奥卡西平
-
中文名奥卡西平
-
英文名Oxcarbazepine
-
中文别名氧痛惊宁 | 10,11-二氢-10-氧代-5H-二苯并[b,f]氮杂-5-甲酰胺
-
英文别名
10,11-Dihydro-10-oxo-5h-dibenz[b,f]azepine-5-carboxamide,Oxacarbazepine 10,11-Dihydro-10-oxo-5h-dibenz[b,f]azepine-5-carboxamide Oxacarbazepine Oxecarb OXCARBAMAZEPINE Trileptal Oxcarbapezine Ocarbazepine Oxetol Aurene Oxcarbazepine 10-Oxo-10,11-dihydro-dibenzo[b,f]azepine-5-carboxylic acid amide 10,11-Dihydro-10-oxo-5H-dibenzo[b,f]azepine-5-carboxamide 10,11-Dihydro-10-oxo-5H-dibenz(b,f)azepine-5-carboxamide 10-Oxo-10,11-dihydro-5H-dibenzo[b,f]azepine-5-carboxamide 5H-Dibenz[b,f]azepine-5-carboxamide, 10,11-dihydro-10-oxo- EINECS 249-188-8 OXACARBAZEPINE MFCD00865307 -
常用名奥卡西平
-
C A S号28721-07-5
-
密度1.3±0.1 g/cm3
-
沸点457.2±55.0 °C at 760 mmHg
-
熔点215-216°C
-
化学式C15H12N2O2
-
结构式
1、 摩尔折射率:65.60
2、 摩尔体积(cm3/mol):172.0
3、 等张比容(90.2K):490.9
4、 表面张力(dyne/cm):66.2
5、 极化率(10-24cm3):26.00
-
闪点230.3±31.5 °C
-
分子量252.268
-
精确质量252.089874
-
P S A63.40000
-
外观形状白色至灰白色结晶粉末
-
储存条件Store at RT
-
稳定性
-
水溶解性
-
形态
-
H L B值
-
粘度
-
PH值
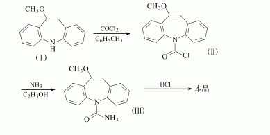
10-甲氧基-5H-二苯并[b,f]氮杂和光气在甲苯中反应。将得到的化合物溶于乙醇,在回流状态下通入氨气,最后在盐酸中回流,即得奥卡西平。
1. 2,2’-二硝基联苄的制备
在反应瓶中加入石油醚4L,于60~90ºC加入甲醇钠3.8kg(71mol),搅拌,于5~10ºC滴加邻硝基甲苯1.3kg(10mol)和甲酸乙酯741g(10mol)混合液,5~10ºC搅拌反应4h.加入冰水6L,分出水层,有机层用水3L洗,用浓盐酸约6.5L调至pH5~6,10ºC过夜析晶.过滤,滤饼干燥,得黄色结晶2,2’-二硝基联苄2.3kg,收率85.0%,mp120~121ºC.
2. 2,2’-二氨基联苄磷酸盐的制备
在反应器中加入2,2’-二硝基联苄2.3kg(8.5mol)和乙醇9L,搅拌溶解#加入磷酸维持反应体系pH2~3,再加入5%Pd/100g ,搅拌通入氢气至饱和(至不吸氢为止) ,室温搅拌2h.过滤#滤液用磷酸调至pH5,过夜析晶.过滤,干燥得黄色结晶2,2’-二氨基联苄磷酸盐3.3kg,收率95.1%,mp252~258ºC.
3. 10,11-二氢-5H-二苯并[b,f]氮杂 的制备
在反应瓶中加入2,2’-二氨基联苄磷酸盐3.3kg(8.08mol)(经粉碎成粉末状品),加热至280~300反应1h.倒入冰水10L中,过滤,滤饼水洗至中性,干燥后得棕色粗品,加入石油醚7L,加热搅拌回流1h.室温过夜$析晶,过滤,干燥后得淡黄色结晶粉末10,11-二氢-5H-二苯并[b,f]氮杂 874g,收率55.4%,mp105~108(文献[4]报道mp102~104ºC,收率51.3%)
4. 5-氯甲酰基-10,11-二氢-二苯并[b,f]氮杂 的制备
在反应瓶中加入10,11-二氢-5H-二苯并[b,f]氮杂 874g(4.48mol)、三光气1.3kg(4.48mol)和甲苯2L,搅拌混合缓慢加热回流,回流1h后,减压蒸除甲苯1.25L,冷却,析出结晶.过滤,干燥,得黄色结晶5-氯甲酰基-10,11-二氢-二苯并[b,f]氮杂 1.0kg,收率90.4%,mp118~121ºC.
5. 5H-二苯并[b,f]氮杂 的制备
在反应瓶中加入5-氯甲酰基-10,11-二氢-二苯并[b,f]氮杂 1.0gkg(4.05mol)、氯苯500ml和过氧化苯甲酰25g(0.11mol),搅拌加热至140~150ºC,缓慢滴加Br2 778g(4.86mol),约4h滴完,继续保温搅拌反应至无溴化氢逸出.减压浓缩至干,得棕色固体964.4g,收率93.2%,无需纯化,直接用于下步反应.
