氯唑磷
杀虫、杀线虫剂,有触杀、胃毒和内吸作用。用于玉米、棉花、水稻、甜菜、草皮和蔬菜上,防治长蝽象、线虫、水稻螟虫等。 既可作叶面喷洒,又可作土壤或种子处理, 每公顷使用剂量为0.5~2kg。不宜在马铃薯上使用,以防产生药害。
-
中文名氯唑磷
-
英文名isazofos
-
中文别名O-5-氯-1-异丙基-1H-1,2,4-三唑-3-基-O,O-二乙基硫代磷酸酯 | 异丙三唑磷 | O,O-二乙基-O-(5-氯代-1-异丙基-1,2,4三唑-3-基)硫代磷酸酯 | O,O-二乙基-O-(5-氯-1-四基乙基-1上,2,4-三唑-3-基)硫代磷酸酯 | 米乐尔
-
英文别名
Brace MFCD00078699 Miral 10 G ISAZOPHOS EINECS 255-863-8 O-[5-chloro-1-(propan-2-yl)-1H-1,2,4-triazol-3-yl] O,O-diethyl phosphorothioate Triumph O-[5-chloro-1-(1-methylethyl)-1H-1,2,4-triazol-3-yl] O,O-diethyl phosphorothioate (5-chloro-1-propan-2-yl-1,2,4-triazol-3-yl)oxy-diethoxy-sulfanylidene-λ<sup>5</sup>-phosphane O-5-chloro-1-isopropyl-1H-1,2,4-triazol-3-yl O,O-diethyl phosphorothioate Isazofos Miral -
常用名氯唑磷
-
C A S号42509-80-8
-
密度1.4g/cm3
-
沸点387.4ºC at 760 mmHg
-
熔点<25℃
-
化学式C9H17ClN3O3PS
-
结构式
-
闪点188.1ºC
-
分子量313.74100
-
精确质量313.04200
-
P S A100.30000
-
外观形状liquid
-
储存条件
密封、在 0-6 ºC下保存
-
稳定性
-
水溶解性
-
形态黄色液体.
-
H L B值
-
粘度
-
PH值
杀虫、杀线虫剂,有触杀、胃毒和内吸作用。用于玉米、棉花、水稻、甜菜、草皮和蔬菜上,防治长蝽象、线虫、水稻螟虫等。 既可作叶面喷洒,又可作土壤或种子处理, 每公顷使用剂量为0.5~2kg。不宜在马铃薯上使用,以防产生药害。
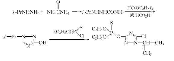
异氰酸酯法
氯羰基胩二氯的制备 四氨基甲酰氯与四氯化碳作用,脱去氯化氢,生成异氰酸甲酯,再在光照下通氯气,氯化温度35℃, 通氯量每小时15~18g,反应时间大于10h,氯化液常压蒸馏,收集115~118℃馏分,收率70%。
异丙基肼的制备,把溴代异丙烷滴加到85%水合肼中,滴加温度小于35℃,约2~3h滴加完毕,升温至55~60℃,反应3h。冷却,乙醚萃取,收率65%。经盐酸中和,浓缩、结晶得异丙肼盐酸盐。
异唑醇的制备 将异丙肼或异丙肼盐酸盐和溶剂降温至20℃以下,滴加等摩尔氯羰基胩二氯,温度20℃,时间20min,滴毕。于室温下搅拌1h,升温回流3h,冷却,过滤,滤液减压下浓缩,残留物重结晶得白色固体,m.p. 98~100℃, 收率45%。
氯唑磷的合成 把异唑醇、无水碳酸钾及溶剂升温回流2h, 冷却至室温,滴加等摩尔O,O-二乙基硫代磷酰氯,滴毕后升温回流3h, 搅冷、过滤、滤液减压脱溶,得黄色透明液体,n20D1.4868,收率>90%。
尿素法
