氟氰戊菊酯
高效、广谱、快速、低残留、长残效的拟除虫菊酯类杀虫剂,兼有杀螨、杀蜱活性。本品以触杀和胃毒为主,无内吸作用。可防治茶毛虫、茶尺蠖、茶细蛾,棉铃虫、红铃虫第二、三代卵孵盛期及幼虫蛀入蕾、铃之前,柑橘潜叶蛾在抽梢初期或卵孵盛期,菜青虫、小菜蛾、斜纹夜蛾、甜菜夜蛾3龄幼虫盛发期前使用。该药与其他菊酯类农药易产生交互抗性。
-
中文名氟氰戊菊酯
-
英文名flucythrinate
-
中文别名(RS)-α-氰基-3-苯氧基苄基(S)-2-(4-二氟甲氧基苯基)-3-甲基丁酸酯 | α-氰基-3-苯氧基苄基-4-二氟甲氧基-α-异丙基苯基乙酸酯 | (R,S)α-氰基-间苯氧基苄基(S)-2-(对二氟甲氧基苯基)-3-甲基丁酸酯 | 氟氰菊酯 | 保好鸿 | (RS)-Α-氰基-3-苯氧苄基(S)-2(4-二氟甲氧基苯基)-3-甲基丁酸 酯
-
英文别名
EINECS 274-322-7 Cythrin Caswell No. 002AA Pay Off Fluorocythrin (Ξ)-cyano(3-phenoxyphenyl)methyl (2S)-2-[4-(difluoromethoxy)phenyl]-3-methylbutanoate FLUCYTHRINATE cyano(3-phenoxyphenyl)methyl (αS)-4-(difluoromethoxy)-α-(1-methylethyl)benzeneacetate Funchiong jujr MFCD00137383 CyBolt Guardian [cyano-(3-phenoxyphenyl)methyl] 2-[4-(difluoromethoxy)phenyl]-3-methylbutanoate Stock Guard (RS)-α-cyano-3-phenoxybenzyl (S)-2-(4-difluoromethoxyphenyl)-3-methylbutyrate -
常用名氟氰戊菊酯
-
C A S号70124-77-5
-
密度1.219
-
沸点545.1ºC at 760 mmHg
-
熔点<25℃
-
化学式C26H23F2NO4
-
结构式
1、 摩尔折射率:118.51
2、 摩尔体积(cm3/mol):370.0
3、 等张比容(90.2K):946.8
4、 表面张力(dyne/cm):42.8
5、 极化率(10-24cm3):46.98
-
闪点-18 °C
-
分子量451.46200
-
精确质量451.16000
-
P S A68.55000
-
外观形状
-
储存条件
存放在密封容器内,并放在阴凉,干燥处。储存的地方必须远离氧化剂。
2-8 ºC保存。
-
稳定性
-
水溶解性
-
形态琥珀白色粘稠液体。
-
H L B值
-
粘度
-
PH值
高效、广谱、快速、低残留、长残效的拟除虫菊酯类杀虫剂,兼有杀螨、杀蜱活性。本品以触杀和胃毒为主,无内吸作用。可防治茶毛虫、茶尺蠖、茶细蛾,棉铃虫、红铃虫第二、三代卵孵盛期及幼虫蛀入蕾、铃之前,柑橘潜叶蛾在抽梢初期或卵孵盛期,菜青虫、小菜蛾、斜纹夜蛾、甜菜夜蛾3龄幼虫盛发期前使用。该药与其他菊酯类农药易产生交互抗性。
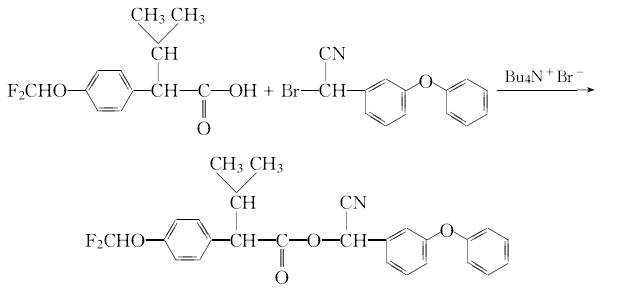
1.以茴香醛为起始原料,经还原,氯代,氰基化,异丙基化,水解,二氟甲醚酰氯化、酯化等步骤可得到氟氰菊酯。此合成路线冗长,有几步反应收率偏低,原料来源回难,成本高。拟除虫菊酯类杀虫剂,特别是戊酸氰醚酯(氰戊菊酯),利用中间体2-(对氯苯基)-3-甲基丁酸,直接水解为2-(对羟基苯基)-3-甲基丁酸,再经二氟甲醚化、酰氯化、酰氯化、缩合等反应而得氟氰菊酯。此合成路线收率较高。
