多西他赛
-
中文名盐酸吉西他滨
-
英文名Docetaxel
-
中文别名N-脱苯甲酰基-N-叔丁氧羰基-10-脱乙酰基紫杉醇 | 多西他塞 | 多西他赛 | 多烯紫杉醇 | 多西紫杉醇
-
英文别名
(5β,7β,10β,13α)-4-Acetoxy-13-({(2R,3S)-3-[(tert-butoxycarbonyl)amino]-2-hydroxy-3-phenylpropanoyl}oxy)-1,7,10-trihydroxy-9-oxo-5,20-epoxytax-11-en-2-yl benzoate Benzenepropanoic acid, β-[[(1,1-dimethylethoxy)carbonyl]amino]-α-hydroxy-, (2aR,4S,4aS,6R,9S,11S,12S,12aR,12bS)-12b-(acetyloxy)-12-(benzoyloxy)-2a,3,4,4a,5,6,9,10,11,12,12a,12b-dodecahydro-4,6,11-trihydroxy-4a,8,13,13-tetramethyl-5-oxo-7,11-methano-1H-cyclodeca[3,4]benz[1,2-b]oxet-9-yl ester, (αR,βS)- Benzenepropanoic acid, β-[[(1,1-dimethylethoxy)carbonyl]amino]-α-hydroxy-, (2aR,4S,4aS,6R,9S,11S,12S,12aR,12bS)-12b-(acetyloxy)-12-(benzoyloxy)-2a,3,4,4a,5,6,9,10,11,12,12a,12b-dodecahydro-4,6, 11-trihydroxy-4a,8,13,13-tetramethyl-5-oxo-7,11-methano-1H-cyclodeca[3,4]benz[1,2-b]oxet-9-yl ester, (αR,βS)- D-2-amino-5-phosphonovaleric acid APV AP-5 DL-APV (2α,5β,7β,10β,13α)-4-Acetoxy-13-({(2R,3S)-3-[(tert-butoxycarbonyl)amino]-2-hydroxy-3-phenylpropanoyl}oxy)-1,7,10-trihydroxy-9-oxo-5,20-epoxytax-11-en-2-yl benzoate MFCD00800737 DOCETAXEL TRIHYDRATE Docetaxol 5-PHOSPHONO-DL-NORVALINE Taxotere (2α,5β,7β,10β,13α)-4-Acetoxy-1,7,10-trihydroxy-13-{[(2R,3S)-2-hydroxy-3-({[(2-methyl-2-propanyl)oxy]carbonyl}amino)-3-phenylpropanoyl]oxy}-9-oxo-5,20-epoxytax-11-en-2-yl benzoate DL-2-amino-5-phosphonovaleric acid DOCETAXEL(TAXOTERE) N-Debenzoyl-N-tert-butoxycarbonyl-10-deacetyltaxol Docetaxel N-DEBENZOYL-N-TERT-BUTOXYCARBONYL-10-DEACETYL DOCETAXEL(TAXOTERE) UK 427857 N-debenzoyl-N-Boc-10-deacetyl taxol TAXOTERE, DOCETAXEL (2α,5β,7β,10β,13α)-4-(acetyloxy)-13-({(2R,3S)-3-[(tert-butoxycarbonyl)amino]-2-hydroxy-3-phenylpropanoyl}oxy)-1,7,10-trihydroxy-9-oxo-5,20-epoxytax-11-en-2-yl benzoate 2-amino-5-phosphopentanoicacid N-debenzoyl-N-tert-butoxycarbonyl-10-deacetyl taxol 2-amino-5-phosphonovaleric acid acide amino-6 carboxy-6 hexylphosphonique 2-amino-5-phosphovaleric acid -
常用名多西他赛
-
C A S号114977-28-5
-
密度1.4±0.1 g/cm3
-
沸点900.5±65.0 °C at 760 mmHg
-
熔点186-192 °C (dec.)
