己二酸
-
中文名己二酸
-
英文名Adipic acid
-
中文别名肥酸 | 1,6-己二酸,肥酸 | 1,4-丁二羧酸
-
英文别名
Acifloctin 1,6-Hexanedioic acid Adilactetten 1,4-Butanedicarboxylic acid EINECS 204-673-3 hexane-1,6-dicarboxylic acid hexanedioic acid Acinetten Adipic acid MFCD00004420 -
常用名己二酸
-
C A S号124-04-9
-
密度1.3±0.1 g/cm3
-
沸点338.5±15.0 °C at 760 mmHg
-
熔点151-154 °C(lit.)
-
化学式C6H10O4
-
结构式
1、 摩尔折射率:32.97
2、 摩尔体积(cm3/mol):116.8
3、 等张比容(90.2K):314.4
4、 表面张力(dyne/cm):52.4
5、 极化率(10-24cm3):13.07
-
闪点196.1±0.0 °C
-
分子量146.141
-
精确质量146.057907
-
P S A74.60000
-
外观形状白色结晶粉末
-
储存条件
1.密封4℃以下干燥保存。远离火种、热源、防水、防潮、防晒。
2.用带塑料衬里的编织袋包装,净重25kg。贮存于干燥阴凉处,运输时要注意防雨。按一般化学品规定贮运。
-
稳定性
-
水溶解性
-
形态白色结晶体,无臭,微有酸味,有骨头烧焦的气味。
-
H L B值
-
粘度
-
PH值
1.环己烷氧化法 环己烷在钴催化剂作用下,第一步氧化生成环己醇和环己酮,反应条件为150~-160℃,810~1013kPa。环己醇和环己酮再经硝酸氧化生成己二酸。反应条件为60~80℃,100~400kPa。粗品经重结晶精制得到成品
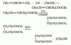
2.丁二烯两步羰化法 以丁二烯和一氧化碳为原料,先使丁二烯转化为3-戊烯酸甲酯,再经羰化制己二酸二甲酯,最后经水解而得。
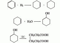
3.环己烯水合氧化法 以苯和氢为原料进行苯部分加氢制得环己烯,再经水合生成环己醇,将环己醇用硝酸氧化生产己二酸。
4.可用环己酮或环己醇经硝酸氧化制得,然后用浓硝酸处理粗品,进行重结晶制得纯品。
5. 烟草:OR,44;FC,54;合成:可由苯酚氢化成环己醇再经催化氧化,或由糠醛脱羰成呋喃、加氢成四氢呋喃,再在高温高压下与一氧化碳作用,或由己二胺水解而得。也可在酸性溶液中氧化环己酮或在碱性溶液中用空气氧化环己酮制备。
6.制法:
于装有搅拌器、回流冷凝器,360℃温度计和滴液漏斗的1L反应瓶中,加入硝酸(d1.32)420g,加热至几乎沸腾,加入钒酸铵0.1g,剧烈搅拌下滴加1mL环己醇(2),继续搅拌数分钟至反应开始,有氧化氮气放出。冷至55~60℃,滴加环己醇62.5g(0.62mol),保持
55~60℃之间,1.5h左右加完。加完后沸石浴加热至无氧化氮放出①。冷后析出结晶。抽滤,水洗,空气中干燥,得己二酸(1)52g。母液浓缩后可得己二酸10g。用热水重结晶,得己二酸55g,收率61.1%,mp151~150℃②。注:①反应中放出二氧化氮气体,应在通风橱中进行反应,放出的二氧化氮气体用水吸收。②己二酸也可用高猛酸钾氧化环己醇成环己酮制备。
|
模块1. 化学品 1.1 产品标识符 : 己二酸 产品名称 1.2 鉴别的其他方法 Hexanedioic acid
1.3 有关的确定了的物质或混合物的用途和建议不适合的用途
仅用于研发。不作为药品、家庭或其它用途。 模块2. 危险性概述 2.1 GHS分类 严重眼睛损伤/眼睛刺激性 (类别 2A) 急性水生毒性 (类别 3) 2.2 GHS 标记要素,包括预防性的陈述 象形图 警示词警告 危险申明 H319造成严重眼刺激。 H402对水生生物有害。 警告申明 预防措施 P264操作后彻底清洗皮肤。 P273避免释放到环境中。 P280戴防护眼罩/戴防护面具。 事故响应 P305 + P351 + P338如进入眼睛:用水小心冲洗几分钟。如戴隐形眼镜并可方便地取出,取出 隐形眼镜。继续冲洗。 P337 + P313如仍觉眼刺激:求医/就诊。 废弃处置 P501将内装物/容器送到批准的废物处理厂处理。 2.3 其它危害物 - 无 模块3. 成分/组成信息 3.1 物 质 : Hexanedioic acid 别名 : C6H10O4 分子式 : 146.14 g/mol 分子量 组分浓度或浓度范围 Adipic acid 化学文摘登记号(CAS124-04-9<= 100 % No.)204-673-3 EC-编号607-144-00-9 索引编号 模块4. 