2.由2一对甲氧基苯基异戊酸经拆分(无效体消旋化)、水解、二氟甲基化、醚氯化、酉旨化合成。包括消旋化和回收等总收率可达75,以上。1. 2一对甲氧基苯基异戊酸的拆分27g 2一对甲氧基苯基异戊酸,2-苯乙胺,1500mL60,乙醉,经加热洛解、冷却结晶、重结晶得14.5g白色针状结晶;合并母液,蒸除乙醉,经静置、过滤、重结晶得3.5g白色结晶;合并2次结晶共得1撇固体。加入200m工一水、10mL一浓盐酸。加热,冷却得
3.(S)(+)-2一对二}6甲氧基苯基异戊酸的制备将lOg上步产物加19g氢氧化钠、30mL水、60mL二氧六环,加热至80ºC,通氟里品一22约40g,冷却,倒入250m工一水中,用乙醚洗涤,水洛液用浓盐酸酸化,乙醚萃取,萃取液用无水硫酸钠干燥,蒸除乙醚,得淡棕色块状物,用1:1正已烷一二氯甲烷提取,余物白色粉末S.lg, m.p. 189-1910;,〔。瑞,一+2.40}提取液减压蒸干得淡橙色半固体5.5g[a]20D即一+40.20,收率43.7%},光学纯度99 .5%、
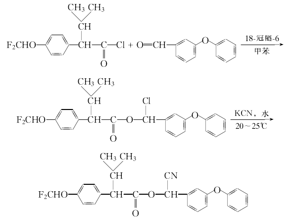
4.制备方法二
|
模块1. 化学品 1.1 产品标识符 : 氟氰戊菊酯 产品名称 1.2 鉴别的其他方法 α-Cyano-3-phenoxybenzyl 4-difluoromethoxy-α-isopropylphenylacetate
1.3 有关的确定了的物质或混合物的用途和建议不适合的用途
仅用于研发。不作为药品、家庭或其它用途。 模块2. 危险性概述 2.1 GHS-分类 急性毒性, 经口 (类别 3) 急性毒性, 吸入 (类别 3) 急性毒性, 经皮 (类别 4) 急性水生毒性 (类别 1) 慢性水生毒性 (类别 1) 2.2 GHS 标记要素,包括预防性的陈述 象形图 警示词危险 危险申明 H301吞咽会中毒 H312皮肤接触有害。 H331吸入会中毒。 H410对水生生物毒性极大并具有长期持续影响. 警告申明 预防 P261避免吸入粉尘/烟/气体/烟雾/蒸气/喷雾. P264操作后彻底清洁皮肤。 P270使用本产品时不要进食、饮水或吸烟。 P271只能在室外或通风良好之处使用。 P273避免释放到环境中。 P280穿戴防护手套/ 防护服。 响应 P301 + P310如果吞下去了: 立即呼救解毒中心或医生。 P302 + P352如皮肤接触:用大量肥皂和水清洗。 P304 + P340如吸入: 将患者移到新鲜空气处休息,并保持呼吸舒畅的姿势。 P322具体措施(见本标签上提供的急救指导)。 P330漱口。 P363沾染的衣服清洗后方可重新使用。 P391收集溢出物。 储存 P403 + P233存放于通风良的地方。 保持容器密闭。 P405存放处须加锁。 处置 P501将内容物/ 容器处理到得到批准的废物处理厂。 2.3 其它危害物 - 无 模块3. 成分/组成信息 3.1 物 质 : α-Cyano-3-phenoxybenzyl 4-difluoromethoxy-α-isopropylphenylacetate 别名 : C26H23F2NO4 分子式 : 451.46 g/mol 分子量 组分浓度或浓度范围 Flucythrinate - 化学文摘登记号(CAS70124-77-5 No.)274-322-7 EC-编号 模块4. 急救措施 4.1 必要的急救措施描述 一般的建议 请教医生。 向到现场的医生出示此安全技术说明书。 吸入 如果吸入,请将患者移到新鲜空气处。 如呼吸停止,进行人工呼吸。 请教医生。 皮肤接触 用肥皂和大量的水冲洗。 立即将患者送往医院。 请教医生。 眼睛接触 用水冲洗眼睛作为预防措施。 食入 切勿给失去知觉者通过口喂任何东西。 用水漱口。 请教医生。 4.2 主要症状和影响,急性和迟发效应 心动过速, 高血压, 神经过敏, 发抖, 心悸, 恶心, 呕吐, 据我们所知,此化学,物理和毒性性质尚未经完整的研究。 4.3 及时的医疗处理和所需的特殊处理的说明和指示 无数据资料 模块5. 