异唑醇的制备将异丙肼或异丙肼盐酸盐和溶剂降温至20℃以下,滴加等摩尔氯羰基胩二氯,温度20℃,时间30min,滴毕。于室温下搅拌1h,升温回流3犺,冷却,过滤,滤液减压下浓缩熔点98~100℃,收率45%
尿素法
光气法
|
模块1. 化学品 1.1 产品标识符 : 氯唑磷 产品名称 1.2 鉴别的其他方法 无数据资料
1.3 有关的确定了的物质或混合物的用途和建议不适合的用途
仅用于研发。不作为药品、家庭或其它用途。 模块2. 危险性概述 2.1 GHS-分类 急性毒性, 经口 (类别 3) 急性毒性, 吸入 (类别 2) 急性毒性, 经皮 (类别 3) 皮肤过敏 (类别 1) 特异性靶器官系统毒性(反复接触), 吸入 (类别 2) 急性水生毒性 (类别 1) 慢性水生毒性 (类别 1) 2.2 GHS 标记要素,包括预防性的陈述 象形图 警示词危险 危险申明 H301吞咽会中毒 H311皮肤接触会中毒 H317可能导致皮肤过敏反应。 H330吸入致命。 H373长期或重复接触可能通过吸入对器官造成伤害。 H410对水生生物毒性极大并具有长期持续影响. 警告申明 预防措施 P260不要吸入粉尘/ 烟/ 气体/ 烟雾/ 蒸汽/ 喷雾。 P264操作后彻底清洁皮肤。 P270使用本产品时不要进食、饮水或吸烟。 P271只能在室外或通风良好之处使用。 P272禁止将污染的工作服带出作业场所。 P273避免释放到环境中。 P280穿戴防护手套/ 防护服。 P284戴呼吸防护装置。 事故响应 P301 + P310如果吞下去了: 立即呼救解毒中心或医生。 P302 + P352如果皮肤接触:用大量肥皂和水清洗。 P304 + P340如吸入: 将患者移到新鲜空气处休息,并保持呼吸舒畅的姿势。 P310立即呼叫中毒控制中心或医生. P320具体紧急处置(见本标签上提供的急救指导)。 P330漱口。 P333 + P313如出现皮肤刺激或皮疹:求医/就诊。 P361立即除去/脱掉所有沾污的衣物。 P363沾污的衣服清洗后方可再用。 P391收集溢出物。 安全储存 P403 + P233存放于通风良的地方。 保持容器密闭。 P405存放处须加锁。 废弃处置 P501将内容物/ 容器处理到得到批准的废物处理厂。 2.3 其它危害物 - 无 模块3. 成分/组成信息 3.1 物 质 : C9H17ClN3O3PS 分子式 : 313.74 g/mol 分子量 组分浓度或浓度范围 Isazofos - 化学文摘登记号(CAS42509-80-8 No.)255-863-8 EC-编号015-153-00-9 索引编号 模块4. 急救措施 4.1 必要的急救措施描述 一般的建议 请教医生。 向到现场的医生出示此安全技术说明书。 吸入 如果吸入,请将患者移到新鲜空气处。 如呼吸停止,进行人工呼吸。 请教医生。 皮肤接触 用肥皂和大量的水冲洗。 立即将患者送往医院。 请教医生。 眼睛接触 用水冲洗眼睛作为预防措施。 食入 切勿给失去知觉者通过口喂任何东西。 用水漱口。 请教医生。 4.2 主要症状和影响,急性和迟发效应 胆碱酯酶抑制剂, 催泪。, 恶心, 呕吐, 胸痛, 痉挛, 胆碱酯酶抑制剂能引起严重流涎以及肺部分泌、流泪、视力模糊、大便失禁、腹泻、震颤、共济失调、出汗、 体温降低、心率下降,和/或血压下降(由于作用于胆碱能神经位点) 4.3 及时的医疗处理和所需的特殊处理的说明和指示 无数据资料 模块5. 消防措施 5.1 灭火介质 灭火方法及灭火剂 用水雾,抗乙醇泡沫,干粉或二氧化碳灭火。 5.2 源于此物质或混合物的特别的危害 碳氧化物, 氮氧化物, 硫氧化物, 磷的氧化物, 氯化氢气体 5.3 给消防员的建议 如必要的话,戴自给式呼吸器去救火。 