急救措施 4.1 必要的急救措施描述 一般的建议 请教医生。 向到现场的医生出示此安全技术说明书。 吸入 如果吸入,请将患者移到新鲜空气处。 如呼吸停止,进行人工呼吸。 请教医生。 皮肤接触 用肥皂和大量的水冲洗。 请教医生。 眼睛接触 用大量水彻底冲洗至少15分钟并请教医生。 食入 切勿给失去知觉者喂食任何东西。 用水漱口。 请教医生。 4.2 主要症状和影响,急性和迟发效应 据我们所知,此化学,物理和毒性性质尚未经完整的研究。 4.3 及时的医疗处理和所需的特殊处理的说明和指示 无数据资料 模块5. 消防措施 5.1 灭火介质 灭火方法及灭火剂 用水雾,耐醇泡沫,干粉或二氧化碳灭火。 5.2 源于此物质或混合物的特别的危害 碳氧化物 5.3 给消防员的建议 如有必要,佩戴自给式呼吸器进行消防作业。 5.4 进一步信息 无数据资料 模块6. 泄露应急处理 6.1 作业人员防护措施、防护装备和应急处置程序 使用个人防护装备。 避免粉尘生成。 避免吸入蒸气、气雾或气体。 保证充分的通风。 将人员疏散到安全区域。 避免吸入粉尘。 6.2 环境保护措施 如能确保安全,可采取措施防止进一步的泄漏或溢出。 不要让产品进入下水道。 避免排放到周围环境中。 6.3 泄漏化学品的收容、清除方法及所使用的处置材料 收集和处置时不要产生粉尘。 扫掉和铲掉。 放入合适的封闭的容器中待处理。 6.4 参考其他部分 丢弃处理请参阅第13节。 模块7. 操作处置与储存 7.1 安全操作的注意事项 避免形成粉尘和气溶胶。 在有粉尘生成的地方,提供合适的排风设备。 7.2 安全储存的条件,包括任何不兼容性 贮存在阴凉处。 使容器保持密闭,储存在干燥通风处。 7.3 特定用途 无数据资料 模块8. 接触控制和个体防护 8.1 控制参数 职业接触限值 8.2 暴露控制 适当的技术控制 按照良好的工业卫生和安全规范进行操作。 休息前及工作结束时洗手。 个体防护装备 眼面防护 面罩與安全眼鏡请使用经官方标准如NIOSH (美国) 或 EN 166(欧盟) 检测与批准的设备防护眼部。 皮肤保护 戴手套取 手套在使用前必须受检查。 请使用合适的方法脱除手套(不要接触手套外部表面),避免任何皮肤部位接触此产品. 使用后请将被污染过的手套根据相关法律法规和有效的实验室规章程序谨慎处理. 请清洗并吹干双手 所选择的保护手套必须符合EU的89/686/EEC规定和从它衍生出来的EN 376标准。 完全接触 材料: 丁腈橡胶 最小的层厚度 0.11 mm 溶剂渗透时间: 480 min 测试过的物质Dermatril® (KCL 740 / Z677272, 规格 M) 飞溅保护 材料: 丁腈橡胶 最小的层厚度 0.11 mm 溶剂渗透时间: 480 min 测试过的物质Dermatril® (KCL 740 / Z677272, 规格 M) , 测试方法 EN374 如果以溶剂形式应用或与其它物质混合应用,或在不同于EN 374规定的条件下应用,请与EC批准的手套的供应商联系。 这个推荐只是建议性的,并且务必让熟悉我们客户计划使用的特定情况的工业卫生学专家评估确认才可. 这不应该解释为在提供对任何特定使用情况方法的批准. 身体保护 全套防化学试剂工作服, 防护设备的类型必须根据特定工作场所中的危险物的浓度和数量来选择。 呼吸系统防护 如危险性评测显示需要使用空气净化的防毒面具,请使用全面罩式多功能微粒防毒面具N100型(US )或P3型(EN 143)防毒面具筒作为工程控制的候补。如果防毒面具是保护的唯一方式,则使用全面罩式送风防毒 面具。 呼吸器使用经过测试并通过政府标准如NIOSH(US)或CEN(EU)的呼吸器和零件。 模块9. 理化特性 9.1 基本的理化特性的信息 a) 外观与性状 形状: 结晶 颜色: 白色 b) 气味 无数据资料 c) 气味阈值 无数据资料 d) pH值 2.7 在 23 g/l 在 25 °C e) 熔点/凝固点 熔点/熔点范围: 151 - 154 °C f) 初沸点和沸程 265 °C 在 133 hPa - lit. g) 闪点 196 °C - 闭杯 h) 蒸发速率 无数据资料 i) 易燃性(固体,气体) 在空气中可能形成可燃粉尘浓度。 j) 高的/低的燃烧性或爆炸性限度 无数据资料 k) 蒸气压 1 hPa 在 159.5 °C 0.097 hPa 在 18.5 °C l) 蒸气密度 无数据资料 m) 密度/相对密度 无数据资料 n) 水溶性 23 g/l 在 25 °C - 可溶 o) 正辛醇/水分配系数 log Pow: 0.093 在 25 °C p) 自燃温度 > 400 °C q) 分解温度 无数据资料 r) 黏度 无数据资料 模块10. 