-
化学式C43H53NO14
-
结构式
1、摩尔折射率:205.24
2、摩尔体积(cm3/mol):585.7
3、等张比容(90.2K):1670.8
4、表面张力(dyne/cm):66.2
5、介电常数:无可用的
6、极化率(10-24cm3):81.36
7、单一同位素质量:807.346605 Da
8、标称质量:807 Da
9、平均质量:807.8792 Da
-
闪点498.4±34.3 °C
-
分子量807.879
-
精确质量807.346619
-
P S A224.45000
-
外观形状灰白色结晶
-
储存条件
密封储存,储存于阴凉、干燥的库房。
-
稳定性
-
水溶解性
-
形态白色粉末
-
H L B值
-
粘度
-
PH值
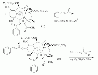
半合成以从欧洲紫杉属树木Taxus baccata L.,Taxaceae的针叶中提取得到的10-deacetylbaccatinⅢ为原料,10-deacetylbaccatin Ⅲ经酰化可得化合物(I)。
苯丙烯酸(330mg,2.24mmo1)、二环己基碳化二亚胺(DCC,460mg,2.24mmo1)、化合物(I)(500mg,0.56mmo1)和4-二甲氨基吡啶(68mg,0.56mmo1),在氩气下于70℃搅拌15h。冷却,过滤,滤饼用甲苯洗。洗液和滤液合并,减压浓缩。往残液中加入二氯甲烷,用2%盐酸水溶液洗,无水硫酸镁干燥。减压蒸出溶剂,剩下的1g残物用柱层析提纯,以己烷-乙酸乙酯(7:3)洗脱,得540mg化合物(Ⅱ),收率94%。
N-氯-N-钠氨基甲酸叔丁酯(47mg,0.27mmo1)和硝酸银(91.4mg,0.54mmo1)或其它金属盐在2ml乙腈、甲苯或吡啶中,搅拌10min。加入化合物(Ⅱ)(50mg,0.049mmo1)和0.537ml四氧化锇和叔丁醇溶液(0.1mmol/1 Ml),在室温或4℃,避光搅拌24h。过滤,往滤液中加入0.22mmol亚硫酸氢钠(2.5%水溶液),搅拌3h。用二氯甲烷提取反应液,提取液干燥,浓缩。用制备薄层层析来分离,以7:3的乙醚-己烷洗脱,得到化合物(Ⅲ)及其异构体,化合物(Ⅲ)的收率可达25%。以硝酸汞来代替硝酸银可提高收率。
化合物(Ⅲ)(0.13mmo1)和150mg锌粉在5ml甲醇-乙酸(1:1)中。在60℃下反应2h。过滤,浓缩,以乙酸乙酯提取。用层析提纯,以7:3的二氯甲烷-甲醇洗脱,得产物,收率90%。
(2R,3S)-2,3-二羟基-3-苯基丙酸乙酯的制备
在反应瓶中加入丙酮/水(体积比9:1)100ml、100mg/L的OsO4 51μ(0.02mmol)和配体(QN)2PHAL77mg(0.01mmol), 搅拌10min, 再加入N-甲基- N-氧吗啉1.76g(15mmol)、反式肉桂酸乙酯10g(15mmol),降温至0ºC,在该温度下搅拌反应24h.将反应液减压蒸去丙酮,水层用乙醚(50ml×2)提取,合并乙醚层,用无水NaSO4干燥过夜.抽滤,滤液减压蒸去乙醚,得粗品,用溶剂洗去杂质,得纯品(2R,3S)-2,3-二羟基-3-苯基丙酸乙酯2.00g,收率95%,ee为99%.
(2R,3R)-3-苯基-2,3-环氧丙酸乙酯的制备
在反应瓶中加入上步产物(2R,3S)-2,3-二羟基-3-苯基丙酸乙酯2.10g(10mmol)、CH2Cl15ml、吡啶对甲苯磺酸盐(PPTS)20mg,和原甲酸三乙酯1.5ml.在室温搅拌20min.减压蒸去溶剂,剩余物用CH2Cl2溶解,搅拌下滴加乙酰溴(CO3COBr)90μl,在室温继续搅拌30min.蒸除反应液中溶剂,剩余的黄色油状物用甲醇35ml溶解,加入无水K2CO31.8g,室温下搅拌1.5h.接将反应液倾入饱和的NH4Cl水溶液70ml中.然后用(50ml×3)提取#合并提取液,减压蒸除溶剂,得黄色油状物(2R,3R)-3-苯基-2,3-环氧丙酸乙酯1.63g,收率85%.
(2R,3S)-2-羟基-3-叠氮基-3-苯基丙酸乙酯的制备
在反应瓶中加入上步产物(2R,3R)-3-苯基-2,3-环氧丙酸乙酯1.92g(10mmol)、叠氮化钠(NaN3)3.23g(49.69mmol)、甲酸乙酯8ml和甲醇/水(体积比8:1)混合液45ml,升温至50ºC,于50ºC搅拌反应40h,将反应液中甲醇蒸除,水层用二氯甲烷(50ml×3)提取,合并提取液,用无水MgSO4干燥,过滤,滤液浓缩至干,得淡黄色油状物(2R,3S)-2-羟基-3-叠氮基-3-苯基丙酸乙酯2.23g,收率95%,不需进一步纯化,直接用于下步反应.
