阿加曲班
Argatroban是凝血酶选择性抑制剂。
产品名称
-
中文名阿加曲班
-
英文名Argatroban
-
中文别名(2R,4R)-4-甲基-1-[N-[(3-甲基-1,2,3,4-四氢-8-喹啉基)磺酰]-L-精氨酰]-2-哌啶甲酸 | (2R,4R)-1-[5-[(氨基亚氨基甲基)氨基]-1-氧代-2-[[(1,2,3,4-四氢-3-甲基-8-喹啉基)磺酰基]氨基]戊基]-4-甲基-2-哌啶羧酸 | 阿各卓泮
-
英文别名
Novastan (2R,4R)-4-Methyl-1-{N-[(3-methyl-1,2,3,4-tetrahydro-8-quinolinyl)sulfonyl]arginyl}-2-piperidinecarboxylic acid Argatroban (2R,4R)-4-Methyl-1-{N-[(3-methyl-1,2,3,4-tetrahydroquinolin-8-yl)sulfonyl]arginyl}piperidine-2-carboxylic acid (2R,4R)-1-{N-(Diaminomethylene)-N-[(3-methyl-1,2,3,4-tetrahydro-8-quinolinyl)sulfonyl]-L-ornithyl}-4-methyl-2-piperidinecarboxylic acid 2-Piperidinecarboxylic acid, 1-[(2S)-5-[(aminoiminomethyl)amino]-1-oxo-2-[[(1,2,3,4-tetrahydro-3-methyl-8-quinolinyl)sulfonyl]amino]pentyl]-4-methyl-, (2R,4R)-, hydrate (1:1) (2R,4R)-1-{N-(diaminomethylidene)-N-[(3-methyl-1,2,3,4-tetrahydroquinolin-8-yl)sulfonyl]-L-ornithyl}-4-methylpiperidine-2-carboxylic acid (2R,4R)-4-Methyl-1-{N-[(3-methyl-1,2,3,4-tetrahydroquinolin-8-yl)sulfonyl]-L-arginyl}piperidine-2-carboxylic acid (2R,4R)-1-(5-Carbamimidamido-2-{[(3-methyl-1,2,3,4-tetrahydro-8-quinolinyl)sulfonyl]amino}pentanoyl)-4-methyl-2-piperidinecarboxylic acid MQPA Argipidine (2R,4R)-4-Methyl-1-[N2-(3-methyl-1,2,3,4-tetrahydro-8-quinolinesulfonyl)-L-arginyl]-2-piperidinecarboxylic Acid Slonnon [2R-[1(2S*),2a,4b]]-[partial]-1-[5-[(Aminoiminomethyl)amino]-1-oxo-2-[[(1,2,3,4-tetrahydro-3-methyl-8-quinolinyl)sulfonyl]amino]pentyl]-4-methyl-2-piperidinecarboxylic Acid 2-Piperidinecarboxylic acid, 1-[5-[(aminoiminomethyl)amino]-1-oxo-2-[[(1,2,3,4-tetrahydro-3-methyl-8-quinolinyl)sulfonyl]amino]pentyl]-4-methyl-, (2R,4R)- (2R,4R)-4-Methyl-1-{N-[(3-methyl-1,2,3,4-tetrahydro-8-quinolinyl)sulfonyl]-L-arginyl}-2-piperidinecarboxylic acid hydrate (1:1) Argatroban monohydrate MFCD00866789 2-Piperidinecarboxylic acid, 1-[(2S)-5-[(diaminomethylene)amino]-1-oxo-2-[[(1,2,3,4-tetrahydro-3-methyl-8-quinolinyl)sulfonyl]amino]pentyl]-4-methyl-, (2R,4R)- Argatroban anhydrous UNII:IY90U61Z3S UNII:OCY3U280Y3 (2R,4R)-4-Methyl-1-[(S)-N2-[[(R,S)-1,2,3,4-tetrahydro-3-methyl-8-quinolinyl]sulfonyl]arginyl]pipecolic Acid -
常用名阿加曲班
-
C A S号74863-84-6
物理性质
-
密度1.5±0.1 g/cm3
-
沸点801.3±75.0 °C at 760 mmHg
-
熔点188-1890C
-
化学式C23H36N6O5S
-
结构式
1、 摩尔折射率:129.78
2、 摩尔体积(cm3/mol):345.7
3、 等张比容(90.2K):968.8
4、 表面张力(dyne/cm):61.6
5、 极化率(10-24cm3):51.45
-
闪点438.4±37.1 °C
-
分子量508.634
-
精确质量508.246796
-
P S A186.09000
-
外观形状白色粉末
-
储存条件Store at +4°C
-
稳定性
-
水溶解性
-
形态
-
H L B值
-
粘度
-
PH值
作用/用途
Argatroban是凝血酶选择性抑制剂。
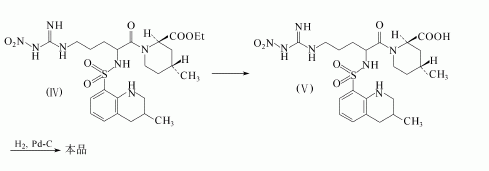
制备方法
硝基-N-叔丁氧羰基精氨酸和4-甲基-2-吡啶羧酸乙酯反应,得到的化合物,再用3-甲基-8-喹啉磺酰氯酰化,得化合物,经水解成游离羧酸后,再在钯碳上催化氢化,得阿加曲班。
安全提醒
MSDS
原料简介
应用范围
毒性和生态
安全信息
| 危害码 (欧洲) | Xn,N |
|---|---|
| 风险声明 (欧洲) | R20/21/22:Harmful by inhalation, in contact with skin and if swallowed . R51/53:Toxic to aquatic organisms, may cause long-term adverse effects in the aquatic environment . |
| 安全声明 (欧洲) | S28-S61-S28A |
| 危险品运输编码 | UN 2020 6.1/PG 3 |
| WGK德国 | 2 |
| RTECS号 | SK2450000 |
| 包装等级 | III |
| 危险类别 | 6.1 |
| 海关编码 | 2935009090 |
是否危险品
危险性
危险类别码
危险等级
触发危险方式
安全技术说明书
环境影响程度
包装与储运
相关供应商

搜索








