恶唑禾草灵
杂环氧基苯氧基脂肪类除草剂。用于防除大豆、甜菜、棉花、马铃薯、蔬菜等作物地一年生和多年生禾本科杂草。提高用药量可防除多年生杂草。以0.42~0.6g有效成分/100m2喷雾春小麦,可防除野燕麦等一年生禾本科杂草;以0.42~0.52g有效成分/100m2喷雾冬小麦,可防除看麦娘等一年生禾本科杂草。一般推荐用药量1.2~1.5g/100m2。
-
中文名噁唑禾草灵
-
英文名fenoxaprop-ethyl
-
中文别名恶唑禾草灵
-
英文别名
Ethyl 2-{4-[(6-chlorobenzoxazol-2-yl)oxy]phenoxy}propionate ethyl (RS)-2-[4-(6-chloro-1,3-benzoxazol-2-yloxy)phenoxy]propionate ethyl 2-[4-[(6-chloro-2-benzoxazolyl)oxy]phenoxy]propanoate EINECS 266-362-9 MFCD00078610 rac-ethyl (2R)-2-{4-[(6-chloro-1,3-benzoxazol-2-yl)oxy]phenoxy}propanoate ethyl (RS)-2-[4-(6-chlorobenzoxazol-2-yloxy)phenoxy]propionate Fenoxaprop-ethyl -
常用名恶唑禾草灵
-
C A S号66441-23-4
-
密度1.31g/cm3
-
沸点477.5ºC at 760mmHg
-
熔点84-85ºC
-
化学式C18H16ClNO5
-
结构式
1、 摩尔折射率:92.76
2、 摩尔体积(cm3/mol):275.9
3、 等张比容(90.2K):724.1
4、 表面张力(dyne/cm):47.3
5、 极化率(10-24cm3):36.77
-
闪点242.6ºC
-
分子量361.77600
-
精确质量361.07200
-
P S A70.79000
-
外观形状
-
储存条件
存放在密封容器内,并放在阴凉,干燥处。储存的地方必须远离氧化剂。
-
稳定性
-
水溶解性
-
形态白色固体。
-
H L B值
-
粘度
-
PH值
杂环氧基苯氧基脂肪类除草剂。用于防除大豆、甜菜、棉花、马铃薯、蔬菜等作物地一年生和多年生禾本科杂草。提高用药量可防除多年生杂草。以0.42~0.6g有效成分/100m2喷雾春小麦,可防除野燕麦等一年生禾本科杂草;以0.42~0.52g有效成分/100m2喷雾冬小麦,可防除看麦娘等一年生禾本科杂草。一般推荐用药量1.2~1.5g/100m2。
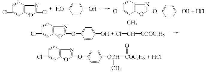
1. 2-(4-乙酰苯氧基)丙酸乙酯的制备 在4-羟基苯乙酮钾盐(25g)的二甲基甲酰胺(DMF)溶液中,经30min加入2-氯丙酸乙酯(27.3g),在氮气下,于85~90搅拌3h,过滤除去KCl,减压除DMF,将产物溶于乙酸乙酯,用碱和水提取,干燥,浓缩,得30g 2-(4-乙酰苯氧基)丙酸乙酯。
2. 2-(4-乙醚氧笨氧基)丙酸乙酷的制备于58ºC , 8 x 10'Pa, 30min内,将过乙酸(16%, 15.61g, 33.0mmol)滴加入与乙酸}50mL)呈平衡的2(4一乙醚基笨氧基)丙酸乙酷(5.01g, 21.0mmol)洛液中。在48-54℃和7x103~8 x 103Pa下,回流反应8h,冷却,减压除去乙酸,得5.34g 2-(4一乙醚氧笨氧基)丙酸乙酉旨。
3. 2-(4-羟基苯氧基)丙酸乙酯的制备在80℃下,用乙醇(40mL)和浓盐酸2滴,将2-(4-乙酰氧苯氧基)丙酸乙酯回流2h进行水解,减压浓缩反应物,得2-(4-羟基苯氧基)丙酸乙酯(3.8g)。
4. 唑禾草灵的合成将碳酸钾2g加入2-( 4-经基笨氧基)丙酸乙酷(2.0g > 9.8mmol)的乙睛(25mL)洛液中,回流1h。将反应物冷却,加入2,6一二}l笨并座}l .撇,10.2mnol),回流反应4h,浓缩至十。将乙睛(50mL)加入反应棍合物中。回流2h,热过滤,浓缩至25mL,冷却,得座禾草灵2.9g.
