环嗪酮
Hexazinone 是三嗪家族的非选择性除草剂 (herbicide)。Hexazinone 与光系统 II 电子传递链的 D-1 醌蛋白结合,抑制光合作用。
产品名称
-
中文名环嗪酮
-
英文名Hexazinone
-
中文别名3-环己基-6-二甲氨基-1-甲基-1,3,5-三嗪-2,4(1H,3H)二酮 | 3-环己烷-6-(二甲基氨基)-1-甲基-1,3,5-三氮苯-2,4-(1H,3H)-二酮 | 威尔柏 | 林草净,威尔柏,3-环己基-6-二甲氨基-1-甲基-1,3,5-三嗪-2,4-二酮 | 3-环己基-6-二甲氨基-1-甲基-1,3,5-三嗪-2,4-二酮 | 林草净
-
英文别名
Velpar 3-Cyclohexyl-6-(dimethylamino)-1-methyl-1,3,5-triazine-2,4(1H,3H)-dione DPX A 3674 Velpar L MFCD00055526 Gridball 3-cyclohexyl-6-(dimethylamino)-1-methyl-1,3,5-triazine-2,4-dione EINECS 257-074-4 1-methyl-3-cyclohexyl-6-dimethylamino-1,3,5-triazin-2,4-dione Velpar weed killer Brush Killer Caswell No. 271AA 1,3,5-Triazine-2,4(1H,3H)-dione, 3-cyclohexyl-6-(dimethylamino)-1-methyl- HEXAZINONE 3-cyclohexyl-6-dimethylamino-1-methyl-1,3,5-triazine-2,4(1H,3H)-dione -
常用名环嗪酮
-
C A S号51235-04-2
物理性质
-
密度1.3±0.1 g/cm3
-
沸点332.8±25.0 °C at 760 mmHg
-
熔点97-100.5ºC
-
化学式C12H20N4O2
-
结构式
-
闪点155.1±23.2 °C
-
分子量252.313
-
精确质量252.158630
-
P S A60.13000
-
外观形状黄褐色,自由流动颗粒带有一种淡刺鼻的气味
-
储存条件
保持贮藏器密封、储存在阴凉、干燥的地方,确保工作间有良好的通风或排气装置
-
稳定性
-
水溶解性
-
形态白色结晶固体。
-
H L B值
-
粘度
-
PH值
作用/用途
Hexazinone 是三嗪家族的非选择性除草剂 (herbicide)。Hexazinone 与光系统 II 电子传递链的 D-1 醌蛋白结合,抑制光合作用。
制备方法
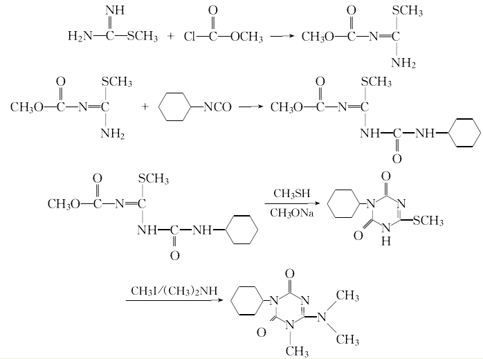
制备方法一
甲基物的合成 在石灰氮与水作用,生成氰胺。滴加氯甲酸乙酯,保持反应温度40℃左右,当pH值6~7时为反应终点,滴结于40℃搅拌1h,过滤,得N-氰基-N-甲基氨基甲酸乙酯。
胍的合成 上述甲基物(含量60%~80%)、二甲胺盐酸盐和水,于80~100℃反应6h,冷却,加生活方式液碱,用氯仿萃取,废水去处理工序,萃取液脱溶后得N-乙氧基羰基-N,N',N'-三甲基胍盐酸盐,进而与碱反应生成胍。
加成物的合成 在甲苯存在下,将异氰酸环己酯甲苯溶液(含量10%~20%)滴加到胍-甲苯溶液中,于50~80℃反应2h,得N-(N'-环己基氨基甲酰基-N,N-二甲脒基)-N-甲基氨基甲酸乙酯。
环嗪酮的合成 将上述加成物中加入20%左右的甲醇钠进行环合得环嗪酮。环合产物需水洗、分层、脱溶、结晶、分离、干燥等后处理,得到含量≥90%的产品。
制备方法二
安全提醒
MSDS
|
1.1 产品标识符
: 环嗪酮 产品名称 1.2 鉴别的其他方法 无数据资料 1.3 有关的确定了的物质或混合物的用途和建议不适合的用途 仅供科研用途,不作为药物、家庭备用药或其它用途。
