氯氰菊酯
用于防治棉花、水稻、玉米、大豆等农作物及果树、蔬菜的害虫
产品名称
-
中文名氯氰菊酯
-
英文名Cypermethrin
-
中文别名(RS)-alpha-氰基-3-苯氧基苄基 (SR)-3-(2,2-二氯乙烯基)-2,2-二甲基环丙烷羧酸酯 | 安绿宝 | 赛波凯 | α-氰基-(3-苯氧苄基)(1RS)-顺,反式-2,2-二甲基-3- (-2,2-二氯乙烯基)环丙烷羧酸酯 | 腈二氯苯醚菊酯 | 兴棉宝 | 灭百可
-
英文别名
Cyano(3-phenoxyphenyl)methyl 3-(2,2-dichlorovinyl)-2,2-dimethylcyclopropanecarboxylate 3-(2,2-Dichloroethenyl)-2,2-dimethylcyclopropanecarboxylic acid cyano(3-phenoxyphenyl)methyl ester Cnn52 Cymperator UNII:1TR49121NP Alphamethrine (RS)-α-Cyano-3-phenoxybenzyl (1RS)-cis,trans-3-(2,2-dichlorovinyl)-2,2-dimethylcyclopropanecarboxylate (RS)-α-cyano-3-phenoxybenzyl (1RS,3RS (RS)-α-cyano-3-phenoxybenzyl (1RS)-cis-trans-3-(2,2-dichlorovinyl)-2,2-dimethylcyclopropanecarboxylate MFCD00055328 Cyclopropanecarboxylic acid, 3-(2,2-dichloroethenyl)-2,2-dimethyl-, cyano(3-phenoxyphenyl)methyl ester Kefil Super Cyclopropanecarboxylic acid, 3-(2,2-dichloroethenyl)-2,2-dimethyl-, cyano(3-phenoxyphenyl)methyl ester, (±)- Cypermethrin EINECS 257-842-9 cypermethrin [ANSI] 1RS,3SR)-3-(2,2-dichlorovinyl)-2,2-dimethylcyclopropanecarboxylate Cyano(3-phenoxyphenyl)methyl 3-(2,2-dichloroethenyl)-2,2-dimethylcyclopropanecarboxylate (Ξ)-cyano(3-phenoxyphenyl)methyl (1Ξ,3Ξ)-3-(2,2-dichloroethenyl)-2,2-dimethylcyclopropane-1-carboxylate -
常用名氯氰菊酯
-
C A S号52315-07-8
物理性质
-
密度1.3±0.1 g/cm3
-
沸点511.3±50.0 °C at 760 mmHg
-
熔点60-80°C
-
化学式C22H19Cl2NO3
-
结构式
-
闪点263.0±30.1 °C
-
分子量416.297
-
精确质量415.074188
-
P S A59.32000
-
外观形状淡黄色棕色粘性半固体块
-
储存条件
保持贮藏器密封、储存在阴凉、干燥的地方,确保工作间有良好的通风或排气装置
-
稳定性
-
水溶解性
-
形态淡黄色至棕色黏稠液体或半固体。
-
H L B值
-
粘度
-
PH值
作用/用途
用于防治棉花、水稻、玉米、大豆等农作物及果树、蔬菜的害虫
制备方法
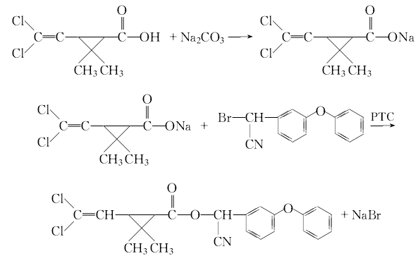
制备方法一
二氯菊酰氯、醛和氰化钠在相转移催化剂存在下反应。操作方法:分别将3-苯氧基苯甲醛3.4g (含量87.40%),二氯菊酰氯3.0g(含量95.8%)和适量溶剂加入到反应瓶中,在剧烈搅拌下,保持温度在20℃以下,滴加由氰化钠0.85g (0.0163mol)、碳酸钠0.27g和相转移催化剂(苄基三乙基氯化铵或间苯氧基苄基三乙基氯化铵)少许,溶解于6.5mL水中的盐溶液。滴毕升温至45~50℃,继续搅拌反应5h。分离水相并用少量甲苯萃取1次,合并有机相,用水洗至中性为止,脱溶后得淡黄色氯氰菊酯,收率93%。
关于氯氰菊酯差向异构化报道,见文献[5]。
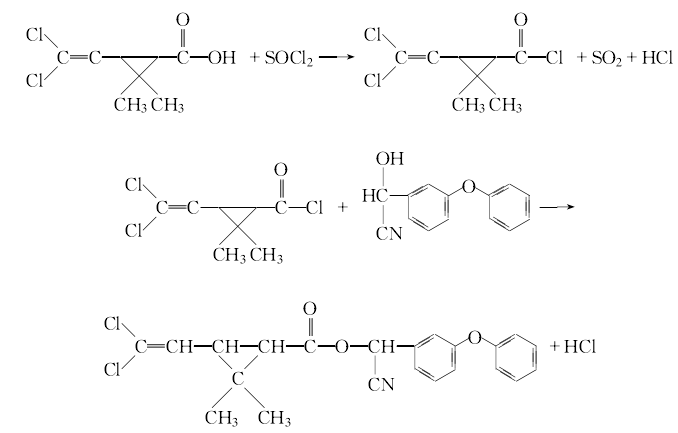
制备方法二
二氯菊酰氯与α-氰基间苯氧基苯甲醇反应制得氯氰菊酯。
制备方法三
二氯菊酰氯与相应的磺酸盐反应制得氯氰菊酯。
制备方法四
二氯菊酸钠与相应的α-卤化氰化合物反应制得氯氰菊酯。
安全提醒
MSDS
|
||||||||||||||||||||||||||||||||||||||||||||||||||||||||||||||||||||||||||||||||||||||||||||||||||||||||||||||||||||||||||||||||||||||||||||||||||||||||||||||||||||||||||||||||||||||||||||||||||||||||||||||||||||||||||||||||||||||||||||||||||||||||||||||||
原料简介
应用范围
毒性和生态
安全信息
| 符号 |
GHS06, GHS08, GHS09 |
|---|---|
| 信号词 | Danger |
| 危害声明 | H301-H315-H317-H332-H335-H373-H410 |
| 警示性声明 | Missing Phrase - N15.00950417-P260-P280 |
| 个人防护装备 | Eyeshields;Faceshields;full-face respirator (US);Gloves;multi-purpose combination respirator cartridge (US);type ABEK (EN14387) respirator filter |
| 危害码 (欧洲) | Xn;N |
| 风险声明 (欧洲) | R22;R37/38;R43;R50/53 |
| 安全声明 (欧洲) | 24-36/37/39-60-61-2-36-26-16 |
| 危险品运输编码 | UN 2810 6.1/PG 3 |
| WGK德国 | 3 |
| RTECS号 | GZ1250000 |
| 包装等级 | III |
| 危险类别 | 6.1(b) |
| 海关编码 | 2926909031 |
是否危险品
危险性
危险类别码
危险等级
触发危险方式
安全技术说明书
环境影响程度
包装与储运
相关供应商

搜索








