杀草隆
新型取代脲类除草剂。无论是在光照或暗中,对敏感植物的发芽均有较强的抑制作用,因此本品不属于光合作用的抑制剂。该品由植物的根部吸收,能显著地抑制根部及地下茎的伸长,从而达到控制地上部分的生长,故其作用是迟效的。对莎草科杂草具有特效,可安全地防除水稻、棉花、玉米、大豆等作物的异型落草、三棱草、牛毛草,效果良好。
-
中文名杀草隆
-
英文名dymron
-
中文别名N-(4-甲基苯基)N'-1(甲基-1-苯基乙基)-脲 | 莎扑隆 | 香草隆 | N-(4-甲基苯基)-N'-(1-甲基-1-苯基乙基)脲 | N'-(Α,Α-二甲基苄基)-N-(对甲苯基)脲
-
英文别名
DYMRON STANDARD dymrone k223 dymron SK 223 N-(4-methylphenyl)-N’-(1-methyl-1-phenylethyl)urea shouron dimuron DAIMURON 1-(α,α-dimethylbenzyl)-3-p-tolylurea 1-(1-methyl-1-phenylethyl)-3-p-tolylurea showrone DYMRON N-(4-methylphenyl)-N’-(2-phenylpropan-2-yl)urea -
常用名杀草隆
-
C A S号42609-52-9
-
密度1.108g/cm3
-
沸点394.4ºC at 760 mmHg
-
熔点N/A
-
化学式C17H20N2O
-
结构式
-
闪点134ºC
-
分子量268.35400
-
精确质量268.15800
-
P S A41.13000
-
外观形状白色针状晶体
-
储存条件
密封、在 0-6 ºC下保存
-
稳定性
-
水溶解性
-
形态白色针状结晶。
-
H L B值
-
粘度
-
PH值
新型取代脲类除草剂。无论是在光照或暗中,对敏感植物的发芽均有较强的抑制作用,因此本品不属于光合作用的抑制剂。该品由植物的根部吸收,能显著地抑制根部及地下茎的伸长,从而达到控制地上部分的生长,故其作用是迟效的。对莎草科杂草具有特效,可安全地防除水稻、棉花、玉米、大豆等作物的异型落草、三棱草、牛毛草,效果良好。
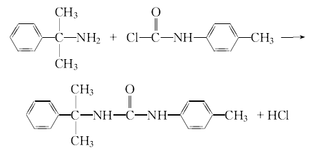
1.将36份对甲苯胺溶解于35份35%的盐酸和300份水中,搅拌下加入90%氰酸钠25.3份,在30℃反应1h,再于半小时内加入10%盐酸21份,反应10min,经过滤、水洗、干燥得到对甲苯基脲。将11.3份对甲苯基脲悬浮于80份乙腈、7.7份α,α-二甲基氯苄和24份α-甲基苯乙烯中,不断搅拌,于60℃反应6h,静置,析出结晶,过滤,洗涤,用甲醇重结晶得莎扑隆。较新的生产方法是使α,α-二甲基氯苄在非水有机溶剂中和金属氯化物催化剂存在下和氰酸钠反应,制得α,α-二甲基苄基异氰酸,再与对甲苯胺加成而得莎扑隆,含量大于95%。
2.对甲苯脲制备氰酸钠与对甲苯胺盐酸盐水溶液反应,控制反应温度30℃,氰酸钠稍过量,制得对甲苯脲。氰酸钠可用尿素与碳酸钠煅烧而成。
3.氯代异丙苯制备2-苯基丙烯在乙腈溶剂中与氯化氢加成,侧链引入氯原子,生成氯代异丙苯。
4.杀草隆的合成对甲苯脲与氯代异丙苯作用,合成杀草隆。加入对甲苯脲0.15mol,氯代异丙苯0.1mol,α-甲基苯乙烯48g及乙腈160g,于40℃搅拌反应6h,室温静置,分出结晶32g,收率80%。
5.α,α-二甲基苄基异氰酸酯法本法是将α,α-二甲基氯苄在非水有机溶剂和金属氯化物催化剂存在下,与氰酸钠反应得α,α-二甲基苄基异氰酸酯,过滤除去副产物氯化钠,再与对甲苯胺加成制得收率良好的杀草隆。如:在反应器中加入乙酸乙酯50mL,90%氰酸钠6.5g(90mmol),氯化锌(0.5mol),吡啶(1mmol),搅拌加热到50℃,然后再加入α,α-二甲基氯苄7.73g(50mmol)于50℃反应1h。制得α,α-二甲基苄基异氰酸酯。α,α-二甲基苄基异氰酸酯和对甲苯胺于甲苯或氯苯中加成,几乎得到定量收率的杀草隆。
6.酰氯法
| 海关编码 | 2924299037 |
|---|

搜索







