香兰素
-
中文名香草醛
-
英文名Vanillin
-
中文别名合成香兰素 | 香荚兰醛 | 香兰素 | 4-羟基-3-甲氧基苯甲醛 | 香兰素 | 4-羟基间大茴香醛 | 凡尼林 | 香茅 | 香兰素乙醇溶液 | 3-甲氧基-4-羟基苯甲醛
-
英文别名
4-Hydroxy-3-methoxybenzaldehyde,Vanillic aldehyde Lioxin 3-Methoxy-4-hydroxybenzaldehyde Vanillin (contains H2SO4) Ethanol VANILLA VANILLINE Zimco 4-oxy-3-methoxybenzaldehyde Reference source: Negwer Vinillin compound no 1131 Rhovanil 3-methoxy-4-hydroxy-benzaldehyde Vanilin Vanillin MFCD00006942 4-Hydroxy-3-methoxybenzaldehyde EINECS 204-465-2 FEMA 3107 -
常用名香兰素
-
C A S号121-33-5
-
密度1.2±0.1 g/cm3
-
沸点282.6±20.0 °C at 760 mmHg
-
熔点81-83 °C(lit.)
-
化学式C8H8O3
-
结构式
1、 摩尔折射率:41.56
2、 摩尔体积(cm3/mol):123.5
3、 等张比容(90.2K):324.0
4、 表面张力(dyne/cm):47.3
5、 介电常数:
6、 偶极距(10-24cm3):
7、 极化率:16.47
-
闪点117.6±15.3 °C
-
分子量152.147
-
精确质量152.047348
-
P S A46.53000
-
外观形状白色或非常略黄色针状
-
储存条件
内衬聚乙烯袋、外套铁听包装。贮存于干燥通风的库房内。
-
稳定性
-
水溶解性
-
形态
-
H L B值
-
粘度
-
PH值
1.将N,N-二甲基苯胺用盐酸酸化成盐,用亚硝酸钠硝化掉得对亚硝基-N,N-二甲苯胺盐酸盐。将其与愈创木酚、甲醛在41-43℃缩合。然后用苯萃取。第一次蒸馏,用苯重结晶,再进行第二次蒸馏,用水重结晶。50℃干燥得成品。亚硫酸纸浆废液中,含有桦柏醇结构单位的木质素磺酸盐,在碱性条件下氧化,然后水解可得到香草醛。原料消耗(kg/t)愈创木酚(98%) 1460亚硝酸钠 640N,N-二甲基苯胺(98%) 974盐酸(30%) 6000甲醛(99%) 320
2.将N,N-二甲基苯胺在30%的盐酸、亚硝酸钠存在下进行亚硝化反应,所得亚硝基化合物与邻甲氧基苯酚、甲醛进行缩合反应,再水解制得香草醛粗品:
含有对氨基N,N- 二甲基苯胺盐酸盐的粗品香草醛经萃取,二次蒸馏,用石油醚重结晶,干燥得到提纯。
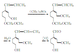
3.将2- 甲氧基苯酚、乙醛酸钠、氢氧化钠在搅拌下加到水中,维持25℃反应24h [2-甲氧基苯酚∶乙醛酸钠∶氢氧化钠∶水=40∶24∶13 ∶ 950( 质量比) ] 。反应结束后,用硫酸调节混合物ph值为5,用苯萃取出未反应的2-甲氧基苯酚。然后于高压釜中与水、氢氧化钠、氧化铜混合,加175℃,控制压力303.9kPa ,边搅拌边以2L/min速度通入空气90min进行氧化反应。反应结束后,过滤除去氧化铜。所得反应产物用硫酸ph值为1.5,用甲基异丁基酮萃取5次,分去水层后,再用硫酸调ph值为7.0,于20℃下用甲基异丁基酮再萃取5次,分去水层。加热甲基异丁基酮层以蒸出甲基异丁基酮,之后,在666Pa下蒸馏,收集149~151℃馏分为目的产物香草醛成品。