消防措施 5.1 灭火介质 灭火方法及灭火剂 用水雾,抗乙醇泡沫,干粉或二氧化碳灭火。 5.2 源于此物质或混合物的特别的危害 碳氧化物, 氮氧化物, 氟化氢 5.3 给消防员的建议 如必要的话,戴自给式呼吸器去救火。 5.4 进一步信息 无数据资料 模块6. 泄露应急处理 6.1 作业人员防护措施、防护装备和应急处置程序 戴呼吸罩。 避免吸入蒸气、烟雾或气体。 保证充分的通风。 人员疏散到安全区域。 6.2 环境保护措施 如能确保安全,可采取措施防止进一步的泄漏或溢出。 不要让产品进入下水道。 一定要避免排放到周围环境中。 6.3 泄漏化学品的收容、清除方法及所使用的处置材料 用惰性吸附材料吸收并当作危险废物处理。 放入合适的封闭的容器中待处理。 6.4 参考其他部分 丢弃处理请参阅第13节。 模块7. 操作处置与储存 7.1 安全操作的注意事项 避免接触皮肤和眼睛。 避免吸入蒸气和烟雾。 7.2 安全储存的条件,包括任何不兼容性 贮存在阴凉处。 使容器保持密闭,储存在干燥通风处。 打开了的容器必须仔细重新封口并保持竖放位置以防止泄漏。 建议的贮存温度: 2 - 8 °C 7.3 特定用途 无数据资料 模块8. 接触控制和个体防护 8.1 容许浓度 最高容许浓度 没有已知的国家规定的暴露极限。 8.2 暴露控制 适当的技术控制 避免与皮肤、眼睛和衣服接触。 休息前和操作本品后立即洗手。 个体防护设备 眼/面保护 面罩與安全眼鏡请使用经官方标准如NIOSH (美国) 或 EN 166(欧盟) 检测与批准的设备防护眼部。 皮肤保护 戴手套取 手套在使用前必须受检查。 请使用合适的方法脱除手套(不要接触手套外部表面),避免任何皮肤部位接触此产品. 使用后请将被污染过的手套根据相关法律法规和有效的实验室规章程序谨慎处理. 请清洗并吹干双手 所选择的保护手套必须符合EU的89/686/EEC规定和从它衍生出来的EN 376标准。 身体保护 全套防化学试剂工作服, 防护设备的类型必须根据特定工作场所中的危险物的浓度和数量来选择。 呼吸系统防护 如危险性评测显示需要使用空气净化的防毒面具,请使用全面罩式多功能防毒面具(US)或ABEK型 (EN 14387)防毒面具筒作为工程控制的候补。如果防毒面具是保护的唯一方式,则使用全面罩式送风防 毒面具。 呼吸器使用经过测试并通过政府标准如NIOSH(US)或CEN(EU)的呼吸器和零件。 模块9. 理化特性 9.1 基本的理化特性的信息 a) 外观与性状 形状: 液体 颜色: 无色 b) 气味 无数据资料 c) 气味阈值 无数据资料 d) pH值 无数据资料 e) 熔点/凝固点 无数据资料 f) 沸点、初沸点和沸程 108 °C 在 0.47 hPa g) 闪点 无数据资料 h) 蒸发速率 无数据资料 i) 易燃性(固体,气体) 无数据资料 j) 高的/低的燃烧性或爆炸性限度 无数据资料 k) 蒸气压 无数据资料 l) 蒸汽密度 无数据资料 m) 密度/相对密度 1.189 g/cm3 在 22 °C n) 水溶性 无数据资料 o) n-辛醇/水分配系数 辛醇--水的分配系数的对数值: 6.2 p) 自燃温度 无数据资料 q) 分解温度 无数据资料 r) 粘度 无数据资料 模块10. 稳定性和反应活性 10.1 反应性 无数据资料 10.2 稳定性 无数据资料 10.3 危险反应 无数据资料 10.4 应避免的条件 无数据资料 10.5 不相容的物质 强氧化剂 10.6 危险的分解产物 其它分解产物 - 无数据资料 模块11. 毒理学资料 11.1 毒理学影响的信息 急性毒性 半数致死剂量 (LD50) 经口 - 大鼠 - 67 mg/kg 半数致死浓度(LC50) 吸入 - 大鼠 - 4 h - 4,850 mg/m3 半数致死剂量 (LD50) 经皮 - 兔子 - > 1,000 mg/kg 皮肤刺激或腐蚀 无数据资料 眼睛刺激或腐蚀 无数据资料 呼吸道或皮肤过敏 长期或反复接触导致个别人过敏反应 生殖细胞突变性 无数据资料 致癌性 IARC: 此产品中没有大于或等于 0。