(2R,3S)-2-羟基-3-(N-叔丁氧羰基)氨基-3-苯基丙酸乙酯的制备
在反应瓶中加入4.4~5.0ml乙酸乙酯和10%(质量分数)Pd/C219mg,再在N2保护下加入化合物(2R,3S)-2-羟基-3-叠氮基-3-苯基丙酸乙酯[2.35g(10mmol)]的乙酸乙酯(16ml)溶液和二叔丁基二碳酸酯[(Boc)2O]2.62g(12mmol)H2置换N2,然后在H2气氛下于室温常压氢化反应48h.过滤,用少量乙酸乙酯洗滤渣,抽干,合并洗液和滤液,减压蒸除溶剂,得白色固体针状晶体(2R,3S)-2-羟基-3-(N-叔丁氧羰基)氨基-3-苯基丙酸乙酯2.87g,收率90%,mp128~129ºC.
(4S,5R)-N-叔丁氧羰基-2-(4’-2-甲氧基)苯基-4-苯基-1,3-氧氮杂戊环-5-甲酸的制备
在反应瓶中加入上步产物(2R,3S)-2-羟基-3-(N-叔丁氧羰基)氨基-3-苯基丙酸乙酯3.09g(10mmol)和吡啶对甲苯磺酸盐(PPTS)23g(0.10mmol)的甲苯10ml溶液,搅拌升温至80ºC在N2保护下滴加对甲氧基苯甲醛4.74g(100mmol)与甲苯40ml混合液,滴毕,继续搅拌反应1h.TLC跟踪确认反应完全后,减压蒸除反应液中溶剂,得淡黄色油状物.将其转移至另一单口瓶中,加甲醇50ml,将混合物充分振摇均匀后,滴加1mol/LNaOH水溶液10ml,室温下搅拌1h.减压蒸除甲醇,补加蒸馏水5ml,用乙醚(35ml×2)洗涤水相,水相用1mol/L盐酸酸化至pH1, 用二氯甲烷(50ml×3)提取,合并有机相,无水NaSO4干燥,过滤,滤液蒸除溶剂得微黄色固体,用少量正己烷洗涤固体,过滤抽干,干燥#得白色固体(4S,5R)-N-叔丁氧羰基-2-(4'-2-甲氧基)苯基-4-苯基-1,3-氧氮杂戊环-5-甲酸3.67g, 收率92%,mp132 ºC.
中间体的合成[侧链与母环---即从欧洲紫杉属树木Taxus baccata L,Taxaceae的针叶中提取得的10-脱乙酰巴卡亭Ⅲ的连接]在反应瓶中加入上步产物(4S,5R)-N-叔丁氧羰基-2-(4’-2-甲氧基)苯基-4-苯基-1,3-氧氮杂戊环-5-甲酸0.44g(1.1mmol)、10-脱乙酰巴卡亭Ⅲ0.9g(1.0mmol)、N,N-二甲氨基吡啶(DMAP)40mg(0.33mmol)和二环己基碳二亚胺(DCC)0.21g(1.0mmol)然后加入甲苯20ml,搅拌溶解,于25 ºC搅拌反应30min.将反应液用蒸馏水(10ml×2)洗涤,无水NaSO4干燥,过滤,滤液蒸除溶剂,得微黄色油状物,为侧链与母环相连接的粗品中间体的合成[侧链与母环---即从欧洲紫杉属树木Taxus baccata L,Taxaceae的针叶中提取得的10-脱乙酰巴卡亭Ⅲ, 无需进一步纯化,直接用于下一步反应.
中间体的制备(脱缩醛保护基)
在反应瓶中加入上步产物中间体的合成[侧链与母环---即从欧洲紫杉属树木Taxus baccata L,Taxaceae的针叶中提取得的10-脱乙酰巴卡亭Ⅲ油状物(一批量)、对甲基苯磺酸(PTSA)0.21g(1.2mmol)和甲醇25ml,在室温搅拌反应4h.停止反应.减压蒸除溶剂,得淡黄色固体,将该固体用乙酸乙酯20ml溶解,蒸馏水10ml洗涤,再用碳酸钠水溶液(饱和的)10ml洗涤,无水NaSO4干燥,过滤,滤液蒸除溶剂,得淡黄色油状物脱缩醛保护基粗品, 直接用于下一步反应.
