino)purine -
常用名6-苄氨基嘌呤
-
C A S号1214-39-7
物理性质
-
密度1.4±0.1 g/cm3
-
沸点387.5±52.0 °C at 760 mmHg
-
熔点230-233 °C
-
化学式C12H11N5
-
结构式
1、 摩尔折射率:66.89
2、 摩尔体积(cm3/mol):161.7
3、 等张比容(90.2K):484.1
4、 表面张力(dyne/cm):80.3
5、 介电常数:无可用
6、 偶极距(10-24cm3):无可用
7、 极化率:26.52
-
闪点188.1±30.7 °C
-
分子量225.249
-
精确质量225.101440
-
P S A66.49000
-
外观形状白色至淡黄色晶体粉末
-
储存条件
密封、在2 ºC-8 ºC下保存
-
稳定性
-
水溶解性
-
形态白色针状结晶。
-
H L B值
-
粘度
-
PH值
作用/用途
6-Benzylaminopurine是第一代合成的细胞分裂素,通过刺激细胞分裂引起植物生长和发育,抑制呼吸激酶,从而延长绿色蔬菜的保鲜。
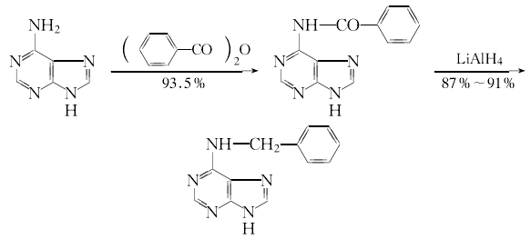
制备方法
制备方法一
以工业中生产病毒唑副产物(Ⅰ)为原料合成。生产过程通过水解、缩合、苄胺化三步化学反应。
水解(次黄嘌呤的制备)。将1400mL3%盐酸和105g(Ⅰ)回流反应8h,加500mL10%氢氧化钠溶液,使pH值5~6。冷却、抽滤得灰黄色固体,用水重结晶,活性炭处理得白色粉末状固体(Ⅱ),干重83g。
缩合(吡啶盐中间体的制备)。将6g(Ⅱ)溶于125mL吡啶溶液,滴加8犿犔三氯氧磷,反应置冰浴中冷却。滴毕继续于室温反应0.5h,即抽滤,干燥后得(Ⅲ)7.85g。
苄胺化(6-BA的合成)。将中间体盐(Ⅲ)置于反应瓶中,滴加30mL苄胺,滴毕水浴升温至60~70℃,反应3h,蒸除苄胺得粗品(Ⅳ)2.1g。重结晶时用1mol/L氢氧化钠溶解粗产物,活性炭煮沸脱色,热过滤,冷后调节pH值4~5,有白色固体析出。上述各步反应过程如下。
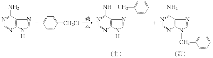
制备方法二
通过次黄嘌呤氯代,然后苄胺解制得苄基腺嘌呤。
制备方法三
制备方法四
由腺嘌呤与氯苄直接反应制得,但产品中9-位取代物难以分离和纯化。
安全提醒
MSDS
|
N6-苄基腺嘌呤
修改号码:5 模块1. 化学品 N6-Benzyladenine 产品名称: 修改号码: 5 模块2. 危险性概述 GHS分类 物理性危害未分类 健康危害 急性毒性(经口) 第4级 皮肤腐蚀/刺激 第3级 严重损伤/刺激眼睛 2B类 生殖毒性 第2级 特异性靶器官毒性呼吸道刺激 - 单一接触 [第3级] 环境危害 急性水生毒性 第3级 慢性水生毒性 第3级 GHS标签元素 图标或危害标志 信号词警告 危险描述吞咽有害。 造成轻微皮肤刺激 造成眼刺激 怀疑会损害生育能力或胎儿 可能造成呼吸刺激 对水生生物有害 长期影响对水生生物有害 防范说明 N6-苄基腺嘌呤 修改号码:5 模块2. 危险性概述 [预防]使用前获取特定手册。 处理前必须阅读并理解所有安全措施。 避免吸入。 只能在室外或通风良好的环境下使用。 避免释放到环境中。 使用本产品时切勿吃东西,喝水或吸烟。 处理后要彻底清洗双手。 使用个人所需的防护用具。 [急救措施]吸入:将受害者移到新鲜空气处,在呼吸舒适的地方保持休息。 食入:若感不适,呼叫解毒中心/医生。漱口。 眼睛接触:用水小心清洗几分钟。如果方便,易操作,摘除隐形眼镜。继续冲洗。 眼睛接触:求医/就诊 若皮肤刺激:求医/就诊。 如接触到或相关接触:求医/就诊。 [储存]存放于通风良好处。保持容器密闭。 存放处须加锁。 [废弃处置] 根据当地政府规定把物品/容器交与工业废弃处理机构。 模块3. 成分/组成信息 单一物质/混和物单一物质 化学名(中文名): N6-苄基腺嘌呤 百分比: >99.0%(LC)(T) CAS编码: 1214-39-7 俗名: 6-Benzylaminopurine 分子式: C12H11N5 模块4. 急救措施 吸入: 将受害者移到新鲜空气处,保持呼吸通畅,休息。求医/就诊。 皮肤接触: 立即去除/脱掉所有被污染的衣物。用大量肥皂和水轻轻洗。 求医/就诊。 眼睛接触:用水小心清洗几分钟。如果方便,易操作,摘除隐形眼镜。 求医/就诊。 食入: 求医/就诊。漱口。 紧急救助者的防护:救援者需要穿戴个人防护用品,比如橡胶手套和气密性护目镜。 模块5. 消防措施 合适的灭火剂:干粉,泡沫,雾状水,二氧化碳 特殊危险性:小心,燃烧或高温下可能分解产生毒烟。 特定方法:从上风处灭火,根据周围环境选择合适的灭火方法。 