6. 5-氯甲酰基-10,11-二溴-二苯并[b,f]氮杂 的制备
在反应瓶中加入5H-二苯并[b,f]氮杂 964g(3.77mol)和氯仿2L,搅拌溶解,30ºC以下缓慢滴加溴素605g(3.78mol)和氯仿600ml混合液#约2.5h滴完,室温搅拌反应6h.冰箱中放置过夜.析出结晶,过滤,干燥,得褐色结晶5-氯甲酰基-10,11-二溴-二苯并[b,f]氮杂 1.1kg,收率71.2%,mp163~165ºC.
7. 10-甲氧基-5H-二苯并[b,f]氮杂 的制备
在反应瓶中加入5-氯甲酰基-10,11-二溴-二苯并[b,f]氮杂 1.1kg(2.68mol)和28%甲醇钠-甲醇4.2L溶液,搅拌回流20h.冷却,倒入水20ml中,搅拌1h.过滤,滤饼水洗,干燥,得黄褐色结晶10-甲氧基-5H-二苯并[b,f]氮杂 548.6g,收率91.8%,mp122~124ºC.Rf0.55[甲醇/氯仿(3:2)]
8. 5-氨甲酰基-10-甲氧基-二苯并[b,f]氮杂 的制备
在反应瓶中加入10-甲氧基-5H-二苯并[b,f]氮杂 548.6g(2.46mol)、冰醋酸5.5L和氰酸钾597.8g(7.38mol),拌混合,于40~45ºC搅拌反应3h.倒入冰水20L中,用氯仿(2L×2)提取,分出有机层,合并氯仿液,水洗,无水MgSO4干燥.过滤,滤液浓缩回收溶剂,得红褐色油状物5-氨甲酰基-10-甲氧基-二苯并[b,f]氮杂 512g,收率82.6%,直接用于下步反应.Rf=0.46[乙酸乙酯/二氯甲烷(3:1)].
9. 奥卡西平的合成
在反应瓶中加入5-氨甲酰基-10-甲氧基-二苯并[b,f]氮杂 512g(2.03mol)、甲醇2.5L、甲磺酸60g(0.625mol)和水1.3L,搅拌混合,加热搅拌回流1h.降至20ºC搅拌16h.过滤,用甲醇/水(2:1)混合溶剂洗涤,滤饼于40~50ºC减压干燥后加入1,4-二噁烷4L中,加热回流溶解,加活性炭40g脱色0.5h.热过滤,冷却析晶,过滤,乙醇洗滤饼,40~50ºC减压干燥5h.得淡黄色结晶奥卡西平371g,收率72.5%,mp220~223ºC.
|
模块1. 化学品 1.1 产品标识符 : Oxcarbazepine 产品名称 1.2 鉴别的其他方法 无数据资料
1.3 有关的确定了的物质或混合物的用途和建议不适合的用途
仅用于研发。不作为药品、家庭或其它用途。 模块2. 危险性概述 2.1 GHS-分类 非危险物质或混合物。 2.3 其它危害物 - 无 模块3. 成分/组成信息 3.1 物 质 : C15H12N2O2 分子式 : 252.27 g/mol 分子量 无 模块4. 急救措施 4.1 必要的急救措施描述 吸入 如果吸入,请将患者移到新鲜空气处。 如呼吸停止,进行人工呼吸。 皮肤接触 用肥皂和大量的水冲洗。 眼睛接触 用水冲洗眼睛作为预防措施。 食入 切勿给失去知觉者通过口喂任何东西。 用水漱口。 4.2 主要症状和影响,急性和迟发效应 据我们所知,此化学,物理和毒性性质尚未经完整的研究。 4.3 及时的医疗处理和所需的特殊处理的说明和指示 无数据资料 模块5. 消防措施 5.1 灭火介质 灭火方法及灭火剂 用水雾,抗乙醇泡沫,干粉或二氧化碳灭火。 5.2 源于此物质或混合物的特别的危害 碳氧化物, 氮氧化物 5.3 给消防员的建议 如必要的话,戴自给式呼吸器去救火。 5.4 进一步信息 无数据资料 模块6. 泄露应急处理 6.1 作业人员防护措施、防护装备和应急处置程序 避免粉尘生成。 避免吸入蒸气、烟雾或气体。 6.2 环境保护措施 不要让产品进入下水道。 6.3 泄漏化学品的收容、清除方法及所使用的处置材料 扫掉和铲掉。 放入合适的封闭的容器中待处理。 6.4 参考其他部分 丢弃处理请参阅第13节。 模块7. 操作处置与储存 7.1 安全操作的注意事项 在有粉尘生成的地方,提供合适的排风设备。 7.2 安全储存的条件,包括任何不兼容性 贮存在阴凉处。 使容器保持密闭,储存在干燥通风处。 7.3 特定用途 无数据资料 模块8. 接触控制和个体防护 8.1 容许浓度 最高容许浓度 没有已知的国家规定的暴露极限。 8.2 暴露控制 适当的技术控制 常规的工业卫生操作。 个体防护设备 眼/面保护 请使用经官方标准如NIOSH (美国) 或 EN 166(欧盟) 检测与批准的设备防护眼部。 皮肤保护 戴手套取 手套在使用前必须受检查。 请使用合适的方法脱除手套(不要接触手套外部表面),避免任何皮肤部位接触此产品. 