毒死蜱
【用途一】
是硫代磷酸酯类杀虫剂,具有触杀、胃毒和熏蒸作用。在叶片上的残留期不长,但在土壤中的残留期则较长,因此对地下害虫的防治效果较好。在推荐剂量下,对多数作物没有药害,但对烟草敏感
是硫代磷酸酯类杀虫剂,具有触杀、胃毒和熏蒸作用。在叶片上的残留期不长,但在土壤中的残留期则较长,因此对地下害虫的防治效果较好。在推荐剂量下,对多数作物没有药害,但对烟草敏感
【用途二】
用于棉花、水稻、玉米、小麦及茶树等多种作物杀虫和杀螨
【用途三】
高效、广谱、低残留有机磷杀虫剂,具有触杀、胃毒和熏蒸作用,无内吸作用。可防治茶尺蠖、小绿叶蝉、茶检瘿螨、棉蚜、棉红蜘蛛、稻飞虱、稻纵卷叶螟、蚊、蝇、小麦黏虫以及牛、羊体外寄生虫和地下害虫。如防治稻飞虱、稻叶蝉,在若虫盛发期,用40%乳油12~18mL/100 m2,对水7.5kg均匀喷雾,防治稻纵卷叶螟、稻蓟马用40%乳油9 ~15mL/100 m2,对水7.5kg喷雾;防治棉叶螨,在成螨期,用40%乳油10.5~15mL/100 m2对水7.3~11.3kg喷雾;防治棉蚜用40%乳油7.5mL/100 m2对水6kg喷雾;防治棉铃虫、红铃虫,在低龄幼虫期,用40%乳油20mL/100 m2对7.5~15kg喷雾;防治土壤害虫,用10g有效成分/100 m2;防治玉米螟,用8.1g有效成分/100 m2喷雾或毒土施用;防治茶尺蠖、茶毛虫,在2~3龄期用300~400mg/kg药液喷雾。
【用途四】
非内吸性的广谱杀虫剂,具有接触、胃毒和熏蒸作用。用于玉米、棉花、大豆、花生、甜菜、果树、蔬菜、防治多种土壤和叶面害虫。也用于防治蚊蝇、蝉螂、白蚁等家庭害虫、粮仓害虫和家畜体外寄生虫。毒性:大鼠经口LD50135-163mg/kg。
【用途五】
非内吸性的广谱杀虫剂,具有接触,胃毒和熏蒸的作用。用于玉米,棉花,大豆,花生,天才,果树,蔬菜,防治多种那个土壤和叶面害虫。也用于防治蚊蝇,蟑螂,白蚁等家庭害虫。粮仓害虫和家畜体外寄生虫。毒性:大鼠经口LD50135-163mg/kg
用于棉花、水稻、玉米、小麦及茶树等多种作物杀虫和杀螨
【用途三】
高效、广谱、低残留有机磷杀虫剂,具有触杀、胃毒和熏蒸作用,无内吸作用。可防治茶尺蠖、小绿叶蝉、茶检瘿螨、棉蚜、棉红蜘蛛、稻飞虱、稻纵卷叶螟、蚊、蝇、小麦黏虫以及牛、羊体外寄生虫和地下害虫。如防治稻飞虱、稻叶蝉,在若虫盛发期,用40%乳油12~18mL/100 m2,对水7.5kg均匀喷雾,防治稻纵卷叶螟、稻蓟马用40%乳油9 ~15mL/100 m2,对水7.5kg喷雾;防治棉叶螨,在成螨期,用40%乳油10.5~15mL/100 m2对水7.3~11.3kg喷雾;防治棉蚜用40%乳油7.5mL/100 m2对水6kg喷雾;防治棉铃虫、红铃虫,在低龄幼虫期,用40%乳油20mL/100 m2对7.5~15kg喷雾;防治土壤害虫,用10g有效成分/100 m2;防治玉米螟,用8.1g有效成分/100 m2喷雾或毒土施用;防治茶尺蠖、茶毛虫,在2~3龄期用300~400mg/kg药液喷雾。
【用途四】
非内吸性的广谱杀虫剂,具有接触、胃毒和熏蒸作用。用于玉米、棉花、大豆、花生、甜菜、果树、蔬菜、防治多种土壤和叶面害虫。也用于防治蚊蝇、蝉螂、白蚁等家庭害虫、粮仓害虫和家畜体外寄生虫。毒性:大鼠经口LD50135-163mg/kg。
【用途五】
非内吸性的广谱杀虫剂,具有接触,胃毒和熏蒸的作用。用于玉米,棉花,大豆,花生,天才,果树,蔬菜,防治多种那个土壤和叶面害虫。也用于防治蚊蝇,蟑螂,白蚁等家庭害虫。粮仓害虫和家畜体外寄生虫。毒性:大鼠经口LD50135-163mg/kg
产品名称
-
中文名毒死蜱
-
英文名Clorpyrifos
-
中文别名氯蜱硫磷 | O,O-二乙基-O-(3,5,6-三氯-2-吡啶基)硫代磷酸 | O,O-二乙基-O-(3,5,6-三氯-2-吡啶基)硫逐磷酸酯 | 乐斯本
-
英文别名
