提示
提示
完成工程师认证,即可发布配方
温馨提示
根据网络安全管理条例
请登陆后继续浏览
非PLUS会员您暂未开通PLUS会员,请选择您的会员套餐
套餐选择:
特权
支付方式:
支付金额:
说豆
支付金额:
说币
扫码购买使用支付宝APP扫码完成支付
支付剩余时间:
支付金额
¥
阿西莫司

阿西莫司

【用途一】
能抑制脂肪组织释放游离脂肪酸,减少血中极低密度脂蛋白和低密度脂蛋白,从而使血中三酸甘油酯和胆固醇浓度下降,还可促进高密度脂蛋白增加。用于ⅡA、ⅡR、Ⅲ、Ⅳ和V型高脂蛋白血症。
【用途二】
降血脂药。
产品名称
  • 中文名
    阿西莫司
  • 英文名
    Acipimox
  • 中文别名
    5-甲基吡嗪-2-羧酸 4-氧化物 | 5-甲基吡嗪-2-羧酸-4-氧化物 | 阿昔莫司
  • 英文别名
    5-methyl-2-pyrazinoic-4-oxide
    2-Pyrazinecarboxylic acid, 5-methyl-, 4-oxide
    2-Carboxy-5-methylpyrazine 4-oxide,5-Methylpyrazinecarboxylic acid 4-oxide
    5-Carboxy-2-methylpyrazine 1-oxide
    5-methyl-4-oxy-pyrazine-2-carboxylic acid
    5-methylpyrazine-2-carboxylic acid 4-oxide
    2-carboxy-5-methylpyrazine 4-oxide
    Acipimox
    K-9321
    Olbetam
    5-Methylpyrazinecarboxylic acid 4-oxide
    5-Methyl-2-pyrazinecarboxylic acid 4-oxide
    2-methyl-5-pyrazinecarboxylic acid 1-oxide
    Olbemox
    EINECS 256-928-3
    T6N DNJ AO B1 EVQ
    MFCD00865757
  • 常用名
    阿西莫司
  • C A S号
    51037-30-0
物理性质
  • 密度
    1.4±0.1 g/cm3
  • 沸点
    539.0±45.0 °C at 760 mmHg
  • 熔点
    177-180 °C
  • 化学式
    C6H6N2O3
  • 结构式
  • 闪点
    279.8±28.7 °C
  • 分子量
    154.123
  • 精确质量
    154.037842
  • P S A
    75.65000
  • 外观形状
  • 储存条件

    保持贮藏器密封、储存在阴凉、干燥的地方,确保工作间有良好的通风或排气装置

  • 稳定性
  • 水溶解性
  • 形态
    从水结晶
  • H L B值
  • 粘度
  • PH值
作用/用途
【用途一】
能抑制脂肪组织释放游离脂肪酸,减少血中极低密度脂蛋白和低密度脂蛋白,从而使血中三酸甘油酯和胆固醇浓度下降,还可促进高密度脂蛋白增加。用于ⅡA、ⅡR、Ⅲ、Ⅳ和V型高脂蛋白血症。
【用途二】
降血脂药。
制备方法

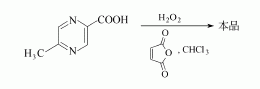
在冷却和搅拌下,往78g马来酸酐溶于60ml氯仿的溶液中,加入40ml30%的过氧化氢。2h后再加入4.8g的5-甲基吡嗪-2-羧酸,在0-5℃保持2d。滤去马来酸。浓缩至剩微小体积,加入乙酸乙酯,过滤可得1.1g的阿西莫司,熔点178-180℃。

51037-30-0 preparation

安全提醒
MSDS
1.1 产品标识符
: Acipimox
产品名称
1.2 鉴别的其他方法
2-Carboxy-5-methylpyrazine 4-oxide
5-Methylpyrazinecarboxylic acid 4-oxide
1.3 有关的确定了的物质或混合物的用途和建议不适合的用途
仅供科研用途,不作为药物、家庭备用药或其它用途。