4.以丁香油为基本原料,用酚钠盐法单离出丁香酚以后,按下列反应制取香兰素。
丁香酚异构化生成异丁香酚:
异丁香酚乙酰化生成乙酰基异丁香酚:
乙酰基异丁香酚氧化反应生成乙酰基香兰素:
乙酰基香兰素水解生成香兰素钾盐:
香兰素钾盐酸化生成香兰素:
② 以黄樟油素为原料制取。黄樟油素异构化生成异黄樟油素酚醚:
异黄樟油素酚醚甲基化、水解和氧化反应生成香兰素
③ 以木质素为原料制取。近年来许多国家采用造纸工业亚硫酸纸浆废液中的木质素来生产香兰素,由于原料来源丰富,是很有发展前途的合成方法。其反应过程如下:
④ 以愈创木酚为原料制取。

|
模块1. 化学品 1.1 产品标识符 : Vanillin 产品名称 1.2 鉴别的其他方法 4-Hydroxy-3-methoxybenzaldehyde
1.3 有关的确定了的物质或混合物的用途和建议不适合的用途
仅供科研用途,不作为药物、家庭备用药或其它用途。 模块2. 危险性概述 2.1 GHS分类 急性毒性, 经口 (类别4) 眼刺激 (类别2A) 皮肤敏化作用 (类别1) 急性水生毒性 (类别3) 2.2 GHS 标记要素,包括预防性的陈述 象形图 警示词警告 危险申明 H302吞咽有害。 H317可能导致皮肤过敏反应。 H319造成严重眼刺激。 H402对水生生物有害。 警告申明 预防 P261避免吸入粉尘/烟/气体/烟雾/蒸气/喷雾. P264操作后彻底清洁皮肤。 P270使用本产品时不要进食、饮水或吸烟。 P272禁止将受污染的工作服带出工作场地. P273避免释放到环境中。 P280穿戴防护手套/ 眼保护罩/ 面部保护罩。 措施 P301 + P312如果吞下去了: 如感觉不适,呼救解毒中心或看医生。 P302 + P352如与皮肤接触,用大量肥皂和水冲洗受感染部位. P305 + P351 + P338如与眼睛接触,用水缓慢温和地冲洗几分钟。如戴隐形眼镜并可方便地取 出,取出隐形眼镜,然后继续冲洗. P321具体治疗(见本标签上提供的急救指导)。 P330漱口。 P333 + P313如发生皮肤刺激或皮疹:求医/ 就诊。 P337 + P313如仍觉眼睛刺激:求医/就诊。 如仍觉眼睛刺激:求医/就诊. P363沾染的衣服清洗后方可重新使用。 处理 P501将内容物/ 容器处理到得到批准的废物处理厂。 2.3 其它危害物 - 无 模块3. 成分/组成信息 3.1 物 质 : 4-Hydroxy-3-methoxybenzaldehyde 别名 : C8H8O3 分子式 : 152.15 g/mol 分子量 组分浓度或浓度范围 Vanillin - CAS 号121-33-5 EC-编号204-465-2 模块4. 急救措施 4.1 必要的急救措施描述 一般的建议 请教医生。 出示此安全技术说明书给到现场的医生看。 吸入 如果吸入,请将患者移到新鲜空气处。 如果停止了呼吸,给于人工呼吸。 请教医生。 皮肤接触 用肥皂和大量的水冲洗。 请教医生。 眼睛接触 用大量水彻底冲洗至少15分钟并请教医生。 食入 切勿给失去知觉者从嘴里喂食任何东西。 用水漱口。 请教医生。 4.2 主要症状和影响,急性和迟发效应 据我们所知,此化学,物理和毒性性质尚未经完整的研究。 4.3 及时的医疗处理和所需的特殊处理的说明和指示 无数据资料 模块5. 消防措施 5.1 灭火介质 灭火方法及灭火剂 用水雾,耐醇泡沫,干粉或二氧化碳灭火。 5.2 源于此物质或混合物的特别的危害 碳氧化物 5.3 给消防员的建议 如必要的话,戴自给式呼吸器去救火。 5.4 进一步信息 无数据资料 模块6. 泄露应急处理 6.1 人员的预防,防护设备和紧急处理程序 使用个人防护设备。 