5.制备方法二
|
1.1 产品标识符
: 乙基噁唑禾草灵 产品名称 1.2 鉴别的其他方法 无数据资料 1.3 有关的确定了的物质或混合物的用途和建议不适合的用途 仅供科研用途,不作为药物、家庭备用药或其它用途。
模块2. 危险性概述 2.1 GHS分类 急性毒性, 经口 (类别5) 急性毒性, 吸入 (类别3) 急性毒性, 经皮 (类别5) 皮肤敏化作用 (类别1) 急性水生毒性 (类别1) 2.2 GHS 标记要素,包括预防性的陈述 象形图 警示词危险 危险申明 H303吞咽可能有害。 H313接触皮肤可能有害。 H317可能导致皮肤过敏反应。 H331吸入会中毒。 H400对水生生物毒性极大。 警告申明 预防 P261避免吸入粉尘/烟/气体/烟雾/蒸气/喷雾. P271只能在室外或通风良好之处使用。 P272禁止将受污染的工作服带出工作场地. P273避免释放到环境中。 P280戴防护手套。 措施 P302 + P352如与皮肤接触,用大量肥皂和水冲洗受感染部位. P304 + P340如吸入,将患者移至新鲜空气处并保持呼吸顺畅的姿势休息. P311呼救解毒中心或医生。 P321具体治疗(见本标签上提供的急救指导)。 P333 + P313如发生皮肤刺激或皮疹:求医/ 就诊。 P363沾染的衣服清洗后方可重新使用。 P391收集溢出物。 储存 P403 + P233存放于通风良的地方。 保持容器密闭。 P405存放处须加锁。 处理 P501将内容物/ 容器处理到得到批准的废物处理厂。 2.3 其它危害物 - 无 模块3. 成分/组成信息 3.1 物 质 : C18H16ClNO5 分子式 : 361.78 g/mol 分子量 组分浓度或浓度范围 Fenoxaprop-ethyl - CAS 号66441-23-4 EC-编号266-362-9 索引编号604-039-00-X 模块4. 急救措施 4.1 必要的急救措施描述 一般的建议 请教医生。 出示此安全技术说明书给到现场的医生看。 吸入 如果吸入,请将患者移到新鲜空气处。 如果停止了呼吸,给于人工呼吸。 请教医生。 皮肤接触 用肥皂和大量的水冲洗。 立即将患者送往医院。 请教医生。 眼睛接触 用水冲洗眼睛作为预防措施。 食入 切勿给失去知觉者从嘴里喂食任何东西。 用水漱口。 请教医生。 4.2 主要症状和影响,急性和迟发效应 4.3 及时的医疗处理和所需的特殊处理的说明和指示 无数据资料 模块5. 消防措施 5.1 灭火介质 灭火方法及灭火剂 用水雾,耐醇泡沫,干粉或二氧化碳灭火。 5.2 源于此物质或混合物的特别的危害 碳氧化物, 氮氧化物, 氯化氢气体 碳氧化物, 氮氧化物, 氯化氢气体 5.3 给消防员的建议 如必要的话,戴自给式呼吸器去救火。 5.4 进一步信息 无数据资料 模块6. 泄露应急处理 6.1 人员的预防,防护设备和紧急处理程序 戴呼吸罩。 防止粉尘的生成。 防止吸入蒸汽、气雾或气体。 保证充分的通风。 将人员撤离到安全区域。 避免吸入粉尘。 6.2 环境保护措施 在确保安全的前提下,采取措施防止进一步的泄漏或溢出。 不要让产物进入下水道。 防止排放到周围环境中。 6.3 抑制和清除溢出物的方法和材料 收集、处理泄漏物,不要产生灰尘。 扫掉和铲掉。 存放进适当的闭口容器中待处理。 6.4 参考其他部分 丢弃处理请参阅第13节。 模块7. 操作处置与储存 7.1 安全操作的注意事项 避免接触皮肤和眼睛。 防止粉尘和气溶胶生成。 在有粉尘生成的地方,提供合适的排风设备。 7.2 安全储存的条件,包括任何不兼容性 贮存在阴凉处。 容器保持紧闭,储存在干燥通风处。 7.3 特定用途 无数据资料 模块8. 接触控制和个体防护 8.1 容许浓度 最高容许浓度 没有已知的国家规定的暴露极限。 8.2 暴露控制 适当的技术控制 避免与皮肤、眼睛和衣服接触。 休息以前和操作过此产品之后立即洗手。 个体防护设备 眼/面保护 面罩與安全眼鏡请使用经官方标准如NIOSH (美国) 或 EN 166(欧盟) 检测与批准的设备防护眼部。 皮肤保护 戴手套取 手套在使用前必须受检查。 请使用合适的方法脱除手套(不要接触手套外部表面),避免任何皮肤部位接触此产品. 使用后请将被污染过的手套根据相关法律法规和有效的实验室规章程序谨慎处理. 请清洗并吹干双手 所选择的保护手套必须符合EU的89/686/EEC规定和从它衍生出来的EN 376标准。 身体保护 全套防化学试剂工作服, 防护设备的类型必须根据特定工作场所中的危险物的浓度和含量来选择。 呼吸系统防护 如危险性评测显示需要使用空气净化的防毒面具,请使用全面罩式多功能微粒防毒面具N99型(US) 或P2型(EN 143)防毒面具筒作为工程控制的候补。如果防毒面具是保护的唯一方式,则使用全面罩式送风防毒 面具。 呼吸器使用经过测试并通过政府标准如NIOSH(US)或CEN(EU)的呼吸器和零件。 模块9. 