哒螨灵
吡达本是一种METI杀螨剂,可抑制复合物I(METI;大鼠脑线粒体中Ki=0.36 nmol/mg蛋白质)的线粒体电子传递。吡达本对多种螨虫有活性,分别以25、100和200毫克/立方米的剂量通过滤纸接触给药,可导致马来丝虫、法氏锥虫和腐败T.的100%死亡率。
产品名称
-
中文名哒螨灵
-
英文名Pyridaben
-
中文别名哒螨净 | 特螨酮 | 速螨酮 | 2-特丁基-5-(4-特丁基苄硫基)-4-氯-2H-哒嗪-3-酮 | 达螨灵:扫螨净 | 哒螨酮 | 速螨灵 | 2-特丁基-5-(4-特丁基苄硫基-4-氯-3(H)-哒嗪-3-酮
-
英文别名
Sanmite NCI 129 2-tert-butyl-5-{[(4-tert-butylphenyl)methyl]sulfanyl}-4-chloropyridazin-3(2H)-one 2-tert-butyl-5-(4-tert-butylbenzylthio)-4-chloropyridazin-3(2H)-one 4-chloro-2-(1,1-dimethylethyl)-5-[[[4-(1,1-dimethylethyl)phenyl]methyl]thio]-3(2H)-pyridazinone MFCD00274601 4-chloro-2-(1,1-dimethylethyl)-5-(((4-(1,1-dimethylethyl)phenyl)methyl)thio)-3(2H)-pyridazinone 2-tert-butyl-4-chloro-5-(4-tert-butyl-benzylthio)-3(2H)-pyridazinone 2-tert-butyl-5-[(4-tert-butylphenyl)methylsulfanyl]-4-chloropyridazin-3-one 2-t-butyl-5-(p-t-butylbenzylthio)-4-chloro-3(2H)-pyridazinone Pyridaben [ISO] Pyridaben EINECS 405-700-3 -
常用名哒螨灵
-
C A S号96489-71-3
物理性质
-
密度1.12 g/cm3
-
沸点429.9ºC at 760 mmHg
-
熔点111-112ºC
-
化学式C19H25ClN2OS
-
结构式
-
闪点213.8ºC
-
分子量364.93300
-
精确质量364.13800
-
P S A60.19000
-
外观形状白色固体
-
储存条件
密封储存,储存于阴凉、干燥的库房。远离热源,火焰。
-
稳定性
-
水溶解性
-
形态黄褐色有微弱香草气味粉末
-
H L B值
-
粘度
-
PH值
作用/用途
吡达本是一种METI杀螨剂,可抑制复合物I(METI;大鼠脑线粒体中Ki=0.36 nmol/mg蛋白质)的线粒体电子传递。吡达本对多种螨虫有活性,分别以25、100和200毫克/立方米的剂量通过滤纸接触给药,可导致马来丝虫、法氏锥虫和腐败T.的100%死亡率。
制备方法
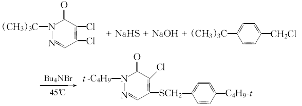
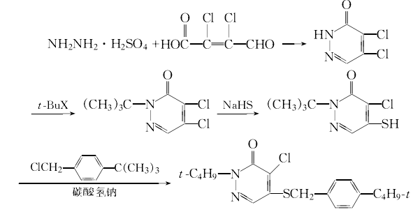
1.对特丁基基苄硫醇的制备 对特丁基甲苯在偶氮二异丁腈存在下,于68~72℃通氯氯化6h,得对特丁基氯苄;然后将精制的对特丁基氯苄以甲苯为溶剂,在四丁基溴化铵和醋酸的存在下,滴加23%硫氢化钠水溶液,滴毕后于50℃继续反应30min,经后处理得对特丁基苄硫醇,收率92%。
2. 2-特丁基-4,5-二氯-3-(2H)-哒嗪酮的制备 将糠醛与浓盐酸混合,于90~100℃通氯气氯化,得糠氯酸,收率87%;将盐酸肼与特丁基醇于82~105℃反应得特丁基肼盐酸盐,收率97%;然后将特丁基肼盐酸盐溶于5%NaOH溶液,于0~5℃加长糠氯酸四氢呋喃溶液反应30min,再升温至10~15℃反应30min,得糖氯酸特丁基腙,收率87%;再在苯和醋酸存在下,糠氯酸特丁基腙加热至35~45℃,反应4h,缩合、环合生成2-特丁基-4,5-二氯-3(2H)-哒嗪酮,收率98%。
3.哒螨灵的合成 将2-特丁基-4,5-二氢-3(2H)-哒嗪酮和对特丁基苄硫醇,以甲醇为溶剂,再在0℃加入甲醇钠甲醇溶液,于10~15℃搅拌反应1h,经后处理得哒螨灵,m.p.111~112℃,收率96%。
制备方法二
制备方法三
安全提醒
MSDS
|
哒螨灵MSDS英文版
|
原料简介
应用范围
毒性和生态
安全信息
| 符号 |
GHS06, GHS09 |
|---|---|
| 信号词 | Danger |
| 危害声明 | H301-H331-H410 |
| 警示性声明 | P261-P273-P301 + P310-P311-P501 |
| 个人防护装备 | Eyeshields;Faceshields;Gloves;type P2 (EN 143) respirator cartridges |
| 危害码 (欧洲) | T:Toxic;N:Dangerousfortheenvironment; |
| 风险声明 (欧洲) | R23/25;R50/53 |
| 安全声明 (欧洲) | S36/37-S45-S60-S61 |
| 危险品运输编码 | UN 3077 |
| RTECS号 | UR6149000 |
| 包装等级 | II |
| 危险类别 | 6.1(a) |
| 海关编码 | 2933399027 |
是否危险品
危险性
危险类别码
危险等级
触发危险方式
安全技术说明书
环境影响程度
包装与储运
相关供应商

搜索








