三唑酮
三唑酮是一种三唑类杀菌剂,用于控制谷物、水果和蔬菜作物、草坪、灌木和树木上的白粉病、锈病和其他真菌害虫。三唑酮抑制羊角甾醇14α-脱甲基酶,干扰真菌麦角甾醇生物合成途径中的氧化脱甲基反应,并阻断赤霉素的生物合成。
产品名称
-
中文名三唑酮
-
英文名Triadimefon
-
中文别名粉锈宁 | 1-(4-氯苯氧基)-3,3-二甲基-1-(1H-1,2,4-三唑-1-基)-α-丁酮 | 1-(4-氯苯氧基)-1-(1H-1,2,4-三唑-1-基)-3,3-二甲基丁-2-酮 | 百理通 | 阿米拉:粉锈宁 | 百利通
-
英文别名
2-Butanone, 1- (4-chlorophenoxy)-3,3-dimethyl-1-(1H-1,2,4-triazol-1-yl)- Triadimefone UNII:1HW039CJF0 Triadimeform MILTEK MFCD00055506 1-(4-Chlorphenoxy)-3,3-dimethyl-1-(1H-1,2,4-triazol-1-yl)butan-2-on 2-Butanone, 1-(4-chlorophenoxy)-3,3-dimethyl-1-(1H-1,2,4-triazol-1-yl)- ACIZOL BAY 6681F 1-(4-chlorophenoxy)-3,3-dimethyl-1-(1H-1,2,4-triazol-1-yl)butan-2-one 1-(4-chlorophenoxy)-3,3-dimethyl-1-(1,2,4-triazol-1-yl)butan-2-one BAY 6681 F BAY-MEB-6447 Bay MEB 6447 Fenxiunin SAMETON ROFON Azocene 1-(4-Chlorophenoxy)-3,3-dimethyl-1-(1H-1,2,4-triazol-1-yl)-2-butanone OTRIA EINECS 256-103-8 (RS)-1-(4-chlorophenoxy)-3,3-dimethyl-1-(1H-1,2,4-triazol-1-yl)butan-2-one NUREX DAYTON Triadimefon Amiral TYPHON rac-(1R)-1-(4-chlorophenoxy)-3,3-dimethyl-1-(1H-1,2,4-triazol-1-yl)butan-2-one -
常用名三唑酮
-
C A S号43121-43-3
物理性质
-
密度1.2±0.1 g/cm3
-
沸点441.9±55.0 °C at 760 mmHg
-
熔点82°C
-
化学式C14H16ClN3O2
-
结构式
-
闪点221.0±31.5 °C
-
分子量293.749
-
精确质量293.093109
-
P S A57.01000
-
外观形状白色粉末
-
储存条件
密封、阴凉、干燥保存
内衬塑料袋,外用木桶或铁桶包装。贮存于阴凉、干燥。通风处。防晒、防潮。按有毒化学品规定贮运。
-
稳定性
-
水溶解性
-
形态白色结晶体,有特殊气味。
-
H L B值
-
粘度
-
PH值
作用/用途
三唑酮是一种三唑类杀菌剂,用于控制谷物、水果和蔬菜作物、草坪、灌木和树木上的白粉病、锈病和其他真菌害虫。三唑酮抑制羊角甾醇14α-脱甲基酶,干扰真菌麦角甾醇生物合成途径中的氧化脱甲基反应,并阻断赤霉素的生物合成。
制备方法
1.将氨气通入甲酸中制得甲酸铵,再与水合肼进行反应得1,2,4-三唑。采用相转移催化法反应,由α,α-二氯频哪酮、对氯苯酚和1,2,4-三唑一步合成,经提纯处理得到三唑酮。
2.1,2,4-三唑的制备将氨气通入甲酸中制得甲酸铵,再与水合肼进行反应得1,2,4-三三唑。
3.一氯频哪酮的制备异戊醇在活性氧化铝催化下脱水、转位生成异戊烯。2-甲基-1-丁烯和2-甲基-2-丁烯与氯化氢加成生成氯代特戊烷。再在酸性溶液中与甲醛反应生成频哪酮,在溶剂存在下通氯得一氯频哪酮。
