甲氧咪草烟
Imazamox是咪唑啉酮除草剂,抑制乳酸合成酶的生物合成,也能抑制植物生长,最终导致植物死亡。
产品名称
-
中文名甲氧咪草烟
-
英文名Imazamox
-
中文别名2-(4-异丙基-4-甲基-5氧代-2-咪唑啉-2-基)-5-(甲氧甲基)烟酸 | 金豆 | (RS)-2-(4-异丙基-4-甲基-5-氧-2-咪唑啉-2-基)-5-甲氧基甲基尼古丁酸 | (RS)-2-(4-异丙基-4-甲基-5-氧代-2-咪唑啉-2-基)-5-甲氧甲基吡啶-3-羧酸 | 2-(4-异丙基-4-甲基-5-氧-2-咪唑啉-2-基)-5-甲氧基甲基烟酸
-
英文别名
2-(4-Isopropyl-4-methyl-5-oxo-4,5-dihydro-1H-imidazol-2-yl)-5-(methoxymethyl)nicotinic acid 5-(methoxymethyl)-2-[4-methyl-4-(1-methylethyl)-5-oxo-4,5-dihydro-1H-imidazol-2-yl]pyridine-3-carboxylic acid 5-(methoxymethyl)-2-(4-methyl-5-oxo-4-propan-2-yl-1H-imidazol-2-yl)pyridine-3-carboxylic acid 2-(4,5-dihydro-4-methyl-4-isopropyl-5-oxo-1H-imidazol-2-yl)-5-methoxymethylpyridine-3-carboxylic acid 5-methoxymethyl-2-(4-isopropyl-4-methyl-5-oxo-2-imidazolin-2-yl)-nicotinic acid Raptor UNII:UG6793ON5F rac-5-(methoxymethyl)-2-[(4R)-4-methyl-5-oxo-4-(propan-2-yl)-4,5-dihydro-1H-imidazol-2-yl]pyridine-3-carboxylic acid (+-)-Imazamox 2-(4-Isopropyl-4-methyl-5-oxo-2-imidazolin-2-yl)-5-methoxymethylnicotinic Acid +-5-methoxymethyl-2-[4,5-dihydro-4-methyl-4-(1-methylethyl)-5-oxo-1H-imidazol-2-yl]-3-pyridinecarboxylic acid 2-[(RS)-4-isopropyl-4-methyl-5-oxo-2-imidazolin-2-yl]-5-methoxymethylnicotinic acid 2-[4,5-Dihydro-4-methyl-4-(1-methylethyl)-5-oxo-1H-imidazol-2-yl]-5-(methoxymethyl)-3-pyridinecarboxylic Acid MFCD03427427 3-Pyridinecarboxylic acid, 2-[4,5-dihydro-4-methyl-4-(1-methylethyl)-5-oxo-1H-imidazol-2-yl]-5-(methoxymethyl)- Imazamox Pulsar 5-(methoxymethyl)-2-[4-methyl-5-oxo-4-(propan-2-yl)-4,5-dihydro-1H-imidazol-2-yl]pyridine-3-carboxylic acid Raptor (herbicide) Imazamox [ISO] -
常用名甲氧咪草烟
-
C A S号114311-32-9
物理性质
-
密度1.3±0.1 g/cm3
-
沸点N/A
-
熔点166-167°C
-
化学式C15H19N3O4
-
结构式
1、摩尔折射率:79.47
2、摩尔体积(cm3/mol):231.4
3、等张比容(90.2K):604.1
4、表面张力(dyne/cm):46.4
5、介电常数:无可用的
6、极化率(10-24cm3):31.5
7、单一同位素质量:305.137556 Da
8、标称质量:305 Da
9、平均质量:305.3291 Da
-
闪点N/A
-
分子量305.329
-
精确质量305.137543
-
P S A100.88000
-
外观形状
-
储存条件
密封储存,储存于阴凉、干燥的库房。
-
稳定性
-
水溶解性
-
形态白色结晶
-
H L B值
-
粘度
-
PH值
作用/用途
Imazamox是咪唑啉酮除草剂,抑制乳酸合成酶的生物合成,也能抑制植物生长,最终导致植物死亡。
制备方法
制备方法一
以丙醛为起始原料,与甲醛缩合、闭环、卤化、甲氧基化等一系列反应制得甲氧咪草烟。
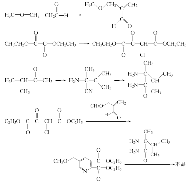
制备方法二
以甲氧基丙醛、草酸二乙酯、甲基异丙基酮为起始原料,经过下述一系列反应制得甲氧咪草烟。
安全提醒
MSDS
原料简介
应用范围
毒性和生态
安全信息
| 符号 |
GHS09 |
|---|---|
| 信号词 | Warning |
| 危害声明 | H410 |
| 警示性声明 | P273-P501 |
| 个人防护装备 | Eyeshields;Gloves |
| 危害码 (欧洲) | N |
| 风险声明 (欧洲) | R50/53 |
| 安全声明 (欧洲) | S60-S61 |
| 危险品运输编码 | UN3077 9/PG 3 |
是否危险品
危险性
危险类别码
危险等级
触发危险方式
安全技术说明书
环境影响程度
包装与储运
相关供应商

搜索