5.4 进一步信息 无数据资料 模块6. 泄露应急处理 6.1 作业人员防护措施、防护装备和应急处置程序 戴呼吸罩。 避免吸入蒸气、烟雾或气体。 保证充分的通风。 人员疏散到安全区域。 6.2 环境保护措施 如能确保安全,可采取措施防止进一步的泄漏或溢出。 不要让产品进入下水道。 一定要避免排放到周围环境中。 6.3 泄漏化学品的收容、清除方法及所使用的处置材料 用惰性吸附材料吸收并当作危险废物处理。 放入合适的封闭的容器中待处理。 6.4 参考其他部分 丢弃处理请参阅第13节。 模块7. 操作处置与储存 7.1 安全操作的注意事项 避免接触皮肤和眼睛。 避免吸入蒸气和烟雾。 7.2 安全储存的条件,包括任何不兼容性 贮存在阴凉处。 使容器保持密闭,储存在干燥通风处。 打开了的容器必须仔细重新封口并保持竖放位置以防止泄漏。 建议的贮存温度: 2 - 8 °C 7.3 特定用途 无数据资料 模块8. 接触控制和个体防护 8.1 容许浓度 最高容许浓度 没有已知的国家规定的暴露极限。 8.2 暴露控制 适当的技术控制 避免与皮肤、眼睛和衣服接触。 休息前和操作本品后立即洗手。 个体防护设备 眼/面保护 面罩與安全眼鏡请使用经官方标准如NIOSH (美国) 或 EN 166(欧盟) 检测与批准的设备防护眼部。 皮肤保护 戴手套取 手套在使用前必须受检查。 请使用合适的方法脱除手套(不要接触手套外部表面),避免任何皮肤部位接触此产品. 使用后请将被污染过的手套根据相关法律法规和有效的实验室规章程序谨慎处理. 请清洗并吹干双手 所选择的保护手套必须符合EU的89/686/EEC规定和从它衍生出来的EN 376标准。 身体保护 全套防化学试剂工作服, 防护设备的类型必须根据特定工作场所中的危险物的浓度和数量来选择。 呼吸系统防护 如危险性评测显示需要使用空气净化的防毒面具,请使用全面罩式多功能防毒面具(US)或ABEK型 (EN 14387)防毒面具筒作为工程控制的候补。如果防毒面具是保护的唯一方式,则使用全面罩式送风防 毒面具。 呼吸器使用经过测试并通过政府标准如NIOSH(US)或CEN(EU)的呼吸器和零件。 模块9. 理化特性 9.1 基本的理化特性的信息 a) 外观与性状 形状: 液体 b) 气味 无数据资料 c) 气味阈值 无数据资料 d) pH值 无数据资料 e) 熔点/凝固点 无数据资料 f) 沸点、初沸点和沸程 无数据资料 g) 闪点 无数据资料 h) 蒸发速率 无数据资料 i) 易燃性(固体,气体) 无数据资料 j) 高的/低的燃烧性或爆炸性限度 无数据资料 k) 蒸气压 无数据资料 l) 蒸汽密度 无数据资料 m) 密度/相对密度 无数据资料 n) 水溶性 无数据资料 o) n-辛醇/水分配系数 无数据资料 p) 自燃温度 无数据资料 q) 分解温度 无数据资料 r) 粘度 无数据资料 模块10. 稳定性和反应活性 10.1 反应性 无数据资料 10.2 稳定性 无数据资料 10.3 危险反应 无数据资料 10.4 应避免的条件 无数据资料 10.5 不相容的物质 强氧化剂 10.6 危险的分解产物 其它分解产物 - 无数据资料 模块11. 毒理学资料 11.1 毒理学影响的信息 急性毒性 半数致死剂量 (LD50) 经皮 - 兔子 - 755 mg/kg 皮肤刺激或腐蚀 无数据资料 眼睛刺激或腐蚀 无数据资料 呼吸道或皮肤过敏 无数据资料 生殖细胞致突变性 细胞突变性-体内试验 - 小鼠 - 腹膜内的 细胞发生分析 致癌性 IARC: 此产品中没有大于或等于 0。