模块2. 危险性概述
2.1 GHS分类
急性毒性, 经口 (类别5)
眼刺激 (类别2A)
2.2 GHS 标记要素,包括预防性的陈述
象形图
警示词警告
危险申明
H303吞咽可能有害。
H319造成严重眼刺激。
警告申明
预防
P264操作后彻底清洁皮肤。
P280穿戴防护手套/ 眼保护罩/ 面部保护罩。
措施
P305 + P351 + P338如与眼睛接触,用水缓慢温和地冲洗几分钟。如戴隐形眼镜并可方便地取
出,取出隐形眼镜,然后继续冲洗.
P312如感觉不适,呼救中毒控制中心或医生.
P337 + P313如仍觉眼睛刺激:求医/就诊。 如仍觉眼睛刺激:求医/就诊.
2.3 其它危害物 - 无

模块3. 成分/组成信息
3.1 物 质
: 2-Carboxy-5-methylpyrazine 4-oxide
别名
5-Methylpyrazinecarboxylic acid 4-oxide
: C6H6N2O3
分子式
: 154.12 g/mol
分子量
组分浓度或浓度范围
Acipimox
-
CAS 号51037-30-0
EC-编号256-928-3

模块4. 急救措施
4.1 必要的急救措施描述
一般的建议
请教医生。 出示此安全技术说明书给到现场的医生看。
吸入
如果吸入,请将患者移到新鲜空气处。 如果停止了呼吸,给于人工呼吸。 请教医生。
皮肤接触
用肥皂和大量的水冲洗。 请教医生。
眼睛接触
用大量水彻底冲洗至少15分钟并请教医生。
食入
切勿给失去知觉者从嘴里喂食任何东西。 用水漱口。 请教医生。
4.2 主要症状和影响,急性和迟发效应
据我们所知,此化学,物理和毒性性质尚未经完整的研究。
4.3 及时的医疗处理和所需的特殊处理的说明和指示
无数据资料

模块5. 消防措施
5.1 灭火介质
灭火方法及灭火剂
用水雾,耐醇泡沫,干粉或二氧化碳灭火。
5.2 源于此物质或混合物的特别的危害
碳氧化物, 氮氧化物
5.3 给消防员的建议
如必要的话,戴自给式呼吸器去救火。
5.4 进一步信息
无数据资料

模块6. 泄露应急处理
6.1 人员的预防,防护设备和紧急处理程序
使用个人防护设备。 防止粉尘的生成。 防止吸入蒸汽、气雾或气体。 保证充分的通风。 避免吸入粉尘。
6.2 环境保护措施
不要让产物进入下水道。
6.3 抑制和清除溢出物的方法和材料
收集、处理泄漏物,不要产生灰尘。 扫掉和铲掉。 存放进适当的闭口容器中待处理。
6.4 参考其他部分
丢弃处理请参阅第13节。

模块7. 操作处置与储存
7.1 安全操作的注意事项
避免接触皮肤和眼睛。 防止粉尘和气溶胶生成。
在有粉尘生成的地方,提供合适的排风设备。一般性的防火保护措施。
7.2 安全储存的条件,包括任何不兼容性
贮存在阴凉处。 容器保持紧闭,储存在干燥通风处。
建议的贮存温度: 2 - 8 °C
7.3 特定用途
无数据资料

模块8. 接触控制和个体防护
8.1 容许浓度
最高容许浓度
没有已知的国家规定的暴露极限。
8.2 暴露控制
适当的技术控制
按照良好工业和安全规范操作。 休息前和工作结束时洗手。
个体防护设备
眼/面保护
带有防护边罩的安全眼镜符合 EN166要求请使用经官方标准如NIOSH (美国) 或 EN 166(欧盟)
检测与批准的设备防护眼部。
皮肤保护
戴手套取 手套在使用前必须受检查。
请使用合适的方法脱除手套(不要接触手套外部表面),避免任何皮肤部位接触此产品.
使用后请将被污染过的手套根据相关法律法规和有效的实验室规章程序谨慎处理. 请清洗并吹干双手
所选择的保护手套必须符合EU的89/686/EEC规定和从它衍生出来的EN 376标准。
身体保护
防渗透的衣服, 防护设备的类型必须根据特定工作场所中的危险物的浓度和含量来选择。
呼吸系统防护
如须暴露于有害环境中,请使用P95型(美国)或P1型(欧盟 英国
143)防微粒呼吸器。如需更高级别防护,请使用OV/AG/P99型(美国)或ABEK-P2型 (欧盟 英国 143)
防毒罐。
呼吸器使用经过测试并通过政府标准如NIOSH(US)或CEN(EU)的呼吸器和零件。

