精吡氟禾草灵
-
中文名精吡氟禾草灵
-
英文名fluazifop-P-butyl
-
中文别名(R)-2-[4-(5-三氟甲基-2-吡啶氧基)苯氧基]丙酸丁酯 | 稳杀得 | 吡氟禾草灵 | (R)-2-{4-[(5-三氟甲基 )-2-基-吡啶基 ] 氧 基 }丙 酸丁酯 | 2-{4-[(5-三氟甲基吡啶-2-基)氧基]苯氧基}丙酸丁酯 | 精稳杀得
-
英文别名
Propanoic acid, 2-(4-((5-(trifluoromethyl)-2-pyridinyl)oxy)phenoxy)-, butyl ester, (R)- butyl (2R)-2-[4-[[5-(trifluoromethyl)-2-pyridinyl]oxy]phenoxy]propanoate Butyl (R)-2-[4-(5-trifluoromethyl-2-pyridyloxy)phenoxy]propionate Butyl (2R)-2-(4-{[5-(trifluoromethyl)-2-pyridinyl]oxy}phenoxy)propanoate Propanoic acid, 2-[4-[[5-(trifluoromethyl)-2-pyridinyl]oxy]phenoxy]-, butyl ester, (2R)- Butyl (R)-2-(4-(5-trifluoromethyl)-2-pyridyloxy)phenoxypropionate UNII-N99K0AJ91S fluazifop-P-butyl butyl (R)-2-{4-[5-(trifluoromethyl)-2-pyridyloxy]phenoxy}propionate Butyl (2R)-2-(4-{[5-(trifluoromethyl)pyridin-2-yl]oxy}phenoxy)propanoate butyl (2R)-2-[4-[5-(trifluoromethyl)pyridin-2-yl]oxyphenoxy]propanoate MFCD06199153 -
常用名精吡氟禾草灵
-
C A S号79241-46-6
-
密度1.2±0.1 g/cm3
-
沸点436.0±45.0 °C at 760 mmHg
-
熔点5ºC
-
化学式C19H20F3NO4
-
结构式
1、 摩尔折射率:91.97
2、 摩尔体积(cm3/mol):313.6
3、 等张比容(90.2K):767.2
4、 表面张力(dyne/cm):35.8
5、 极化率(10-24cm3):36.46
-
闪点217.5±28.7 °C
-
分子量383.362
-
精确质量383.134430
-
P S A57.65000
-
外观形状淡黄色液体
-
储存条件
库房通风低温干燥; 与食品原料分开储运
-
稳定性
-
水溶解性
-
形态无色液体,工业品为褐色或淡黄色。
-
H L B值
-
粘度
-
PH值
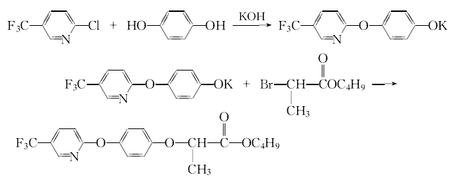
后醚化法
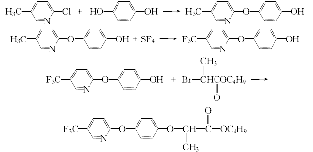
2-氯-5-三氯甲基吡啶的制备 将足够量的氯气与经预热汽化的3-甲基吡啶、四氯化碳混合气以及氮气混合物立即进入350~400℃的管式反应器中,控制汽化室温度300℃,氮气流量0.05L/min,氮气流量0.1L/min,20mL的3-甲基吡啶和212mL四氯化碳混合液以10~14滴/15s的速度滴入汽化室,45min内滴完,混合气体停留时间约10s。反应管另一端收集到的液体用水和稀碱洗涤,干燥后,减压蒸馏脱溶,再收集85~94℃/266Pa馏分。
2-氯-5-三氟甲基吡啶的制备 将11.2g烘炒过的三氟化锑加热至80℃,通入干燥的氯气,待温度升至120℃时,30min内滴入12.3g 2-氯-5-三氯甲基吡啶,微沸反应1h,冷却后加15mL浓盐酸,并进行水气蒸馏,过滤固体,萃取水层,合并油层,干燥蒸馏。
通氯的目的是使SbF3形成氟化能力更强的SbF3Cl2,但过量易产生深度氯化产物。也可采用HF代替SbF3。
据报道,以十六烷基三甲基溴化铵为相转移催化剂,于142℃,使2-氯-5-三氯甲基吡啶与氟化钾反应8h,即可得2-氯-5-三氟甲基吡啶,收率77%。
也可用烟酸为原料合成。
以吡啶为原料,目前的文献资料报道收率尚低。
2-(4-羟基苯氧基)丙酸丁酯的制备 将2.5g对苯二酚、5.4g粉末状碳酸钾在氮气保护下中入25mL丙酮、10mL四丁基碘化铵,在回流温度、1h内滴加15mL丙酮和3mL 2-溴化丙酸丁酯混合物。滴毕继续回流反应24h,反应结束经过滤、蒸出溶剂、酸化、萃取(过滤固体也经类似处理),再经脱色、干燥、减压蒸馏得一系列后处理,得2-(4-羟基苯氧基)丙酸丁酯,产率90%。