稳定性和反应活性 10.1 反应性 无数据资料 10.2 稳定性 无数据资料 10.3 危险反应 无数据资料 10.4 应避免的条件 无数据资料 10.5 不相容的物质 强氧化剂 10.6 危险的分解产物 其它分解产物 - 无数据资料 模块11. 毒理学资料 11.1 毒理学影响的信息 急性毒性 LD50 经口 - 大鼠 - 雄性和雌性 - 5,560 mg/kg LC0 吸入 - 大鼠 - 雄性和雌性 - 4 h - > 7.7 mg/l LD0 经皮 - 家兔 - 雄性和雌性 - 7,940 mg/kg 皮肤腐蚀/刺激 皮肤 - 家兔 - 轻度的皮肤刺激 - 24 h - OECD测试导则404 严重眼睛损伤/眼刺激 眼睛 - 家兔 - 可对眼睛造成严重损伤。 - 24 h - OECD测试导则405 呼吸或皮肤过敏 豚鼠最大反应试验(GPMT) - 豚鼠 - 不引起皮肤过敏。 生殖细胞致突变性 体外基因毒性 - 仓鼠 - 成纤维细胞 - 有或没有代谢活化作用 - 阴性 体内基因毒性 - 大鼠 - 雄性 - 经口 - 阴性 致癌性 IARC: 此产品中没有大于或等于 0。1%含量的组分被 IARC鉴别为可能的或肯定的人类致癌物。 生殖毒性 无数据资料 特异性靶器官系统毒性(一次接触) 无数据资料 特异性靶器官系统毒性(反复接触) 无数据资料 吸入危害 无数据资料 潜在的健康影响 吸入吸入可能有害。 可能引起呼吸道刺激。 食入吞咽可能有害。 皮肤通过皮肤吸收可能有害。 可能引起皮肤刺激。 眼睛引起眼睛灼伤。 接触后的征兆和症状 据我们所知,此化学,物理和毒性性质尚未经完整的研究。 附加说明 化学物质毒性作用登记: AU8400000 模块12. 生态学资料 12.1 生态毒性 对鱼类的毒性静态试验 LC0 - Brachydanio rerio (斑马鱼) - >= 1,000 mg/l - 96 h 对水溞和其他水生无脊活动抑制 LC50 - Daphnia magna (水溞) - 46 mg/l - 48 h 椎动物的毒性方法: OECD测试导则202 对藻类的毒性静态试验 EC50 - Pseudokirchneriella subcapitata (羊角月牙藻) - 59 mg/l - 72 h 方法: OECD测试导则201 细菌毒性呼吸抑制 EC50 - 污泥处理 - 7,910 mg/l - 3 h 方法: OECD测试导则209 12.2 持久性和降解性 生物降解能力好氧的 - 暴露时间 30 d 结果: 83 % - 快速生物降解的。 方法: OECD测试导则301D 12.3 潜在的生物累积性 无数据资料 12.4 土壤中的迁移性 无数据资料 12.5 PBT和vPvB的结果评价 无数据资料 12.6 其他不良影响 对水生生物有害。 模块13. 废弃处置 13.1 废物处理方法 产品 将剩余的和不可回收的溶液交给有许可证的公司处理。 与易燃溶剂相溶或者相混合,在备有燃烧后处理和洗刷作用的化学焚化炉中燃烧 受污染的容器和包装 按未用产品处置。 模块14. 运输信息 14.1 联合国编号 欧洲陆运危规: -国际海运危规: -国际空运危规: - 14.2 联合国运输名称 欧洲陆运危规: 非危险货物 国际海运危规: 非危险货物 国际空运危规: 非危险货物 14.3 运输危险类别 欧洲陆运危规: -国际海运危规: -国际空运危规: - 14.4 包裹组 欧洲陆运危规: -国际海运危规: -国际空运危规: - 14.5 环境危险 欧洲陆运危规: 否国际海运危规国际空运危规: 否 海洋污染物(是/否): 否 14.6 特殊防范措施 无数据资料 模块 15 - 法规信息 N/A 模块16 - 其他信息 N/A |
| 符号 |
GHS07 |
|---|---|
| 信号词 | Warning |
| 危害声明 | H319 |
| 警示性声明 | P305 + P351 + P338 |
| 个人防护装备 | dust mask type N95 (US);Eyeshields;Gloves |
| 危害码 (欧洲) | Xi:Irritant |
| 风险声明 (欧洲) | R36 |
| 安全声明 (欧洲) | S26 |
| 危险品运输编码 | UN 9077 |
| WGK德国 | 1 |
| RTECS号 | AU8400000 |
| 危险类别 | 9.2 |
| 海关编码 | 2917120001 |

搜索