DURSBAN Chlorpyrifos 0,0-Diethyl-O-[3,5,6-trichloro-2-pyridyl]phosphorothioate suSCon Empire Brodan Equity Clorpyrifos Eradex O,O-diethyl O-(3,5,6-trichloropyridin-2-yl) phosphorothioate O,O-diethyl O-(3,5,6-trichloro-2-pyridinyl) phosphorothioate Chlorpyrifos,Chlorpyriphos Pyrine chlopyrifos chloropyrifos chlorpyriphos-ethyl MFCD00041800 O,O-diethyl O-3,5,6-trichloro-2-pyridyl phosphorothioate DOWCO Chlorpyriphos Zidil CUGAT EINECS 220-864-4 -
常用名毒死蜱
-
C A S号2921-88-2
物理性质
-
密度1.5±0.1 g/cm3
-
沸点375.9±52.0 °C at 760 mmHg
-
熔点42-44°C
-
化学式C9H11Cl3NO3PS
-
结构式
1、 摩尔折射率:77.23
2、 摩尔体积(cm3/mol):236.7
3、 等张比容(90.2K):637.9
4、 表面张力(dyne/cm):52.7
5、 极化率(10-24cm3):30.61
-
闪点181.1±30.7 °C
-
分子量350.586
-
精确质量348.926270
-
P S A82.48000
-
外观形状白色粒状的晶体
-
储存条件
密闭于阴凉干燥环境中
-
稳定性
-
水溶解性
-
形态白色结晶,具有轻微的硫醇味
-
H L B值
-
粘度
-
PH值
作用/用途
【用途一】
是硫代磷酸酯类杀虫剂,具有触杀、胃毒和熏蒸作用。在叶片上的残留期不长,但在土壤中的残留期则较长,因此对地下害虫的防治效果较好。在推荐剂量下,对多数作物没有药害,但对烟草敏感
是硫代磷酸酯类杀虫剂,具有触杀、胃毒和熏蒸作用。在叶片上的残留期不长,但在土壤中的残留期则较长,因此对地下害虫的防治效果较好。在推荐剂量下,对多数作物没有药害,但对烟草敏感
【用途二】
用于棉花、水稻、玉米、小麦及茶树等多种作物杀虫和杀螨
【用途三】
高效、广谱、低残留有机磷杀虫剂,具有触杀、胃毒和熏蒸作用,无内吸作用。可防治茶尺蠖、小绿叶蝉、茶检瘿螨、棉蚜、棉红蜘蛛、稻飞虱、稻纵卷叶螟、蚊、蝇、小麦黏虫以及牛、羊体外寄生虫和地下害虫。如防治稻飞虱、稻叶蝉,在若虫盛发期,用40%乳油12~18mL/100 m2,对水7.5kg均匀喷雾,防治稻纵卷叶螟、稻蓟马用40%乳油9 ~15mL/100 m2,对水7.5kg喷雾;防治棉叶螨,在成螨期,用40%乳油10.5~15mL/100 m2对水7.3~11.3kg喷雾;防治棉蚜用40%乳油7.5mL/100 m2对水6kg喷雾;防治棉铃虫、红铃虫,在低龄幼虫期,用40%乳油20mL/100 m2对7.5~15kg喷雾;防治土壤害虫,用10g有效成分/100 m2;防治玉米螟,用8.1g有效成分/100 m2喷雾或毒土施用;防治茶尺蠖、茶毛虫,在2~3龄期用300~400mg/kg药液喷雾。
【用途四】
非内吸性的广谱杀虫剂,具有接触、胃毒和熏蒸作用。用于玉米、棉花、大豆、花生、甜菜、果树、蔬菜、防治多种土壤和叶面害虫。也用于防治蚊蝇、蝉螂、白蚁等家庭害虫、粮仓害虫和家畜体外寄生虫。毒性:大鼠经口LD50135-163mg/kg。
【用途五】
非内吸性的广谱杀虫剂,具有接触,胃毒和熏蒸的作用。用于玉米,棉花,大豆,花生,天才,果树,蔬菜,防治多种那个土壤和叶面害虫。也用于防治蚊蝇,蟑螂,白蚁等家庭害虫。粮仓害虫和家畜体外寄生虫。毒性:大鼠经口LD50135-163mg/kg
