溴氰菊酯
Deltamethrin (Decamethrin),一种神经毒性拟除虫菊酯杀虫剂,可在大鼠中产生可逆性的一系列运动症状,包括后肢僵硬和舞蹈性关节炎。
产品名称
-
中文名溴氰菊酯
-
英文名Deltamethrin
-
中文别名右旋-顺式-2,2-二甲基-3-(2,2-二溴乙烯基)环丙烷羧酸-(S)-α-氰基-3-苯氧基苄酯 | 凯素灵 | 凯安保 | 天马 | 敌杀死 | (S)-alpha-氰基-3-苯氧苄基-(+)-顺-3-(2,2,二溴乙烯基)-2,2-二甲基环丙烷羧酸酯 | 增效百虫灵 | 谷虫净
-
英文别名
decamethrin tetrahydro-6-pentyl-2H-pyran-2-one (S)-α-cyano-3-phenoxybenzyl (1R,3R)-3-(2,2-dibromovinyl)-2,2-dimethylcyclopropanecarboxylate (S)-α-cyano-3-phenoxybenzyl (1R)-cis-3-(2,2-dibromovinyl)-2,2-dimethylcyclopropanecarboxylate (S)-Cyano(3-phenoxyphenyl)methyl (1R,3R)-3-(2,2-dibromovinyl)-2,2-dimethylcyclopropanecarboxylate (S)-cyano(3-phenoxyphenyl)methyl (1R,3R)-3-(2,2-dibromoethenyl)-2,2-dimethylcyclopropane-1-carboxylate [1R-[1a(S*),3a]]-3-(2,2-Dibromoethenyl)-2,2-dimethylcyclopropanecarboxylic Acid Cyano(3-phenoxyphenyl)methyl Ester 5-decalactone (S)-a-cyano-3-phenoxybenzyl-(1R)-cis-3-(2,2-dibromovinyl)-2,2-dimethylcyclopropane Carboxylate Dekametrin (1R,3R)-3-(2,2-Dibromoéthènyl)-2,2-diméthylcyclopropanecarboxylate de (S)-cyano(3-phénoxyphényl)méthyle (S)-cyano(3-phenoxyphenyl)methyl (1R,3R)-3-(2,2-dibromoethenyl)-2,2-dimethylcyclopropanecarboxylate Cyclopropanecarboxylic acid, 3-(2,2-dibromoethenyl)-2,2-dimethyl-, (S)-cyano(3-phenoxyphenyl)methyl ester, (1R,3R)- decamethrine MFCD00870122 Decan-5-olid EINECS 258-256-6 6-pentylvalerolactone D-DECALACTONE i-decalactone Deltamethrin decan-5-olide 6-pentyltetrahydro-2H-pyran-2-one -
常用名溴氰菊酯
-
C A S号52918-63-5
物理性质
-
密度1.6±0.1 g/cm3
-
沸点535.8±50.0 °C at 760 mmHg
-
熔点98ºC
-
化学式C22H19Br2NO3
-
结构式
-
闪点277.8±30.1 °C
-
分子量505.199
-
精确质量502.973145
-
P S A59.32000
-
外观形状白色至灰白色晶体或粉末
-
储存条件
保持贮藏器密封、储存在阴凉、干燥的地方,确保工作间有良好的通风或排气装置
-
稳定性
-
水溶解性
-
形态原药为白色粉末,无味,用异丙醇重结晶为斜方晶系针状结晶。
-
H L B值
-
粘度
-
PH值
作用/用途
Deltamethrin (Decamethrin),一种神经毒性拟除虫菊酯杀虫剂,可在大鼠中产生可逆性的一系列运动症状,包括后肢僵硬和舞蹈性关节炎。
制备方法
(1R,顺式)2,2-二甲基-3-(2,2-二溴乙烯基环丙烷羧酸),即二溴菊酸,用亚硫酰氯氯化,生成二溴菊酰氯。
间苯氧基苯甲醛与氢氰酸加成得α-氰基间苯氧基苯甲醇。
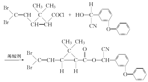
在吡啶存在下,二溴菊酰氯与(+)α-氰基间苯氧基苯甲醇作用得溴氰菊酯:
溴氰菊酯分子中有3个不对称碳原子,有8个异构体,而且有最高活性的只有其中之一。在合成时为减少无效体(或低效体),降低成本,减少污染,法国罗素-尤克福公司采用如下工艺路线:
安全提醒
MSDS
|
||||||||||||||||||||||||||||||||||||||||||||||||||||||||||||||||||||||||||||||||||||||||||||||||||||||||||||||||||||||||||||||||||||||||||||||||||||||||||||||||||||||||||||||||||||||||||||||||||||||||||||||||||||||||||||||||||||||||||||||||||||||||||
原料简介
应用范围
毒性和生态
安全信息
| 符号 |
GHS06, GHS09 |
|---|---|
| 信号词 | Danger |
| 危害声明 | H300-H312-H331-H410 |
| 警示性声明 | P261-P273-P301 + P310 + P330-P302 + P352 + P312-P304 + P340 + P312-P403 + P233 |
| 个人防护装备 | Eyeshields;Faceshields;Gloves;type P2 (EN 143) respirator cartridges |
| 危害码 (欧洲) | T:Toxic;N:Dangerousfortheenvironment; |
| 风险声明 (欧洲) | R23/25;R50/53 |
| 安全声明 (欧洲) | S24-S28-S36/37/39-S38-S45-S60-S61 |
| 危险品运输编码 | UN 2811 |
| WGK德国 | 3 |
| RTECS号 | GZ1233000 |
| 包装等级 | II |
| 危险类别 | 6.1(a) |
| 海关编码 | 2926909035 |
是否危险品
危险性
危险类别码
危险等级
触发危险方式
安全技术说明书
环境影响程度
包装与储运
相关供应商

搜索