1%含量的组分被 IARC鉴别为可能的或肯定的人类致癌物。 生殖毒性 无数据资料 特异性靶器官系统毒性(一次接触) 无数据资料 特异性靶器官系统毒性(反复接触) 无数据资料 吸入危险 无数据资料 潜在的健康影响 吸入吸入会中毒。 可能引起呼吸道刺激。 摄入误吞会中毒。 皮肤通过皮肤吸收有害。 可能引起皮肤刺激。 眼睛可能引起眼睛刺激。 接触后的征兆和症状 心动过速, 高血压, 神经过敏, 发抖, 心悸, 恶心, 呕吐, 据我们所知,此化学,物理和毒性性质尚未经完整的研究。 附加说明 化学物质毒性作用登记: CY1578620 模块12. 生态学资料 12.1 生态毒性 对鱼类的毒性半数致死浓度(LC50) - 肥头鲦鱼 (黑头软口鲦鱼) - 0.190 mg/l - 96.0 h 12.2 持久性和降解性 12.3 潜在的生物累积性 生物富集或生物积累性杂色鳉(红鲈) - 28 d -0.27 µg/l 生物富集因子 (BCF): < 1,800 12.4 土壤中的迁移性 无数据资料 12.5 PBT 和 vPvB的结果评价 无数据资料 12.6 其它不良影响 对水生生物毒性极大。 模块13. 废弃处置 13.1 废物处理方法 产品 将剩余的和不可回收的溶液交给有许可证的公司处理。 受污染的容器和包装 按未用产品处置。 模块14. 运输信息 14.1 联合国危险货物编号 欧洲陆运危规: 2810国际海运危规: 2810国际空运危规: 2810 14.2 联合国运输名称 欧洲陆运危规: TOXIC LIQUID, ORGANIC, N.O.S. (Flucythrinate) 国际海运危规: TOXIC LIQUID, ORGANIC, N.O.S. (Flucythrinate) 国际空运危规: Toxic liquid, organic, n.o.s. (Flucythrinate) 14.3 运输危险类别 欧洲陆运危规: 6.1国际海运危规: 6.1国际空运危规: 6.1 14.4 包裹组 欧洲陆运危规: III国际海运危规: III国际空运危规: III 14.5 环境危险 欧洲陆运危规: 是国际海运危规国际空运危规: 否 海洋污染物(是/否): 是 14.6 对使用者的特别提醒 无数据资料 模块16. 其他信息 进一步信息 版权所有:2012 Co. LLC. 公司。许可无限制纸张拷贝,仅限于内部使用。 上述信息视为正确,但不包含所有的信息,仅作为指引使用。本文件中的信息是基于我们目前所知,就正 确的安全提示来说适用于本品。该信息不代表对此产品性质的保证。 参见发票或包装条的反面。 模块 15 - 法规信息 N/A |
| 符号 |
GHS06, GHS09 |
|---|---|
| 信号词 | Danger |
| 危害声明 | H301 + H331-H312-H410 |
| 警示性声明 | P261-P273-P280-P301 + P310-P311-P501 |
| 个人防护装备 | Eyeshields;Faceshields;full-face respirator (US);Gloves;multi-purpose combination respirator cartridge (US);type ABEK (EN14387) respirator filter |
| 危害码 (欧洲) | T,N,Xn,F |
| 风险声明 (欧洲) | R20/21 |
| 安全声明 (欧洲) | S36/37-S45-S60-S61-S62 |
| 危险品运输编码 | UN 2810 6.1/PG 3 |
| RTECS号 | CY1578620 |
| 海关编码 | 2926909037 |

搜索