模块2. 危险性概述 2.1 GHS分类 急性毒性, 经口 (类别4) 急性毒性, 吸入 (类别4) 眼刺激 (类别2A) 急性水生毒性 (类别1) 2.2 GHS 标记要素,包括预防性的陈述 象形图 警示词警告 危险申明 H302吞咽有害。 H319造成严重眼刺激。 H332吸入有害。 H400对水生生物毒性极大。 警告申明 预防 P261避免吸入粉尘/烟/气体/烟雾/蒸气/喷雾. P264操作后彻底清洁皮肤。 P270使用本产品时不要进食、饮水或吸烟。 P271只能在室外或通风良好之处使用。 P273避免释放到环境中。 P280穿戴防护手套/ 眼保护罩/ 面部保护罩。 措施 P301 + P312如果吞下去了: 如感觉不适,呼救解毒中心或看医生。 P304 + P340如吸入,将患者移至新鲜空气处并保持呼吸顺畅的姿势休息. P305 + P351 + P338如与眼睛接触,用水缓慢温和地冲洗几分钟。如戴隐形眼镜并可方便地取 出,取出隐形眼镜,然后继续冲洗. P312如感觉不适,呼救中毒控制中心或医生. P330漱口。 P337 + P313如仍觉眼睛刺激:求医/就诊。 如仍觉眼睛刺激:求医/就诊. P391收集溢出物。 处理 P501将内容物/ 容器处理到得到批准的废物处理厂。 2.3 其它危害物 - 无 模块3. 成分/组成信息 3.1 物 质 : C12H20N4O2 分子式 : 252.31 g/mol 分子量 组分浓度或浓度范围 Hexazinone - CAS 号51235-04-2 EC-编号257-074-4 索引编号613-132-00-4 模块4. 急救措施 4.1 必要的急救措施描述 一般的建议 请教医生。 出示此安全技术说明书给到现场的医生看。 吸入 如果吸入,请将患者移到新鲜空气处。 如果停止了呼吸,给于人工呼吸。 请教医生。 皮肤接触 用肥皂和大量的水冲洗。 请教医生。 眼睛接触 用大量水彻底冲洗至少15分钟并请教医生。 食入 切勿给失去知觉者从嘴里喂食任何东西。 用水漱口。 请教医生。 4.2 主要症状和影响,急性和迟发效应 4.3 及时的医疗处理和所需的特殊处理的说明和指示 无数据资料 模块5. 消防措施 5.1 灭火介质 灭火方法及灭火剂 用水雾,耐醇泡沫,干粉或二氧化碳灭火。 5.2 源于此物质或混合物的特别的危害 碳氧化物, 氮氧化物 碳氧化物, 氮氧化物 5.3 给消防员的建议 如必要的话,戴自给式呼吸器去救火。 5.4 进一步信息 无数据资料 模块6. 泄露应急处理 6.1 人员的预防,防护设备和紧急处理程序 使用个人防护设备。 防止粉尘的生成。 防止吸入蒸汽、气雾或气体。 保证充分的通风。 将人员撤离到安全区域。 避免吸入粉尘。 6.2 环境保护措施 在确保安全的前提下,采取措施防止进一步的泄漏或溢出。 不要让产物进入下水道。 防止排放到周围环境中。 6.3 抑制和清除溢出物的方法和材料 收集、处理泄漏物,不要产生灰尘。 扫掉和铲掉。 存放进适当的闭口容器中待处理。 6.4 参考其他部分 丢弃处理请参阅第13节。 模块7. 操作处置与储存 7.1 安全操作的注意事项 避免接触皮肤和眼睛。 防止粉尘和气溶胶生成。 在有粉尘生成的地方,提供合适的排风设备。 7.2 安全储存的条件,包括任何不兼容性 贮存在阴凉处。 容器保持紧闭,储存在干燥通风处。 7.3 特定用途 无数据资料 模块8. 接触控制和个体防护 8.1 容许浓度 最高容许浓度 没有已知的国家规定的暴露极限。 8.2 暴露控制 适当的技术控制 按照良好工业和安全规范操作。 休息前和工作结束时洗手。 个体防护设备 眼/面保护 带有防护边罩的安全眼镜符合 EN166要求请使用经官方标准如NIOSH (美国) 或 EN 166(欧盟) 检测与批准的设备防护眼部。 皮肤保护 戴手套取 手套在使用前必须受检查。 请使用合适的方法脱除手套(不要接触手套外部表面),避免任何皮肤部位接触此产品. 使用后请将被污染过的手套根据相关法律法规和有效的实验室规章程序谨慎处理. 请清洗并吹干双手 所选择的保护手套必须符合EU的89/686/EEC规定和从它衍生出来的EN 376标准。 身体保护 全套防化学试剂工作服, 防护设备的类型必须根据特定工作场所中的危险物的浓度和含量来选择。 呼吸系统防护 如须暴露于有害环境中,请使用P95型(美国)或P1型(欧盟 英国 143)防微粒呼吸器。如需更高级别防护,请使用OV/AG/P99型(美国)或ABEK-P2型 (欧盟 英国 143) 防毒罐。 呼吸器使用经过测试并通过政府标准如NIOSH(US)或CEN(EU)的呼吸器和零件。 模块9. 理化特性 9.1 基本的理化特性的信息 a) 外观与性状 形状: 固体 b) 气味 无数据资料 c) 气味阈值 无数据资料 d) pH值 无数据资料 e) 熔点/凝固点 无数据资料 f) 起始沸点和沸程 无数据资料 g) 闪点 无数据资料 h) 蒸发速率 无数据资料 i) 易燃性(固体,气体) 无数据资料 j) 高的/低的燃烧性或爆炸性限度 无数据资料 k) 蒸汽压 无数据资料 l) 蒸汽密度 无数据资料 m) 相对密度 无数据资料 n) 水溶性 无数据资料 o) n-辛醇/水分配系数 无数据资料 p) 自燃温度 无数据资料 q) 分解温度 无数据资料 r) 粘度 无数据资料 模块10. 