模块9. 理化特性
9.1 基本的理化特性的信息
a) 外观与性状
形状: 固体
b) 气味
无数据资料
c) 气味阈值
无数据资料
d) pH值
无数据资料
e) 熔点/凝固点
熔点/凝固点: 177 - 180 °C
f) 起始沸点和沸程
无数据资料
g) 闪点
无数据资料
h) 蒸发速率
无数据资料
i) 易燃性(固体,气体)
无数据资料
j) 高的/低的燃烧性或爆炸性限度 无数据资料
k) 蒸汽压
无数据资料
l) 蒸汽密度
无数据资料
m) 相对密度
无数据资料
n) 水溶性
无数据资料
o) n-辛醇/水分配系数
无数据资料
p) 自燃温度
无数据资料
q) 分解温度
无数据资料
r) 粘度
无数据资料

模块10. 稳定性和反应活性
10.1 反应性
无数据资料
10.2 稳定性
无数据资料
10.3 危险反应的可能性
无数据资料
10.4 应避免的条件
无数据资料
10.5 不兼容的材料
强氧化剂
10.6 危险的分解产物
其它分解产物 - 无数据资料

模块11. 毒理学资料
11.1 毒理学影响的信息
急性毒性
半数致死剂量 (LD50) 经口 - 老鼠 - 3,500 mg/kg
备注: 生化的:代谢(媒介物):脂质包括转运体。
皮肤刺激或腐蚀
无数据资料
眼睛刺激或腐蚀
无数据资料
呼吸道或皮肤过敏
无数据资料
生殖细胞突变性
无数据资料
致癌性
IARC:
此产品中没有大于或等于 0。1%含量的组分被 IARC鉴别为可能的或肯定的人类致癌物。
生殖毒性
无数据资料
特异性靶器官系统毒性(一次接触)
无数据资料
特异性靶器官系统毒性(反复接触)
无数据资料
吸入危险
无数据资料
潜在的健康影响
吸入吸入可能有害。 可能引起呼吸道刺激。
摄入如服入是有害的。
皮肤如果通过皮肤吸收可能是有害的。 可能引起皮肤刺激。
眼睛造成严重眼刺激。
接触后的征兆和症状
据我们所知,此化学,物理和毒性性质尚未经完整的研究。
附加说明
化学物质毒性作用登记: UQ2453000

模块12. 生态学资料
12.1 生态毒性
无数据资料
12.2 持久存留性和降解性
无数据资料
12.3 潜在的生物蓄积性
无数据资料
12.4 土壤中的迁移性
无数据资料
12.5 PBT 和 vPvB的结果评价
无数据资料
12.6 其它不利的影响
无数据资料

模块13. 废弃处置
13.1 废物处理方法
产品
将剩余的和未回收的溶液交给处理公司。 联系专业的拥有废弃物处理执照的机构来处理此物质。
与易燃溶剂相溶或者相混合,在备有燃烧后处理和洗刷作用的化学焚化炉中燃烧
受污染的容器和包装
作为未用过的产品弃置。

模块14. 运输信息
14.1 联合国危险货物编号
欧洲陆运危规: -国际海运危规: -国际空运危规: -
14.2 联合国(UN)规定的名称
欧洲陆运危规: 非危险货物
国际海运危规: 非危险货物
国际空运危规: 非危险货物
14.3 运输危险类别
欧洲陆运危规: -国际海运危规: -国际空运危规: -
14.4 包裹组
欧洲陆运危规: -国际海运危规: -国际空运危规: -
14.5 环境危险
欧洲陆运危规: 否国际海运危规 海运污染物: 否国际空运危规: 否
14.6 对使用者的特别提醒
无数据资料


模块 15 - 法规信息
N/A


模块16 - 其他信息
N/A
原料简介
应用范围
毒性和生态
安全信息
符号 GHS07
GHS07
信号词 Warning
危害声明 H319
警示性声明 P305 + P351 + P338
个人防护装备 dust mask type N95 (US);Eyeshields;Gloves
危害码 (欧洲) Xi: Irritant;
风险声明 (欧洲) R36
安全声明 (欧洲) S26
危险品运输编码 NONH for all modes of transport
RTECS号 UQ2453000
海关编码 2942000000
是否危险品
危险性
危险类别码
危险等级
触发危险方式
安全技术说明书
环境影响程度
包装与储运
相关供应商