非相关人员应该撤离至安全地方。 周围一旦着火:如果安全,移去可移动容器。 消防员的特殊防护用具:灭火时,一定要穿戴个人防护用品。 模块6. 泄漏应急处理 个人防护措施,防护用具, 使用特殊的个人防护用品(针对有毒颗粒的P3过滤式空气呼吸器)。远离溢出物/泄露 紧急措施:处并处在上风处。 泄露区应该用安全带等圈起来,控制非相关人员进入。 环保措施:防止进入下水道。 N6-苄基腺嘌呤 修改号码:5 模块6. 泄漏应急处理 控制和清洗的方法和材料:清扫收集粉尘,封入密闭容器。注意切勿分散。附着物或收集物应该立即根据合适的 法律法规处置。 模块7. 操作处置与储存 处理 技术措施:在通风良好处进行处理。穿戴合适的防护用具。防止粉尘扩散。处理后彻底清洗双手 和脸。 注意事项:如果可能,使用封闭系统。如果粉尘或浮质产生,使用局部排气。 操作处置注意事项:避免所有部位的接触! 贮存 储存条件:保持容器密闭。存放于凉爽、阴暗、通风良好处。 存放处须加锁。 远离不相容的材料比如氧化剂存放。 包装材料:依据法律。 模块8. 接触控制和个体防护 工程控制:尽可能安装封闭体系或局部排风系统。同时安装淋浴器和洗眼器。 个人防护用品 呼吸系统防护: 防尘面具,自携式呼吸器(SCBA),供气呼吸器等。使用通过政府标准的呼吸器。依 据当地和政府法规。 手部防护:防渗手套。 眼睛防护:护目镜。如果情况需要,佩戴面具。 皮肤和身体防护:防渗防护服。如果情况需要,穿戴防护靴。 模块9. 理化特性 固体 外形(20°C): 外观: 晶体-粉末 颜色:白色类白色 气味:无味 pH:无数据资料 熔点: 234°C 沸点/沸程无资料 闪点:无资料 爆炸特性 爆炸下限:无资料 爆炸上限:无资料 密度:无资料 溶解度: [水]无资料 [其他溶剂]无资料 log水分配系数 = 1.57 模块10. 稳定性和反应性 化学稳定性:一般情况下稳定。 危险反应的可能性:未报道特殊反应性。 须避免接触的物质氧化剂 危险的分解产物: 一氧化碳, 二氧化碳, 氮氧化物 (NOx) N6-苄基腺嘌呤 修改号码:5 模块11. 毒理学信息 急性毒性: orl-rat LD50:1.3 g/kg skn-rbt LD50:>5000 mg/kg ihl-rat LC50:5.2 g/m3/4H 对皮肤腐蚀或刺激:无资料 对眼睛严重损害或刺激:无资料 生殖细胞变异原性: oms-hmn-leu 100 nmol/L mmo-sat0.062mg/plate/2D(+/-S9) 致癌性: IARC =无资料 NTP =无资料 生殖毒性:无资料 RTECS 号码: AU6252200 模块12. 生态学信息 生态毒性: 鱼类: 96h LC50:21.4 mg/L (Oncorhynchus mykiss) 甲壳类: 48h EC50:20.5 mg/L (Daphnia magna) 藻类: 48h LC50:56 mg/L (Chlamydomonas globosa) 残留性 / 降解性:无资料 潜在生物累积 (BCF):无资料 土壤中移动性 log水分配系数: 1.57 土壤吸收系数 (Koc):无资料 亨利定律 9.03 x 10-4 constant(PaM3/mol): 模块13. 废弃处置 如果可能,回收处理。请咨询当地管理部门。建议在可燃溶剂中溶解混合,在装有后燃和洗涤装置的化学焚烧炉中 焚烧。废弃处置时请遵守国家、地区和当地的所有法规。 模块14. 运输信息 联合国分类:与联合国分类标准不一致 UN编号:未列明 模块15. 法规信息 《危险化学品安全管理条例》(2002年1月26日国务院发布,2011年2月16日修订): 针对危险化学品的安全使用、 生产、储存、运输、装卸等方面均作了相应的规定。 N6-苄基腺嘌呤 修改号码:5 模块16 - 其他信息 N/A |
原料简介
应用范围
毒性和生态
安全信息
| 个人防护装备 | dust mask type N95 (US);Eyeshields;Gloves |
|---|---|
| 危害码 (欧洲) | Xi: Irritant;Xn: Harmful; |
| 风险声明 (欧洲) | R36/37/38 |
| 安全声明 (欧洲) | S9-S24/25-S37/39-S26-S36-S23 |
| 危险品运输编码 | UN 2348 3/PG 3 |
| WGK德国 | 3 |
| RTECS号 | UD3150000 |
| 包装等级 | I; II; III |
| 海关编码 | 2933990090 |
是否危险品
危险性
危险类别码
危险等级
触发危险方式
安全技术说明书
环境影响程度
包装与储运
相关供应商

搜索










