4-甲氧甲基苄基菊酸酯
【用途一】
属卫生杀虫剂,对蚊蝇等卫生害虫驱避性好,杀死能力强
属卫生杀虫剂,对蚊蝇等卫生害虫驱避性好,杀死能力强
【用途二】
拟除虫菊酯类杀虫剂。具有沸点低、蒸气压高的特点,用于防治卫生害虫,可作为加工蚊香用,也是制造电热驱蚊片的主要原料。也可用1%甲醚菊酯煤油制剂,每立方米空间含药剂10mL时,蚊子在8min内全部击倒,24h内死亡率达100%。
【用途三】
主要用于防治蚊蝇等害虫,常用来制作蚊香及电热驱蚊片,具有击倒速度快、驱避性能好、杀伤力强等特点。用于蚊香中一般含有效成分为0.35%,也可配制喷雾剂、气雾剂、熏蒸剂等。
拟除虫菊酯类杀虫剂。具有沸点低、蒸气压高的特点,用于防治卫生害虫,可作为加工蚊香用,也是制造电热驱蚊片的主要原料。也可用1%甲醚菊酯煤油制剂,每立方米空间含药剂10mL时,蚊子在8min内全部击倒,24h内死亡率达100%。
【用途三】
主要用于防治蚊蝇等害虫,常用来制作蚊香及电热驱蚊片,具有击倒速度快、驱避性能好、杀伤力强等特点。用于蚊香中一般含有效成分为0.35%,也可配制喷雾剂、气雾剂、熏蒸剂等。
产品名称
-
中文名甲醚菊酯
-
英文名methothrin
-
中文别名甲苄菊酯 | (1R,S)-顺、反式-2,2-二甲基-3- (2-甲基-1-丙烯基)环丙烷羧酸-4-(甲氧甲基)-苄基酯 | 4-甲氧甲苛苄基(R,S)顺、反-2,2-二甲基-3-异丁烯基环丙烷羧酸酯 | 2,2-二甲基-3-(2-甲基-1-丙烯基)-环丙烷羧酸 4-(甲氧甲基)-苄基酯 | 对甲氧甲菊酯 | 4-甲氧甲基苄基菊酸酯
-
英文别名
[4-(methoxymethyl)phenyl]methyl (1Ξ,3Ξ)-2,2-dimethyl-3-(2-methylprop-1-en-1-yl)cyclopropane-1-carboxylate methothryn [4-(methoxymethyl)phenyl]methyl 2,2-dimethyl-3-(2-methyl-1-propen-1-yl)cyclopropanecarboxylate 1RS,3SR)-2,2-dimethyl-3-(2-methylprop-1-enyl)cyclopropanecarboxylate 2,2-Dimethyl-3-(2-methylpropyl)cyclopropanecarboxylic acid p-(methoxymethyl)benzyl ester 4-(methoxymethyl)benzyl (1RS)-cis,trans-2,2-dimethyl-3-(2-methylprop-1-enyl)cyclopropanecarboxylate CHRYSANTHEMUMMONOCARBOXYLATE yl)benzylester 4-(methoxymethyl)benzyl (1RS,3RS 4-(methoxymethyl)benzyl (±)-cis-trans-chrysanthemate mbpyrethroid METHOTHRIN enzylester -
常用名4-甲氧甲基苄基菊酸酯
-
C A S号34388-29-9
物理性质
-
密度1.075 g/cm3
-
沸点369.639ºC at 760 mmHg
-
熔点N/A
-
化学式C19H26O3
-
结构式
1、 摩尔折射率:90.11
2、 摩尔体积(cm3/mol):281.3
3、 等张比容(90.2K):715.1
4、 表面张力(dyne/cm):41.7
5、 极化率(10-24cm3):35.72
-
闪点154.79ºC
-
分子量302.40800
-
精确质量302.18800
-
P S A35.53000
-
外观形状
-
储存条件
-
稳定性
-
水溶解性
-
形态
-
H L B值
-
粘度
-
PH值
作用/用途
【用途一】
属卫生杀虫剂,对蚊蝇等卫生害虫驱避性好,杀死能力强
属卫生杀虫剂,对蚊蝇等卫生害虫驱避性好,杀死能力强
【用途二】
拟除虫菊酯类杀虫剂。具有沸点低、蒸气压高的特点,用于防治卫生害虫,可作为加工蚊香用,也是制造电热驱蚊片的主要原料。也可用1%甲醚菊酯煤油制剂,每立方米空间含药剂10mL时,蚊子在8min内全部击倒,24h内死亡率达100%。
【用途三】
主要用于防治蚊蝇等害虫,常用来制作蚊香及电热驱蚊片,具有击倒速度快、驱避性能好、杀伤力强等特点。用于蚊香中一般含有效成分为0.35%,也可配制喷雾剂、气雾剂、熏蒸剂等。
拟除虫菊酯类杀虫剂。具有沸点低、蒸气压高的特点,用于防治卫生害虫,可作为加工蚊香用,也是制造电热驱蚊片的主要原料。也可用1%甲醚菊酯煤油制剂,每立方米空间含药剂10mL时,蚊子在8min内全部击倒,24h内死亡率达100%。
【用途三】
主要用于防治蚊蝇等害虫,常用来制作蚊香及电热驱蚊片,具有击倒速度快、驱避性能好、杀伤力强等特点。用于蚊香中一般含有效成分为0.35%,也可配制喷雾剂、气雾剂、熏蒸剂等。
制备方法
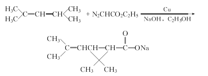
1 .菊酸的制备 以丙酮和乙炔为基本原料,合成2,5-二甲基-2,4-己二烯,再在铜催化剂下与重氮乙酸酯成环,生成菊酸。
2. 4-(甲氧甲基)苄氯的制备 以对二甲苯为原料,经侧链氯化后制得对氯甲基苄氯,经醚化反应制得。
3. 甲醚菊酯的合成 由菊酸钠与4-(甲氧甲基)苄氯在溶剂中反应制得。操作过程是:将10g菊酸乙酯,用氢氧化钠乙醇溶液皂化,脱去乙醇、水后,加极性非质子溶剂10mL、4-(甲氧甲基)苄氯9g、催化剂0.1g,于85~90℃反应2h。冷却,滤去氯化钠,减压蒸馏,得产品12.3g (82%),
安全提醒
MSDS
原料简介
应用范围
毒性和生态
安全信息
| 危害码 (欧洲) | T |
|---|---|
| 风险声明 (欧洲) | R20/21/22:Harmful by inhalation, in contact with skin and if swallowed . R36/37/38:Irritating to eyes, respiratory system and skin . |
| 安全声明 (欧洲) | S22-S36 |
| 危险品运输编码 | 3439 |
是否危险品
危险性
危险类别码
危险等级
触发危险方式
安全技术说明书
环境影响程度
包装与储运
相关供应商

搜索