稳定性和反应活性 10.1 反应性 无数据资料 10.2 稳定性 无数据资料 10.3 危险反应的可能性 无数据资料 10.4 应避免的条件 无数据资料 10.5 不兼容的材料 强氧化剂 10.6 危险的分解产物 其它分解产物 - 无数据资料 模块11. 毒理学资料 11.1 毒理学影响的信息 急性毒性 半数致死剂量 (LD50) 经口 - 大鼠 - 1,690 mg/kg 半数致死浓度(LC50) 吸入 - 大鼠 - 1 h - > 7,480 mg/m3 半数致死剂量 (LD50) 经皮 - 兔子 - > 5,278 mg/kg 皮肤刺激或腐蚀 眼睛刺激或腐蚀 眼睛 - 兔子 - 中度的眼睛刺激 呼吸道或皮肤过敏 无数据资料 生殖细胞突变性 无数据资料 致癌性 IARC: 此产品中没有大于或等于 0。1%含量的组分被 IARC鉴别为可能的或肯定的人类致癌物。 生殖毒性 致畸性 - 大鼠 - 经口 对新生儿的影响:生长统计数据(例如体重增长的减少)。 特异性靶器官系统毒性(一次接触) 无数据资料 特异性靶器官系统毒性(反复接触) 无数据资料 吸入危险 无数据资料 潜在的健康影响 吸入吸入有害。 可能引起呼吸道刺激。 摄入误吞对人体有害。 皮肤如果通过皮肤吸收可能是有害的。 可能引起皮肤刺激。 眼睛造成严重眼刺激。 附加说明 化学物质毒性作用登记: XY7850000 模块12. 生态学资料 12.1 生态毒性 对鱼类的毒性半数致死浓度(LC50) - Oncorhynchus mykiss (红鳟) - 872 mg/l - 96.0 h 对水蚤和其他水生无脊半致死有效浓度(EC50) - Daphnia magna (大型蚤) - 85 mg/l - 48 h 椎动物的毒性 12.2 持久存留性和降解性 无数据资料 12.3 潜在的生物蓄积性 无数据资料 12.4 土壤中的迁移性 无数据资料 12.5 PBT 和 vPvB的结果评价 无数据资料 12.6 其它不利的影响 对水生生物毒性极大。 模块13. 废弃处置 13.1 废物处理方法 产品 将剩余的和未回收的溶液交给处理公司。 与易燃溶剂相溶或者相混合,在备有燃烧后处理和洗刷作用的化学焚化炉中燃烧 受污染的容器和包装 作为未用过的产品弃置。 模块14. 运输信息 14.1 联合国危险货物编号 欧洲陆运危规: 3077国际海运危规: 3077国际空运危规: 3077 14.2 联合国(UN)规定的名称 欧洲陆运危规: ENVIRONMENTALLY HAZARDOUS SUBSTANCE, SOLID, N.O.S. (Hexazinone) 国际海运危规: ENVIRONMENTALLY HAZARDOUS SUBSTANCE, SOLID, N.O.S. (Hexazinone) 国际空运危规: Environmentally hazardous substance, solid, n.o.s. (Hexazinone) 14.3 运输危险类别 欧洲陆运危规: 9国际海运危规: 9国际空运危规: 9 14.4 包裹组 欧洲陆运危规: III国际海运危规: III国际空运危规: III 14.5 环境危险 欧洲陆运危规: 是国际海运危规 海运污染物: 是国际空运危规: 是 14.6 对使用者的特别提醒 进一步信息 危险品独立包装,液体5升以上或固体5公斤以上,每个独立包装外和独立内包装合并后的外包装上都必须有EHS 标识 (根据欧洲 ADR 法规 2.2.9.1.10, IMDG 法规 2.10.3), 模块 15 - 法规信息 N/A 模块16 - 其他信息 N/A |
原料简介
应用范围
毒性和生态
安全信息
| 符号 |
GHS02, GHS06, GHS08 |
|---|---|
| 信号词 | Danger |
| 危害声明 | H225-H301-H311-H331-H370 |
| 警示性声明 | P210-P260-P280-P301 + P310-P311 |
| 个人防护装备 | Eyeshields;Faceshields;full-face respirator (US);Gloves;multi-purpose combination respirator cartridge (US) |
| 危害码 (欧洲) | Xn,N |
| 风险声明 (欧洲) | R22 |
| 安全声明 (欧洲) | S60-S61 |
| 危险品运输编码 | UN3077 9/PG 3 |
| RTECS号 | XY7850000 |
| 海关编码 | 2933699014 |
是否危险品
危险性
危险类别码
危险等级
触发危险方式
安全技术说明书
环境影响程度
包装与储运
相关供应商

搜索






