丙环唑
丙环唑是一种广谱的三唑类杀菌剂,可抑制羊毛甾醇转化为麦角甾醇,导致真菌细胞膜破裂。丙环唑抑制酿酒酵母,但不抑制大鼠肝脏微粒体细胞色素P450(IC50s分别为0.04µM和>200µM)。丙环唑可抑制变形链球菌和匍匐茎魔芋的生长(ED50s分别为0.073µg/mL和4.6µg/mL)。丙环唑增加活性氧(ROS)的产生。
产品名称
-
中文名丙环唑
-
英文名propiconazole
-
中文别名丙唑灵 | 1-[2-(2,4-二氯苯基)-4-丙基-1,3-二氧戊环-2-甲基]-1氢-1,2,4-三唑 | 1-[2,4-二氯苯基)-4-丙基-1,3-二氧戊环-2-甲基]-1氢-1,2,4-三唑 | 1-[2-(2,4-二氯苯基)-4-丙基-1,3-二氧戊环-α-甲基]-1-氢-1,2,4-三唑 | 普克利 | 必扑尔 | 敌力脱 | 氧环三宝25EC | 1-[2-(2,4-二氯苯基)-4-丙基-1,3-二氧戊环-2-基甲基]-1H-1,2,4-三唑
-
英文别名
Bumper 1-{[2-(2,4-Dichlorophenyl)-4-propyl-1,3-dioxolan-2-yl]methyl}-1H-1,2,4-triazole 1H-1,2,4-Triazole, 1-[[2-(2,4-dichlorophenyl)-4-propyl-1,3-dioxolan-2-yl]methyl]- 1-[[2-(2,4-dichlorophenyl)-4-propyl-1,3-dioxolan-2-yl]methyl]-1H-1,2,4-triazole propiconazole FORDO Juno MFCD00055299 DESME Mycostat P 1-{[(2Ξ,4Ξ)-2-(2,4-dichlorophenyl)-4-propyl-1,3-dioxolan-2-yl]methyl}-1H-1,2,4-triazole 1-[2-(2,4-Dichlorophenyl)-4-propyl-[1,3]dioxolan-2-ylmethyl]-1H-[1,2,4]triazole proconazole Orbit Banner EINECS 262-104-4 desmel (2RS,4RS 2RS,4SR)-1-[2-(2,4-dichlorophenyl)-4-propyl-1,3-dioxolan-2-ylmethyl]-1H-1,2,4-triazole radar Dadar Tilt Wocosin TRUST Wocosin 50TK -
常用名丙环唑
-
C A S号60207-90-1
物理性质
-
密度1.4±0.1 g/cm3
-
沸点480.0±55.0 °C at 760 mmHg
-
熔点N/A
-
化学式C15H17Cl2N3O2
-
结构式
1、 摩尔折射率:86.41
2、 摩尔体积(cm3/mol):244.8
3、 等张比容(90.2K):646.1
4、 表面张力(dyne/cm):48.4
5、 极化率(10-24cm3):34.25
-
闪点244.1±31.5 °C
-
分子量342.220
-
精确质量341.069794
-
P S A49.17000
-
外观形状通常作为黄色液体供应
-
储存条件
4℃
-
稳定性
-
水溶解性
-
形态淡黄色黏稠液体
-
H L B值
-
粘度
-
PH值
作用/用途
丙环唑是一种广谱的三唑类杀菌剂,可抑制羊毛甾醇转化为麦角甾醇,导致真菌细胞膜破裂。丙环唑抑制酿酒酵母,但不抑制大鼠肝脏微粒体细胞色素P450(IC50s分别为0.04µM和>200µM)。丙环唑可抑制变形链球菌和匍匐茎魔芋的生长(ED50s分别为0.073µg/mL和4.6µg/mL)。丙环唑增加活性氧(ROS)的产生。
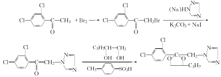
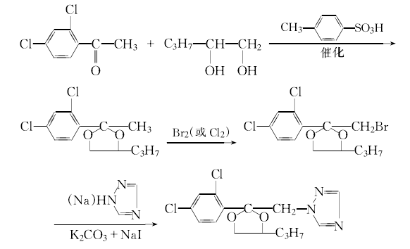
制备方法
1.先将2,4-二氯苯基甲酮溴化,生成2,4-二氯苯基溴甲基酮。再将2,4-二氯苯基溴甲基酮与1,2-戊二醇在对甲苯磺酸的存在下,于甲苯溶剂中反应生成相应的缩酮。然后在二甲基甲酰胺中与1H-1,2,4-三唑反应,制得丙环唑
制备方法二
制备方法三
安全提醒
MSDS
|
丙环唑MSDS英文版
|
原料简介
应用范围
毒性和生态
安全信息
| 符号 |
GHS06, GHS09 |
|---|---|
| 信号词 | Danger |
| 危害声明 | H302-H317-H330-H410 |
| 警示性声明 | P260-P280-P301 + P312 + P330-P304 + P340 + P310-P403 + P233 |
| 个人防护装备 | Eyeshields;Faceshields;full-face respirator (US);Gloves;multi-purpose combination respirator cartridge (US);type ABEK (EN14387) respirator filter |
| 危害码 (欧洲) | Xn: Harmful;N: Dangerous for the environment;T: Toxic;F: Flammable; |
| 风险声明 (欧洲) | R22 |
| 安全声明 (欧洲) | S36/37-S46-S60-S61-S45-S16-S7 |
| 危险品运输编码 | UN3082 9/PG 3 |
| RTECS号 | XZ4620000 |
| 海关编码 | 2934999025 |
是否危险品
危险性
危险类别码
危险等级
触发危险方式
安全技术说明书
环境影响程度
包装与储运
相关供应商

搜索