(αR,βS)-β-[[(1,1-二甲基乙氧基) ]羰基]氨基]-α-羟基苯丙酸-(2αR,4S,4αS,6R,9S,11S,12S,12αR,12bS)-12b-(乙酰氧基)-12-(苯甲酰氧基)-2a,3,4,4a,5,6,9,10,11,12,12a,12b-十二氢-4,6,11-三羟基-4a,8,13,13-四甲基-5-氧代-7,11-亚甲基-1H-环十二[3,4]苯并[1,2-b]氧杂丁环/E/基酯(多烯紫杉醇)的合成在反应瓶中加入中间体脱缩醛保护基一批量和乙酸乙酯10ml,搅拌溶解#加入冰醋酸2ml和稀盐酸处理的锌粉2.61g(40mmol)在30ºC水浴保温下搅拌反应3h.反应毕#过滤#滤渣用少量乙酸乙酯洗涤,抽干,合并洗液和滤液,减压蒸除溶剂,剩余物进行硅胶柱色谱纯化[洗脱剂:乙酸乙酯/石油醚(体积比4:1)],经后处理得白色固体(αR,βS)-β-[[(1,1-二甲基乙氧基) ]羰基]氨基]-α-羟基苯丙酸-(2αR,4S,4αS,6R,9S,11S,12S,12αR,12bS)-12b-(乙酰氧基)-12-(苯甲酰氧基)-2a,3,4,4a,5,6,9,10,11,12,12a,12b-十二氢-4,6,11-三羟基-4a,8,13,13-四甲基-5-氧代-7,11-亚甲基-1H-环十二[3,4]苯并[1,2-b]氧杂丁环/E/基酯(多烯紫杉醇)0.56g,从化合物(4S,5R)-N-叔丁氧羰基-2-(4’-2-甲氧基)苯基-4-苯基-1,3-氧氮杂戊环-5-甲酸到(αR,βS)-β-[[(1,1-二甲基乙氧基) ]羰基]氨基]-α-羟基苯丙酸-(2αR,4S,4αS,6R,9S,11S,12S,12αR,12bS)-12b-(乙酰氧基)-12-(苯甲酰氧基)-2a,3,4,4a,5,6,9,10,11,12,12a,12b-十二氢-4,6,11-三羟基-4a,8,13,13-四甲基-5-氧代-7,11-亚甲基-1H-环十二[3,4]苯并[1,2-b]氧杂丁环/E/基酯(多烯紫杉醇)三步收率为64%,mp170~172 ºC(含结晶水).
|
多西他赛
修改号码:6
模块1. 化学品 产品名称: Docetaxel 修改号码: 6 模块2. 危险性概述 GHS分类 物理性危害未分类
健康危害 生殖毒性 第2级 环境危害未分类 GHS标签元素 图标或危害标志 信号词警告 危险描述怀疑会损害生育能力或胎儿 防范说明 [预防]使用前获取特定手册。 处理前必须阅读并理解所有安全措施。 使用个人所需的防护用具。 [急救措施] 如接触到或相关接触:求医/就诊。 [储存]存放处须加锁。 [废弃处置] 根据当地政府规定把物品/容器交与工业废弃处理机构。 模块3. 成分/组成信息 单一物质/混和物单一物质 化学名(中文名):多西他赛 百分比: >98.0%(HPLC) CAS编码: 114977-28-5 俗名: N-Debenzoyl-N-tert-butoxycarbonyl-10-deacetyltaxol 分子式: C43H53NO14 多西他赛 修改号码:6 模块4. 急救措施 吸入: 将受害者移到新鲜空气处,保持呼吸通畅,休息。求医/就诊。 皮肤接触: 立即去除/脱掉所有被污染的衣物。用大量肥皂和水轻轻洗。 求医/就诊。 眼睛接触:用水小心清洗几分钟。如果方便,易操作,摘除隐形眼镜。 求医/就诊。 食入: 求医/就诊。漱口。 紧急救助者的防护:救援者需要穿戴个人防护用品,比如橡胶手套和气密性护目镜。 模块5. 消防措施 合适的灭火剂:干粉,泡沫,雾状水,二氧化碳 特殊危险性:小心,燃烧或高温下可能分解产生毒烟。 特定方法:从上风处灭火,根据周围环境选择合适的灭火方法。 非相关人员应该撤离至安全地方。 周围一旦着火:如果安全,移去可移动容器。 消防员的特殊防护用具:灭火时,一定要穿戴个人防护用品。 模块6. 