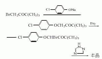
4.三唑酮的合成一氯频哪酮与对氯苯酚在碳酸钾存在下,在甲苯溶剂中制得1-(4-氯代苯氧基)频哪酮,然后用氯化硫酰氯化制得1-(4-氯代苯氧基)-1-氯代频哪酮。再与1,2,4-三唑合成三唑酮,收率88%。反应也可在丙酮溶剂中,以碘化钠为催化剂,无水碳酸钾为缚酸剂合成醚酮,再换四氯化碳为溶剂与氯化硫酰反应得到定量收率的α-氯代醚酮,然后重新在丙酮溶剂中与1,2,4-三唑反应合成三唑酮,收率87%。
5.在无水碳酸钠存在下、四氯化碳溶剂中,于35℃将1,2,4-三唑通氯氯化,得到1-氯代-1,2,4-三唑,并以此作为氯原子给予体与酮醚反应,使酮醚烷基α位上发生取代反应,生成α氯代酮醚。此反应必须在偶氮二异丁腈等引发剂存在下方能进行。同时,由氯代三唑产生的三唑从反应溶剂中析出,由于反应生成的三唑本身也是缚酸剂,在反应继续进行过程中有三唑酮生成。在补加三唑或缚酸剂之后,α-氯代酮醚全部反应。
安全提醒
MSDS
|
模块1. 化学品 1.1 产品标识符 : 三唑酮 产品名称 1.2 鉴别的其他方法 无数据资料
1.3 有关的确定了的物质或混合物的用途和建议不适合的用途
仅用于研发。不作为药品、家庭或其它用途。 模块2. 危险性概述 2.1 GHS-分类 急性毒性, 经口 (类别 4) 急性毒性, 吸入 (类别 2) 皮肤过敏 (类别 1) 急性水生毒性 (类别 1) 2.2 GHS 标记要素,包括预防性的陈述 象形图 警示词危险 危险申明 H302吞咽有害。 H317可能导致皮肤过敏反应。 H330吸入致命。 H400对水生生物毒性极大。 警告申明 预防措施 P260不要吸入粉尘/ 烟/ 气体/ 烟雾/ 蒸汽/ 喷雾。 P264操作后彻底清洁皮肤。 P270使用本产品时不要进食、饮水或吸烟。 P271只能在室外或通风良好之处使用。 P272禁止将污染的工作服带出作业场所。 P273避免释放到环境中。 P280戴防护手套。 P284戴呼吸防护装置。 事故响应 P301 + P312如果吞咽并觉不适: 立即呼叫解毒中心或就医。 P302 + P352如果皮肤接触:用大量肥皂和水清洗。 P304 + P340如吸入: 将患者移到新鲜空气处休息,并保持呼吸舒畅的姿势。 P310立即呼叫中毒控制中心或医生. P320具体紧急处置(见本标签上提供的急救指导)。 P330漱口。 P333 + P313如出现皮肤刺激或皮疹:求医/就诊。 P363沾污的衣服清洗后方可再用。 P391收集溢出物。 安全储存 P403 + P233存放于通风良的地方。 保持容器密闭。 P405存放处须加锁。 废弃处置 P501将内容物/ 容器处理到得到批准的废物处理厂。 2.3 其它危害物 - 无 模块3. 成分/组成信息 3.1 物 质 : C14H16ClN3O2 分子式 : 293.75 g/mol 分子量 组分浓度或浓度范围 Triadimefon - 化学文摘登记号(CAS43121-43-3 No.)256-103-8 EC-编号606-037-00-4 索引编号 模块4. 急救措施 4.1 必要的急救措施描述 一般的建议 请教医生。 向到现场的医生出示此安全技术说明书。 吸入 如果吸入,请将患者移到新鲜空气处。 如呼吸停止,进行人工呼吸。 请教医生。 皮肤接触 用肥皂和大量的水冲洗。 立即将患者送往医院。 请教医生。 眼睛接触 用水冲洗眼睛作为预防措施。 食入 切勿给失去知觉者通过口喂任何东西。 用水漱口。 请教医生。 4.2 主要症状和影响,急性和迟发效应 据我们所知,此化学,物理和毒性性质尚未经完整的研究。 4.3 及时的医疗处理和所需的特殊处理的说明和指示 无数据资料 模块5. 消防措施 5.1 灭火介质 灭火方法及灭火剂 用水雾,抗乙醇泡沫,干粉或二氧化碳灭火。 5.2 源于此物质或混合物的特别的危害 碳氧化物, 氮氧化物, 氯化氢气体 碳氧化物, 氮氧化物, 氯化氢气体 5.3 给消防员的建议 如必要的话,戴自给式呼吸器去救火。 