1%含量的组分被 IARC鉴别为可能的或肯定的人类致癌物。 生殖毒性 无数据资料 特异性靶器官系统毒性(一次接触) 无数据资料 特异性靶器官系统毒性(反复接触) 无数据资料 吸入危险 无数据资料 潜在的健康影响 吸入吸入可能致死。 可能引起呼吸道刺激。 摄入误吞会中毒。 皮肤如果被皮肤吸收会有毒性 可能引起皮肤刺激。 眼睛可能引起眼睛刺激。 接触后的征兆和症状 胆碱酯酶抑制剂, 催泪。, 恶心, 呕吐, 胸痛, 痉挛, 胆碱酯酶抑制剂能引起严重流涎以及肺部分泌、流泪、视力模糊、大便失禁、腹泻、震颤、共济失调、出汗、 体温降低、心率下降,和/或血压下降(由于作用于胆碱能神经位点) 附加说明 化学物质毒性作用登记: TE7760000 模块12. 生态学资料 12.1 生态毒性 无数据资料 12.2 持久性和降解性 无数据资料 12.3 潜在的生物累积性 无数据资料 12.4 土壤中的迁移性 无数据资料 12.5 PBT 和 vPvB的结果评价 无数据资料 12.6 其它不良影响 对水生生物毒性极大并具有长期持续影响. 模块13. 废弃处置 13.1 废物处理方法 产品 将剩余的和不可回收的溶液交给有许可证的公司处理。 受污染的容器和包装 按未用产品处置。 模块14. 运输信息 14.1 联合国危险货物编号 欧洲陆运危规: 3278国际海运危规: 3278国际空运危规: 3278 14.2 联合国运输名称 欧洲陆运危规: ORGANOPHOSPHORUS COMPOUND, TOXIC, LIQUID, N.O.S. (Isazofos) 国际海运危规: ORGANOPHOSPHORUS COMPOUND, TOXIC, LIQUID, N.O.S. (Isazofos) 国际空运危规: Organophosphorus compound, liquid, toxic, n.o.s. (Isazofos) 14.3 运输危险类别 欧洲陆运危规: 6.1国际海运危规: 6.1国际空运危规: 6.1 14.4 包裹组 欧洲陆运危规: II国际海运危规: II国际空运危规: II 14.5 环境危险 欧洲陆运危规: 是国际海运危规国际空运危规: 否 海洋污染物(是/否): 是 14.6 对使用者的特别提醒 无数据资料 模块 15 - 法规信息 N/A 模块16 - 其他信息 N/A |
| 符号 |
GHS06, GHS08, GHS09 |
|---|---|
| 信号词 | Danger |
| 危害声明 | H301 + H311-H317-H330-H373-H410 |
| 警示性声明 | P260-P273-P280-P284-P301 + P310-P310 |
| 个人防护装备 | Eyeshields;Faceshields;full-face respirator (US);Gloves;multi-purpose combination respirator cartridge (US);type ABEK (EN14387) respirator filter |
| 危害码 (欧洲) | T+,N |
| 风险声明 (欧洲) | 24/25-26-43-48/20-50/53 |
| 安全声明 (欧洲) | S28;S38;S45;S59;S61;S36/S37 |
| 危险品运输编码 | UN 3018 |
| RTECS号 | TE7760000 |
| 包装等级 | II |
| 危险类别 | 6.1(a) |
| 海关编码 | 2933990012 |

搜索