防止粉尘的生成。 防止吸入蒸汽、气雾或气体。 保证充分的通风。 避免吸入粉尘。 6.2 环境保护措施 在确保安全的前提下,采取措施防止进一步的泄漏或溢出。 不要让产物进入下水道。 防止排放到周围环境中。 6.3 抑制和清除溢出物的方法和材料 收集、处理泄漏物,不要产生灰尘。 扫掉和铲掉。 存放进适当的闭口容器中待处理。 6.4 参考其他部分 丢弃处理请参阅第13节。 模块7. 操作处置与储存 7.1 安全操作的注意事项 避免接触皮肤和眼睛。 防止粉尘和气溶胶生成。 在有粉尘生成的地方,提供合适的排风设备。 7.2 安全储存的条件,包括任何不兼容性 贮存在阴凉处。 容器保持紧闭,储存在干燥通风处。 对空气敏感。 对光线敏感 对湿度敏感 7.3 特定用途 无数据资料 模块8. 接触控制和个体防护 8.1 容许浓度 最高容许浓度 8.2 暴露控制 适当的技术控制 按照良好工业和安全规范操作。 休息前和工作结束时洗手。 个体防护设备 眼/面保护 面罩與安全眼鏡请使用经官方标准如NIOSH (美国) 或 EN 166(欧盟) 检测与批准的设备防护眼部。 皮肤保护 戴手套取 手套在使用前必须受检查。 请使用合适的方法脱除手套(不要接触手套外部表面),避免任何皮肤部位接触此产品. 使用后请将被污染过的手套根据相关法律法规和有效的实验室规章程序谨慎处理. 请清洗并吹干双手 所选择的保护手套必须符合EU的89/686/EEC规定和从它衍生出来的EN 376标准。 身体保护 全套防化学试剂工作服, 防护设备的类型必须根据特定工作场所中的危险物的浓度和含量来选择。 呼吸系统防护 如须暴露于有害环境中,请使用P95型(美国)或P1型(欧盟 英国 143)防微粒呼吸器。如需更高级别防护,请使用OV/AG/P99型(美国)或ABEK-P2型 (欧盟 英国 143) 防毒罐。 呼吸器使用经过测试并通过政府标准如NIOSH(US)或CEN(EU)的呼吸器和零件。 模块9. 理化特性 9.1 基本的理化特性的信息 a) 外观与性状 形状: 固体 颜色: 淡黄 b) 气味 无数据资料 c) 气味阈值 无数据资料 d) pH值 无数据资料 e) 熔点/凝固点 熔点/凝固点: 81 - 83 °C f) 起始沸点和沸程 170 °C 在 20 hPa g) 闪点 153 °C - 闭杯 h) 蒸发速率 无数据资料 i) 易燃性(固体,气体) 无数据资料 j) 高的/低的燃烧性或爆炸性限度 无数据资料 k) 蒸汽压 1 hPa 在 107 °C < 0.01 hPa 在 25 °C 0.0022 hPa 在 25 °C l) 蒸汽密度 无数据资料 m) 相对密度 1,056 g/cm3 在 20 °C n) 水溶性 10 g/l 在 25 °C - 微溶 o) n-辛醇/水分配系数 辛醇--水的分配系数的对数值: 1.23 在 22 °C p) 自燃温度 无数据资料 q) 分解温度 无数据资料 r) 粘度 无数据资料 模块10. 稳定性和反应活性 10.1 反应性 无数据资料 10.2 稳定性 无数据资料 10.3 危险反应的可能性 无数据资料 10.4 应避免的条件 无数据资料 10.5 不兼容的材料 强氧化剂 10.6 危险的分解产物 其它分解产物 - 无数据资料 模块11. 毒理学资料 11.1 毒理学影响的信息 急性毒性 半数致死剂量 (LD50) 经口 - 大鼠 - 3,300 mg/kg 半数致死剂量 (LD50) 经皮 - 兔子 - > 5,010 mg/kg 备注: 行为的:嗜睡(全面活力抑制)。 行为的:食物摄取(动物)。 胃肠的:腹膜炎 皮肤刺激或腐蚀 无数据资料 眼睛刺激或腐蚀 眼睛 - 兔子 - 刺激眼睛。 - 72 h 呼吸道或皮肤过敏 GPMT是一种用来确定皮肤过敏物质的试验 - 豚鼠 - EEC的指导书67/548/EEC,附录V,B6。 - 不引起皮肤过敏。 生殖细胞突变性 无数据资料 致癌性 IARC: 此产品中没有大于或等于 0。1%含量的组分被 IARC鉴别为可能的或肯定的人类致癌物。 生殖毒性 无数据资料 特异性靶器官系统毒性(一次接触) 无数据资料 特异性靶器官系统毒性(反复接触) 无数据资料 吸入危险 无数据资料 潜在的健康影响 吸入吸入可能有害。 可能引起呼吸道刺激。 摄入误吞对人体有害。 皮肤如果通过皮肤吸收可能是有害的。 可能引起皮肤刺激。 眼睛造成严重眼刺激。 接触后的征兆和症状 据我们所知,此化学,物理和毒性性质尚未经完整的研究。 附加说明 化学物质毒性作用登记: 无数据资料 模块12. 生态学资料 12.1 生态毒性 对鱼类的毒性半静电试验 半数致死浓度(LC50) - Pimephales promelas (黑头软口鲦鱼) - 57 mg/l - 96 h 静电试验 半数致死浓度(LC50) - Pimephales promelas (黑头软口鲦鱼) - 88 mg/l - 96 h 无逆流试验 半数致死浓度(LC50) - Pimephales promelas (黑头软口鲦鱼) - 53 - 61.3 mg/l - 96 h 12.2 持久存留性和降解性 无数据资料 12.3 潜在的生物蓄积性 无数据资料 12.4 土壤中的迁移性 无数据资料 12.5 PBT 和 vPvB的结果评价 无数据资料 12.6 其它不利的影响 对水生生物有害。 无数据资料 模块13. 废弃处置 13.1 废物处理方法 产品 将剩余的和未回收的溶液交给处理公司。 与易燃溶剂相溶或者相混合,在备有燃烧后处理和洗刷作用的化学焚化炉中燃烧 受污染的容器和包装 作为未用过的产品弃置。 模块14. 运输信息 14.1 联合国危险货物编号 欧洲陆运危规: -国际海运危规: -国际空运危规: - 14.2 联合国(UN)规定的名称 欧洲陆运危规: 非危险货物 国际海运危规: 非危险货物 国际空运危规: 非危险货物 14.3 运输危险类别 欧洲陆运危规: -国际海运危规: -国际空运危规: - 14.4 包裹组 欧洲陆运危规: -国际海运危规: -国际空运危规: - 14.5 环境危险 欧洲陆运危规: 否国际海运危规 海运污染物: 否国际空运危规: 否 14.6 对使用者的特别提醒 无数据资料 模块16. 其他信息 进一步信息 版权所有:2012 Co. LLC. 公司。许可无限制纸张拷贝,仅限于内部使用。 上述信息视为正确,但不包含所有的信息,仅作为指引使用。本文件中的信息是基于我们目前所知,就正 确的安全提示来说适用于本品。该信息不代表对此产品性质的保证。 参见发票或包装条的反面。 模块 15 - 法规信息 N/A |
| 符号 |
GHS07 |
|---|---|
| 信号词 | Warning |
| 危害声明 | H319 |
| 警示性声明 | P305 + P351 + P338 |
| 个人防护装备 | dust mask type N95 (US);Eyeshields;Gloves |
| 危害码 (欧洲) | Xn:Harmful |
| 风险声明 (欧洲) | R22 |
| 安全声明 (欧洲) | S24/25-S22 |
| 危险品运输编码 | NONH for all modes of transport |
| WGK德国 | 1 |
| RTECS号 | YW5775000 |
| 海关编码 | 2912410000 |

搜索