5.4 进一步信息 无数据资料 模块6. 泄露应急处理 6.1 作业人员防护措施、防护装备和应急处置程序 戴呼吸罩。 避免粉尘生成。 避免吸入蒸气、烟雾或气体。 保证充分的通风。 人员疏散到安全区域。 避免吸入粉尘。 6.2 环境保护措施 如能确保安全,可采取措施防止进一步的泄漏或溢出。 不要让产品进入下水道。 一定要避免排放到周围环境中。 6.3 泄漏化学品的收容、清除方法及所使用的处置材料 收集和处置时不要产生粉尘。 扫掉和铲掉。 放入合适的封闭的容器中待处理。 6.4 参考其他部分 丢弃处理请参阅第13节。 模块7. 操作处置与储存 7.1 安全操作的注意事项 避免接触皮肤和眼睛。 避免形成粉尘和气溶胶。 在有粉尘生成的地方,提供合适的排风设备。 7.2 安全储存的条件,包括任何不兼容性 贮存在阴凉处。 使容器保持密闭,储存在干燥通风处。 7.3 特定用途 无数据资料 模块8. 接触控制和个体防护 8.1 容许浓度 最高容许浓度 没有已知的国家规定的暴露极限。 8.2 暴露控制 适当的技术控制 避免与皮肤、眼睛和衣服接触。 休息前和操作本品后立即洗手。 个体防护设备 眼/面保护 面罩與安全眼鏡请使用经官方标准如NIOSH (美国) 或 EN 166(欧盟) 检测与批准的设备防护眼部。 皮肤保护 戴手套取 手套在使用前必须受检查。 请使用合适的方法脱除手套(不要接触手套外部表面),避免任何皮肤部位接触此产品. 使用后请将被污染过的手套根据相关法律法规和有效的实验室规章程序谨慎处理. 请清洗并吹干双手 所选择的保护手套必须符合EU的89/686/EEC规定和从它衍生出来的EN 376标准。 身体保护 全套防化学试剂工作服, 防护设备的类型必须根据特定工作场所中的危险物的浓度和数量来选择。 呼吸系统防护 如危险性评测显示需要使用空气净化的防毒面具,请使用全面罩式多功能微粒防毒面具N100型(US )或P3型(EN 143)防毒面具筒作为工程控制的候补。如果防毒面具是保护的唯一方式,则使用全面罩式送风防毒 面具。 呼吸器使用经过测试并通过政府标准如NIOSH(US)或CEN(EU)的呼吸器和零件。 模块9. 理化特性 9.1 基本的理化特性的信息 a) 外观与性状 形状: 固体 颜色: 浅褐色 b) 气味 无数据资料 c) 气味阈值 无数据资料 d) pH值 无数据资料 e) 熔点/凝固点 无数据资料 f) 沸点、初沸点和沸程 无数据资料 g) 闪点 无数据资料 h) 蒸发速率 无数据资料 i) 易燃性(固体,气体) 无数据资料 j) 高的/低的燃烧性或爆炸性限度 无数据资料 k) 蒸气压 无数据资料 l) 蒸汽密度 无数据资料 m) 密度/相对密度 1.283 g/cm3 在 21.5 °C n) 水溶性 不溶 o) n-辛醇/水分配系数 辛醇--水的分配系数的对数值: 3.1 p) 自燃温度 无数据资料 q) 分解温度 无数据资料 r) 粘度 无数据资料 模块10. 稳定性和反应活性 10.1 反应性 无数据资料 10.2 稳定性 无数据资料 10.3 危险反应 无数据资料 10.4 应避免的条件 无数据资料 10.5 不相容的物质 强氧化剂 10.6 危险的分解产物 其它分解产物 - 无数据资料 模块11. 毒理学资料 11.1 毒理学影响的信息 急性毒性 半数致死剂量 (LD50) 经口 - 大鼠 - 363 mg/kg 半数致死剂量 (LD50) 经口 - 大鼠 - 750 - 1,200 mg/kg 半数致死浓度(LC50) 吸入 - 大鼠 - 4 h - > 480 mg/m3 半数致死剂量 (LD50) 经皮 - 大鼠 - > 5,000 mg/kg 皮肤刺激或腐蚀 皮肤 - 兔子 - 无皮肤刺激 眼睛刺激或腐蚀 眼睛 - 兔子 - 无眼睛刺激 呼吸道或皮肤过敏 可能引起皮肤过敏性反应。 生殖细胞致突变性 细胞突变性-体内试验 - 大鼠 - 腹膜内的 细胞发生分析 细胞突变性-体内试验 - 小鼠 - 经口 其他突变测试系统 细胞突变性-体内试验 - 大鼠 - 腹膜内的 微核测试 致癌性 IARC: 此产品中没有大于或等于 0。