氰戊菊酯
-
中文名氰戊菊酯
-
英文名fenvalerate
-
中文别名敌虫菊酯 | α-氰基-3-苯氧基苄基-α-(4-氯苯基)-3-甲基丁酸酯 | α-氰基-3-苯氧苄基(R,S)-2-(4-氯苯基)-3-甲基丁酸酯 | 中西杀灭菊酯 | 速灭杀丁 | 杀灭菊酯 | 百虫灵 | 速灭菊酯
-
英文别名
Phenvalerate fenvalerate a-Cyano-3-phenoxybenzyl-2-(4-chlorophenyl)-3-methylbutyrate Pydrin Benzeneacetic acid, 4-chloro-α-(1-methylethyl)-, cyano(3-phenoxyphenyl)methyl ester (αRS)-α-cyano-3-phenoxybenzyl (2RS)-2-(4-chlorophenyl)-3-methylbutyrate Cyano(3-phenoxyphenyl)methyl 2-(4-chlorophenyl)-3-methylbutanoate Belmark Tirade (Ξ)-cyano(3-phenoxyphenyl)methyl (2Ξ)-2-(4-chlorophenyl)-3-methylbutanoate MFCD00055324 a-Cyano-3-phenoxybenzyl a-(4-Chlorophenyl)isovalerate Sumicidin EINECS 257-326-3 Cyano(3-phenoxyphenyl)methyl 4-Chloro-a-(1-methylethyl)benzeneacetate 4-Chloro-a-(1-methylethyl)benzeneacetic Acid Cyano(3-phenoxyphenyl)methyl Ester -
常用名氰戊菊酯
-
C A S号51630-58-1
-
密度1.2±0.1 g/cm3
-
沸点538.9±50.0 °C at 760 mmHg
-
熔点N/A
-
化学式C25H22ClNO3
-
结构式
-
闪点279.7±30.1 °C
-
分子量419.900
-
精确质量419.128815
-
P S A59.32000
-
外观形状一种透明恶性黄色液体
-
储存条件
密封、在 -20 ºC下保存
-
稳定性
-
水溶解性
-
形态黄色油状液体。
-
H L B值
-
粘度
-
PH值
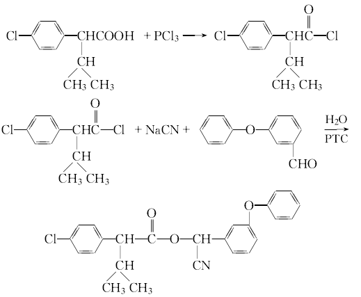
由对氯氰苄经烷基化反应、水解、氯化制备α-异丙基对氯苯基乙酰氯,再与间苯氧基甲醛[39515-51-0]及氰化钠反应制得该品。1.烷基化,α-异丙基对氯苯基乙腈的制备将氯氰苄,苯磺酸异丙酯,氢氧化钠按摩尔比1:1.1:3配料加入石油醚中,在70℃左右搅拌反应12h。经水洗、干燥、脱溶后再进行减压蒸馏,收集100-110℃(0.04-0.08kPa)馏分,即得α-异丙基对氯苯基乙腈。含量90%,收率92%以下。烷基化剂苯磺酸异丙酯在反应中转化为苯磺酰内,可回收制备苯酚。烷基化剂也可采用溴代异丙烷或氯代异丙烷,在强碱存在下反应。2.水解,α-异丙基对氯苯基乙酸的制备α-异丙基对氯苯基乙腈与65%的硫酸按摩尔比1:1.3混合,加热至140-145℃反应11h。用溶剂萃取,分除酸层,再经水洗,脱溶,冷却结晶得α-异丙基对氯苯基乙酸,含量90%,熔点85-87℃,收率90%。3.氯化,α-异丙基对氯苯基乙酰氯的制备α-异丙基对氯苯基乙酰氯和五氯化磷按摩尔比1:1.1混合,搅拌升温到130℃,在130-140℃反应1h。冷却排除生成的氯化氢,蒸出副产的三氯氧磷后,减压蒸馏,收集100-103℃(0.4-0.47kPa)馏分,即得α-异丙基对氯苯基乙酰氯,含量95%以上,收率95%以上。4.腈氯苯苯醚菊酯的制备将氰化钠,间苯氧基苯甲醛,α-异丙基对氯苯基乙酰氯按摩尔比1.1:1:1.05依次投入水中,使氰化钠水溶液的浓度为25%。在30-35℃搅拌反应12h。用溶剂萃取,水洗,干燥,减压脱除溶剂后即得腈氯苯苯醚菊酯。原油含量90%以上,收率90%以上。按 GB6694-86,原油的浅棕色至红棕色粘稠液体,一级品有效成分含量≥92.0%,二级品≥85.0%,三级品≥80.0%。原料消耗定额:对氯苯乙腈550kg/t、溴代异丙烷600kg/t、季铵盐相转移催化剂90kg/t、氯化亚砜480kg/t、间苯氧基苯甲醛580kg/t。氰化钠190kg/t。
|
|||||||||||||||||||||||||||||||||||||||||||||||||||||||||||||||||||||||||||||||||||||||||||||||||||||||||||||||||||||||||||||||||||||||||||||||||||||||||||||||||||||||||||||||||||||||||||||||||||||||||||||||||||||||||||||||||||||||||||||||||||||||
| 符号 |
GHS06, GHS09 |
|---|---|
| 信号词 | Danger |
| 危害声明 | H301-H315-H319-H335-H410 |
| 警示性声明 | P261-P273-P301 + P310-P305 + P351 + P338-P501 |
| 危害码 (欧洲) | T: Toxic;N: Dangerous for the environment; |
| 风险声明 (欧洲) | R25;R36/37/38;R50/53;R57 |
| 安全声明 (欧洲) | S26-S45-S60-S61 |
| 危险品运输编码 | UN 2811 6.1/PG 3 |
| WGK德国 | 3 |
| RTECS号 | CY1576350 |
| 包装等级 | III |
| 危险类别 | 6.1(b) |
| 海关编码 | 2926909036 |

搜索







