培哚普利
Perindopril是长效血管紧张素转换酶(ACE)抑制剂。
产品名称
-
中文名培哚普利
-
英文名Perindopril
-
中文别名培垛普利 | 1-[2-[[(1S)-(1-乙氧羰基)丁基]氨基]丙酰]-(2S,3aS,7aS)-八氢吲哚-2-羧酸 | [2S-[1-[R^^,(R^^)],2Α,3ΑΒ,7ΑΒ]]-1-[2-[[1-(乙氧羰基)丁基]氨基]-1-氧丙基]八氢-1H-吲哚-2-羧酸
-
英文别名
(2S,3aS,7aS)-1-[(2S)-2-{[(2S)-1-Ethoxy-1-oxo-2-pentanyl]amino}propanoyl]octahydro-1H-indole-2-carboxylic acid (2S,3aS,7aS)-1-[(2S)-2-{[(2S)-1-Ethoxy-1-oxopentan-2-yl]amino}propanoyl]octahydro-1H-indole-2-carboxylic acid (non-preferred name) S-9490-3 Procaptan MCNA-2833 Coversyl (2S,3aS,7aS)-1-[(2S)-2-{[(1S)-1-(ethoxycarbonyl)butyl]amino}propanoyl]octahydro-1H-indole-2-carboxylic acid (non-preferred name) McN-A-2833-109 (2S,3aS,7aS)-1-[(S)-N-[(S)-1-Carboxybutyl]alanyl]hexahydro-2-indolinecarboxylic Acid 1-Ethyl Ester (2S)-2-[(1S)-1-Carbethoxybutylamino]-1-oxopropyl-(2S,3aS,7aS)-perhydroindole-2-carboxylic Acid [2S-[1-[R*,(R*)],2a,3ab,7ab]]-1-[2-[[1-(Ethoxycarbonyl)butyl]amino]-1-oxopropyl]octahydro-1H-indole-2-carboxylic Acid Perindopril S-9490 McN-A 2833 S-9490,McNA-2833 MFCD00865859 -
常用名培哚普利
-
C A S号82834-16-0
物理性质
-
密度1.1±0.1 g/cm3
-
沸点537.4±45.0 °C at 760 mmHg
-
熔点100-101°C
-
化学式C19H32N2O5
-
结构式
1、 摩尔折射率:96.17
2、 摩尔体积(cm3/mol):320.3
3、 等张比容(90.2K):829.3
4、 表面张力(dyne/cm):44.9
5、 极化率(10-24cm3):38.12
-
闪点278.8±28.7 °C
-
分子量368.468
-
精确质量368.231110
-
P S A95.94000
-
外观形状白色粉末
-
储存条件-20°C Freezer
-
稳定性
-
水溶解性
-
形态
-
H L B值
-
粘度
-
PH值
作用/用途
Perindopril是长效血管紧张素转换酶(ACE)抑制剂。
制备方法
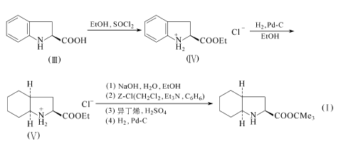
化合物(I)和化合物(Ⅱ)进行缩合,然后水解即可得到培垛普利。
化合物(Ⅰ)可由化合物(Ⅲ)出发,经酯化、还原、水解再酯化得到。
化合物(Ⅱ)可由化合物(Ⅳ)和化合物(Ⅶ)进行还原氨解反应得到,收率52%。(可参见Lane C F.Synthesis,1975,135~146)
化合物(Ⅱ)也可由化合物(Ⅷ)和化合物(Ⅸ)进行还原氨解反应得到,收率64.4%。 (可参见Yamada Sun-Ichi,et a1.Tetrahedron Lett,1976,13:997-1000)
安全提醒
MSDS
原料简介
应用范围
毒性和生态
安全信息
| 危害码 (欧洲) | Xi |
|---|---|
| 风险声明 (欧洲) | R20/21/22 |
| 安全声明 (欧洲) | S24/25 |
| WGK德国 | 3 |
是否危险品
危险性
危险类别码
危险等级
触发危险方式
安全技术说明书
环境影响程度
包装与储运
相关供应商

搜索