1%含量的组分被 IARC鉴别为可能的或肯定的人类致癌物。 生殖毒性 生殖毒性 - 大鼠 - 经口 对新生儿的影响:行为的。 特异性靶器官系统毒性(一次接触) 无数据资料 特异性靶器官系统毒性(反复接触) 无数据资料 吸入危险 无数据资料 潜在的健康影响 吸入吸入可能致死。 可能引起呼吸道刺激。 摄入误吞对人体有害。 皮肤通过皮肤吸收可能有害。 可能引起皮肤刺激。 眼睛可能引起眼睛刺激。 接触后的征兆和症状 据我们所知,此化学,物理和毒性性质尚未经完整的研究。 附加说明 化学物质毒性作用登记: EL7100000 模块12. 生态学资料 12.1 生态毒性 对鱼类的毒性半数致死浓度(LC50) - 蓝鳃太阳鱼 - 11 mg/l - 96.0 h 对水蚤和其他水生无脊半数效应浓度(EC50) - 大型蚤 (水蚤) - 1.2 - 2.1 mg/l - 48 h 椎动物的毒性 对藻类的毒性半数效应浓度(EC50) - 近具刺链带藻 (绿藻) - 0.7 - 1.7 mg/l - 96 h 12.2 持久性和降解性 无数据资料 12.3 潜在的生物累积性 无数据资料 12.4 土壤中的迁移性 无数据资料 12.5 PBT 和 vPvB的结果评价 无数据资料 12.6 其它不良影响 对水生生物毒性极大。 模块13. 废弃处置 13.1 废物处理方法 产品 将剩余的和不可回收的溶液交给有许可证的公司处理。 与易燃溶剂相溶或者相混合,在备有燃烧后处理和洗刷作用的化学焚化炉中燃烧 受污染的容器和包装 按未用产品处置。 模块14. 运输信息 14.1 联合国危险货物编号 欧洲陆运危规: 3077国际海运危规: 3077国际空运危规: 3077 14.2 联合国运输名称 欧洲陆运危规: ENVIRONMENTALLY HAZARDOUS SUBSTANCE, SOLID, N.O.S. (Triadimefon) 国际海运危规: ENVIRONMENTALLY HAZARDOUS SUBSTANCE, SOLID, N.O.S. (Triadimefon) 国际空运危规: Environmentally hazardous substance, solid, n.o.s. (Triadimefon) 14.3 运输危险类别 欧洲陆运危规: 9国际海运危规: 9国际空运危规: 9 14.4 包裹组 欧洲陆运危规: III国际海运危规: III国际空运危规: III 14.5 环境危险 欧洲陆运危规: 是国际海运危规国际空运危规: 是 海洋污染物(是/否): 是 14.6 对使用者的特别提醒 进一步信息 危险品独立包装,液体5升以上或固体5公斤以上,每个独立包装外和独立内包装合并后的外包装上都必须有EHS 标识 (根据欧洲 ADR 法规 2.2.9.1.10, IMDG 法规 2.10.3), 模块 15 - 法规信息 N/A 模块16 - 其他信息 N/A |
原料简介
应用范围
毒性和生态
安全信息
| 符号 |
GHS07, GHS09 |
|---|---|
| 信号词 | Warning |
| 危害声明 | H302-H317-H410 |
| 警示性声明 | P280-P301 + P312 + P330 |
| 个人防护装备 | dust mask type N95 (US);Eyeshields;Faceshields;Gloves |
| 危害码 (欧洲) | Xn,N,T,F |
| 风险声明 (欧洲) | R22 |
| 安全声明 (欧洲) | 24-37-61-45-36/37 |
| 危险品运输编码 | 2588 |
| WGK德国 | 3 |
| RTECS号 | EL7100000 |
| 包装等级 | III |
| 危险类别 | 6.1(b) |
| 海关编码 | 2933990014 |
是否危险品
危险性
危险类别码
危险等级
触发危险方式
安全技术说明书
环境影响程度
包装与储运
相关供应商

搜索