泄漏应急处理 个人防护措施,防护用具, 使用特殊的个人防护用品(针对有毒颗粒的P3过滤式空气呼吸器)。远离溢出物/泄露 紧急措施:处并处在上风处。 泄露区应该用安全带等圈起来,控制非相关人员进入。 环保措施:防止进入下水道。 控制和清洗的方法和材料:清扫收集粉尘,封入密闭容器。注意切勿分散。附着物或收集物应该立即根据合适的 法律法规处置。 模块7. 操作处置与储存 处理 技术措施:在通风良好处进行处理。穿戴合适的防护用具。防止粉尘扩散。处理后彻底清洗双手 和脸。 注意事项:如果可能,使用封闭系统。如果粉尘或浮质产生,使用局部排气。 操作处置注意事项:避免所有部位的接触! 贮存 储存条件:保持容器密闭。存放于凉爽、阴暗处。 存放处须加锁。 远离不相容的材料比如氧化剂存放。 包装材料:依据法律。 模块8. 接触控制和个体防护 工程控制:尽可能安装封闭体系或局部排风系统。同时安装淋浴器和洗眼器。 个人防护用品 呼吸系统防护: 防尘面具,自携式呼吸器(SCBA),供气呼吸器等。使用通过政府标准的呼吸器。依 据当地和政府法规。 手部防护:防渗手套。 眼睛防护:护目镜。如果情况需要,佩戴面具。 皮肤和身体防护:防渗防护服。如果情况需要,穿戴防护靴。 模块9. 理化特性 固体 外形(20°C): 外观: 晶体-粉末 颜色:白色类白色 多西他赛 修改号码:6 模块9. 理化特性 气味:无资料 pH:无数据资料 熔点: 188°C (分解) 沸点/沸程无资料 闪点:无资料 爆炸特性 爆炸下限:无资料 爆炸上限:无资料 密度:无资料 溶解度: [水]不溶于 [其他溶剂] 易溶于: 丙酮, 二甲基甲酰胺, 二甲亚砜 溶于: 甲醇, 乙醇, 二氯甲烷 微溶于:乙腈 log水分配系数 = 3.2 模块10. 稳定性和反应性 化学稳定性:一般情况下稳定。 危险反应的可能性:未报道特殊反应性。 须避免接触的物质氧化剂 危险的分解产物: 一氧化碳, 二氧化碳, 氮氧化物 (NOx) 模块11. 毒理学信息 急性毒性: ivn-mus LD50:156 mg/kg 对皮肤腐蚀或刺激:无资料 对眼睛严重损害或刺激:无资料 生殖细胞变异原性:无资料 致癌性: IARC =无资料 NTP =无资料 生殖毒性:无资料 RTECS 号码: DA4172750 模块12. 生态学信息 生态毒性: 鱼类:无资料 甲壳类:无资料 藻类:无资料 残留性 / 降解性:无资料 潜在生物累积 (BCF):无资料 土壤中移动性 log水分配系数: 3.2 土壤吸收系数 (Koc):无资料 亨利定律无资料 constant(PaM3/mol): 模块13. 废弃处置 如果可能,回收处理。请咨询当地管理部门。建议在可燃溶剂中溶解混合,在装有后燃和洗涤装置的化学焚烧炉中 焚烧。废弃处置时请遵守国家、地区和当地的所有法规。 多西他赛 修改号码:6 模块14. 运输信息 联合国分类:与联合国分类标准不一致 UN编号:未列明 模块15. 法规信息 《危险化学品安全管理条例》(2002年1月26日国务院发布,2011年2月16日修订): 针对危险化学品的安全使用、 生产、储存、运输、装卸等方面均作了相应的规定。 模块16 - 其他信息 N/A |
| 个人防护装备 | Eyeshields;Gloves;type N95 (US);type P1 (EN143) respirator filter |
|---|---|
| 危害码 (欧洲) | Xi:Irritant |
| 风险声明 (欧洲) | R36/37/38 |
| 安全声明 (欧洲) | 26-36/37 |
| 危险品运输编码 | 1544 |
| RTECS号 | DA4172750 |
| 包装等级 | III |
| 危险类别 | 6.1(b) |
| 海关编码 | 2932999099 |