用于棉花、水稻、玉米、小麦及茶树等多种作物杀虫和杀螨
【用途三】
高效、广谱、低残留有机磷杀虫剂,具有触杀、胃毒和熏蒸作用,无内吸作用。可防治茶尺蠖、小绿叶蝉、茶检瘿螨、棉蚜、棉红蜘蛛、稻飞虱、稻纵卷叶螟、蚊、蝇、小麦黏虫以及牛、羊体外寄生虫和地下害虫。如防治稻飞虱、稻叶蝉,在若虫盛发期,用40%乳油12~18mL/100 m2,对水7.5kg均匀喷雾,防治稻纵卷叶螟、稻蓟马用40%乳油9 ~15mL/100 m2,对水7.5kg喷雾;防治棉叶螨,在成螨期,用40%乳油10.5~15mL/100 m2对水7.3~11.3kg喷雾;防治棉蚜用40%乳油7.5mL/100 m2对水6kg喷雾;防治棉铃虫、红铃虫,在低龄幼虫期,用40%乳油20mL/100 m2对7.5~15kg喷雾;防治土壤害虫,用10g有效成分/100 m2;防治玉米螟,用8.1g有效成分/100 m2喷雾或毒土施用;防治茶尺蠖、茶毛虫,在2~3龄期用300~400mg/kg药液喷雾。
【用途四】
非内吸性的广谱杀虫剂,具有接触、胃毒和熏蒸作用。用于玉米、棉花、大豆、花生、甜菜、果树、蔬菜、防治多种土壤和叶面害虫。也用于防治蚊蝇、蝉螂、白蚁等家庭害虫、粮仓害虫和家畜体外寄生虫。毒性:大鼠经口LD50135-163mg/kg。
【用途五】
非内吸性的广谱杀虫剂,具有接触,胃毒和熏蒸的作用。用于玉米,棉花,大豆,花生,天才,果树,蔬菜,防治多种那个土壤和叶面害虫。也用于防治蚊蝇,蟑螂,白蚁等家庭害虫。粮仓害虫和家畜体外寄生虫。毒性:大鼠经口LD50135-163mg/kg
制备方法
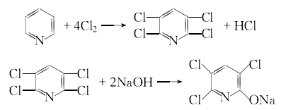
1.由二乙基硫代磷酰氯与3,5,6-三氯-2-吡啶醇反应制得。
2.将吡啶在催化剂存在下,氯化制得五氯吡啶。然后以乙腈为溶剂,在一定温度下缓慢滴加锌粉/氯化铵水溶液,反应得2,3,5,6-四氯吡啶,经碱解,得到2-羟基-3,5,6-三氯吡啶。该化合物与O,O'-二乙基硫代磷酰氯反应,经处理即得毒死蜱。
安全提醒
MSDS
|
|||||||||||||||||||||||||||||||||||||||||||||||||||||||||||||||||||||||||||||||||||||||||||||||||||||||||||||||||||||||||||||||||||||||||||||||||||||||||||||||||||||||||||||||||||||||||||||||||||||||||||||||||||||||
原料简介
应用范围
毒性和生态
安全信息
| 符号 |
GHS06, GHS09 |
|---|---|
| 信号词 | Danger |
| 危害声明 | H301-H410 |
| 警示性声明 | P273-P301 + P310 + P330-P391-P501 |
| 个人防护装备 | Eyeshields;Faceshields;full-face respirator (US);Gloves;multi-purpose combination respirator cartridge (US);type ABEK (EN14387) respirator filter |
| 危害码 (欧洲) | T;N |
| 风险声明 (欧洲) | R25;R50/53 |
| 安全声明 (欧洲) | S1/2-S45-S60-S61-S36/37-S26 |
| 危险品运输编码 | UN 2783 |
| RTECS号 | TF6300000 |
| 包装等级 | III |
| 危险类别 | 6.1(b) |
| 海关编码 | 2933399021 |
是否危险品
危险性
危险类别码
危险等级
触发危险方式
安全技术说明书
环境影响程度
包装与储运
相关供应商

搜索