理化特性 9.1 基本的理化特性的信息 a) 外观与性状 形状: 固体 b) 气味 无数据资料 c) 气味阈值 无数据资料 d) pH值 无数据资料 e) 熔点/凝固点 无数据资料 f) 起始沸点和沸程 无数据资料 g) 闪点 无数据资料 h) 蒸发速率 无数据资料 i) 易燃性(固体,气体) 无数据资料 j) 高的/低的燃烧性或爆炸性限度 无数据资料 k) 蒸汽压 无数据资料 l) 蒸汽密度 14.49 m) 相对密度 无数据资料 n) 水溶性 不溶 o) n-辛醇/水分配系数 无数据资料 p) 自燃温度 无数据资料 q) 分解温度 无数据资料 r) 粘度 无数据资料 模块10. 稳定性和反应活性 10.1 反应性 无数据资料 10.2 稳定性 无数据资料 10.3 危险反应的可能性 无数据资料 10.4 应避免的条件 无数据资料 10.5 不兼容的材料 强氧化剂 10.6 危险的分解产物 其它分解产物 - 无数据资料 模块11. 毒理学资料 11.1 毒理学影响的信息 急性毒性 半数致死剂量 (LD50) 经口 - 大鼠 - 2,357 mg/kg 半数致死浓度(LC50) 吸入 - 大鼠 - > 510 mg/m3 半数致死浓度(LC50) 吸入 - 哺乳动物的 - 4 h - 511 mg/m3 半数致死剂量 (LD50) 经皮 - 兔子 - > 2,000 mg/kg 皮肤刺激或腐蚀 无数据资料 眼睛刺激或腐蚀 无数据资料 呼吸道或皮肤过敏 会引起过敏性皮肤反应。 生殖细胞突变性 无数据资料 致癌性 IARC: 此产品中没有大于或等于 0。1%含量的组分被 IARC鉴别为可能的或肯定的人类致癌物。 生殖毒性 无数据资料 特异性靶器官系统毒性(一次接触) 无数据资料 特异性靶器官系统毒性(反复接触) 无数据资料 吸入危险 无数据资料 潜在的健康影响 吸入吸入会中毒。 可能引起呼吸道刺激。 摄入如服入是有害的。 皮肤如果通过皮肤吸收可能是有害的。 可能引起皮肤刺激。 眼睛可能引起眼睛刺激。 附加说明 化学物质毒性作用登记: UA2454000 模块12. 生态学资料 12.1 生态毒性 对鱼类的毒性半数致死浓度(LC50) - Oncorhynchus mykiss (红鳟) - 0.46 mg/l - 96.0 h 对水蚤和其他水生无脊半致死有效浓度(EC50) - Daphnia magna (大型蚤) - 3.18 mg/l - 48 h 椎动物的毒性 12.2 持久存留性和降解性 无数据资料 12.3 潜在的生物蓄积性 无数据资料 12.4 土壤中的迁移性 无数据资料 12.5 PBT 和 vPvB的结果评价 无数据资料 12.6 其它不利的影响 对水生生物毒性极大。 模块13. 废弃处置 13.1 废物处理方法 产品 将剩余的和未回收的溶液交给处理公司。 与易燃溶剂相溶或者相混合,在备有燃烧后处理和洗刷作用的化学焚化炉中燃烧 受污染的容器和包装 作为未用过的产品弃置。 模块14. 运输信息 14.1 联合国危险货物编号 欧洲陆运危规: 3077国际海运危规: 3077国际空运危规: 3077 14.2 联合国(UN)规定的名称 欧洲陆运危规: ENVIRONMENTALLY HAZARDOUS SUBSTANCE, SOLID, N.O.S. (Fenoxaprop-ethyl) 国际海运危规: ENVIRONMENTALLY HAZARDOUS SUBSTANCE, SOLID, N.O.S. (Fenoxaprop-ethyl) 国际空运危规: Environmentally hazardous substance, solid, n.o.s. (Fenoxaprop-ethyl) 14.3 运输危险类别 欧洲陆运危规: 9国际海运危规: 9国际空运危规: 9 14.4 包裹组 欧洲陆运危规: III国际海运危规: III国际空运危规: III 14.5 环境危险 欧洲陆运危规: 是国际海运危规 海运污染物: 是国际空运危规: 是 14.6 对使用者的特别提醒 无数据资料 上述信息视为正确,但不包含所有的信息,仅作为指引使用。本文件中的信息是基于我们目前所知,就正 确的安全提示来说适用于本品。该信息不代表对此产品性质的保证。 参见发票或包装条的反面。 模块 15 - 法规信息 N/A 模块16 - 其他信息 N/A |
| 符号 |
GHS07, GHS09 |
|---|---|
| 信号词 | Warning |
| 危害声明 | H317-H410 |
| 警示性声明 | P273-P280-P501 |
| 个人防护装备 | dust mask type N95 (US);Eyeshields;Faceshields;Gloves |
| 危害码 (欧洲) | Xi,N |
| 风险声明 (欧洲) | R43;R50/53 |
| 安全声明 (欧洲) | S24;S37;S60;S61 |
| 危险品运输编码 | UN 3077 9/PG 3 |
| RTECS号 | UA2454000 |
| 海关编码 | 2934999023 |

搜索