使用后请将被污染过的手套根据相关法律法规和有效的实验室规章程序谨慎处理. 请清洗并吹干双手 所选择的保护手套必须符合EU的89/686/EEC规定和从它衍生出来的EN 376标准。 身体保护 根据危险物质的类型,浓度和量,以及特定的工作场所选择身体保护措施。, 防护设备的类型必须根据特定工作场所中的危险物的浓度和数量来选择。 呼吸系统防护 不需要保护呼吸。如需防护粉尘损害,请使用N95型(US)或P1型(EN 143)防尘面具。 呼吸器使用经过测试并通过政府标准如NIOSH(US)或CEN(EU)的呼吸器和零件。 模块9. 理化特性 9.1 基本的理化特性的信息 a) 外观与性状 形状: 粉末 颜色: 灰白色或米色 b) 气味 无数据资料 c) 气味阈值 无数据资料 d) pH值 无数据资料 e) 熔点/凝固点 无数据资料 f) 沸点、初沸点和沸程 无数据资料 g) 闪点 无数据资料 h) 蒸发速率 无数据资料 i) 易燃性(固体,气体) 无数据资料 j) 高的/低的燃烧性或爆炸性限度 无数据资料 k) 蒸气压 无数据资料 l) 蒸汽密度 无数据资料 m) 密度/相对密度 无数据资料 n) 水溶性 无数据资料 o) n-辛醇/水分配系数 无数据资料 p) 自燃温度 无数据资料 q) 分解温度 无数据资料 r) 粘度 无数据资料 模块10. 稳定性和反应活性 10.1 反应性 无数据资料 10.2 稳定性 无数据资料 10.3 危险反应 无数据资料 10.4 应避免的条件 无数据资料 10.5 不相容的物质 强氧化剂 10.6 危险的分解产物 模块11. 毒理学资料 11.1 毒理学影响的信息 急性毒性 半数致死剂量 (LD50) 经口 - 哺乳动物的 - 1,240 mg/kg 皮肤刺激或腐蚀 无数据资料 眼睛刺激或腐蚀 无数据资料 呼吸道或皮肤过敏 无数据资料 生殖细胞致突变性 无数据资料 致癌性 IARC: 此产品中没有大于或等于 0。1%含量的组分被 IARC鉴别为可能的或肯定的人类致癌物。 生殖毒性 发育毒性 - 小鼠 - 经口 对胚胎或胎儿的影响:胎儿毒性(死亡除外,例如矮小胎儿)。 特异性靶器官系统毒性(一次接触) 无数据资料 特异性靶器官系统毒性(反复接触) 无数据资料 吸入危险 无数据资料 潜在的健康影响 吸入吸入可能有害。 可能引起呼吸道刺激。 摄入如服入是有害的。 皮肤通过皮肤吸收可能有害。 可能引起皮肤刺激。 眼睛可能引起眼睛刺激。 接触后的征兆和症状 据我们所知,此化学,物理和毒性性质尚未经完整的研究。 附加说明 化学物质毒性作用登记: HN8445000 模块12. 生态学资料 12.1 生态毒性 无数据资料 12.2 持久性和降解性 无数据资料 12.3 潜在的生物累积性 无数据资料 12.4 土壤中的迁移性 无数据资料 12.5 PBT 和 vPvB的结果评价 无数据资料 12.6 其它不良影响 无数据资料 模块13. 废弃处置 13.1 废物处理方法 产品 将剩余的和不可回收的溶液交给有许可证的公司处理。 受污染的容器和包装 按未用产品处置。 模块14. 运输信息 14.1 联合国危险货物编号 欧洲陆运危规: -国际海运危规: -国际空运危规: - 14.2 联合国运输名称 欧洲陆运危规: 非危险货物 国际海运危规: 非危险货物 国际空运危规: 非危险货物 14.3 运输危险类别 欧洲陆运危规: -国际海运危规: -国际空运危规: - 14.4 包裹组 欧洲陆运危规: -国际海运危规: -国际空运危规: - 14.5 环境危险 欧洲陆运危规: 否国际海运危规国际空运危规: 否 海洋污染物(是/否): 否 14.6 对使用者的特别提醒 无数据资料 模块 15 - 法规信息 N/A 模块16 - 其他信息 N/A |
| 符号 |
GHS07 |
|---|---|
| 信号词 | Warning |
| 危害声明 | H302 |
| 警示性声明 | P301 + P312 + P330 |
| 个人防护装备 | Eyeshields;Gloves;type N95 (US);type P1 (EN143) respirator filter |
| 危害码 (欧洲) | Xn,F |
| 风险声明 (欧洲) | 22-36-20/21/22-11 |
| 安全声明 (欧洲) | 16-36/37 |
| 危险品运输编码 | NONH for all modes of transport |
| WGK德国 | 3 |
| RTECS号 | HN8445000 |
| 海关编码 | 2933990090 |

搜索