吡氟禾草灵的合成 将2g 2-氯-5-三氟甲基吡啶、2.8g碳酸钾和10mL四丁基碘化铵混合手,在氮气保护下加入20mL丙酮,加热回流,在1h内滴加20mL丙酮与2.4g 2-(4-羟基苯氧基)丙酸丁酯混合液,回流并过滤固体,脱溶,酸化(pH值6~7),萃取脱色,干燥脱溶得吡氟禾草灵,产率76%。
先醚化法
后氟化法
|
模块1. 化学品 1.1 产品标识符 : 精吡氟禾草灵 产品名称 1.2 鉴别的其他方法 Butyl (R)-2-[4-(5-trifluoromethyl-2-pyridyloxy)phenoxy]propionate
1.3 有关的确定了的物质或混合物的用途和建议不适合的用途
仅用于研发。不作为药品、家庭或其它用途。 模块2. 危险性概述 2.1 GHS-分类 易燃液体 (类别 3) 急性毒性, 经口 (类别 5) 急性毒性, 经皮 (类别 5) 皮肤刺激 (类别 3) 眼睛刺激 (类别 2B) 生殖毒性 (类别 2) 急性水生毒性 (类别 1) 2.2 GHS 标记要素,包括预防性的陈述 象形图 警示词警告 危险申明 H226易燃液体和蒸气 H303吞咽可能有害。 H313接触皮肤可能有害。 H316引起轻微皮肤刺激。 H320造成眼刺激。 H361怀疑对生育能力或胎儿造成伤害。 H400对水生生物毒性极大。 警告申明 预防措施 P201在使用前获取特别指示。 P202在读懂所有安全防范措施之前切勿操作。 P210远离热源、火花、明火和热表面。- 禁止吸烟。 P233保持容器密闭。 P240容器和接收设备接地。 P241使用防爆的电气/ 通风/ 照明 设备。 P242只能使用不产生火花的工具。 P243采取措施,防止静电放电。 P264操作后彻底清洁皮肤。 P273避免释放到环境中。 P280戴防护手套/穿防护服/戴护目镜/戴面罩. 事故响应 P303 + P361 + P353如果皮肤(或头发)接触:立即除去/脱掉所有沾污的衣物,用水清洗皮肤/淋 浴。 P305 + P351 + P338如与眼睛接触,用水缓慢温和地冲洗几分钟。如戴隐形眼镜并可方便地取 出,取出隐形眼镜,然后继续冲洗. P308 + P313如接触到或有疑虑:求医/ 就诊。 P332 + P313如觉皮肤刺激:求医/就诊。 P337 + P313如仍觉眼睛刺激:求医/就诊。 P370 + P378火灾时: 用干的砂子,干的化学品或耐醇性的泡沫来灭火。 P391收集溢出物。 安全储存 P403 + P235保持低温,存放于通风良好处。 P405存放处须加锁。 废弃处置 P501将内容物/ 容器处理到得到批准的废物处理厂。 2.3 其它危害物 - 无 模块3. 成分/组成信息 3.1 物 质 : Butyl (R)-2-[4-(5-trifluoromethyl-2-pyridyloxy)phenoxy]propionate 别名 : C19H20F3NO4 分子式 : 383.36 g/mol 分子量 组分浓度或浓度范围 Butyl (R)-2-(4-(5-trifluoromethyl)-2-pyridyloxy)phenoxypropionate - 化学文摘登记号(CAS 79241-46-6 No.) 607-305-00-3 索引编号 模块4. 急救措施 4.1 必要的急救措施描述 一般的建议 请教医生。 向到现场的医生出示此安全技术说明书。 吸入 如果吸入,请将患者移到新鲜空气处。 如呼吸停止,进行人工呼吸。 请教医生。 皮肤接触 用肥皂和大量的水冲洗。 请教医生。 眼睛接触 用大量水彻底冲洗至少15分钟并请教医生。 食入 禁止催吐。 切勿给失去知觉者通过口喂任何东西。 用水漱口。 请教医生。 4.2 主要症状和影响,急性和迟发效应 据我们所知,此化学,物理和毒性性质尚未经完整的研究。 4.3 及时的医疗处理和所需的特殊处理的说明和指示 无数据资料 模块5. 消防措施 5.1 灭火介质 灭火方法及灭火剂 用水雾,抗乙醇泡沫,干粉或二氧化碳灭火。 5.2 源于此物质或混合物的特别的危害 碳氧化物, 氮氧化物, 氟化氢 5.3 给消防员的建议 如必要的话,戴自给式呼吸器去救火。 5.4 进一步信息 用水喷雾冷却未打开的容器。 模块6. 泄露应急处理 6.1 作业人员防护措施、防护装备和应急处置程序 使用个人防护用品。 避免吸入蒸气、烟雾或气体。 保证充分的通风。 移去所有火源。 人员疏散到安全区域。 谨防蒸气积累达到可爆炸的浓度。蒸气能在低洼处积聚。 6.2 环境保护措施 如能确保安全,可采取措施防止进一步的泄漏或溢出。 不要让产品进入下水道。 一定要避免排放到周围环境中。 6.3 泄漏化学品的收容、清除方法及所使用的处置材料 围堵溢出,用防电真空清洁器或湿刷子将溢出物收集起来,并放置到容器中去,根据当地规定处理(见第13部 分)。 6.4 参考其他部分 丢弃处理请参阅第13节。 模块7. 操作处置与储存 7.1 安全操作的注意事项 避免接触皮肤和眼睛。 避免吸入蒸气和烟雾。 切勿靠近火源。-严禁烟火。采取措施防止静电积聚。 7.2 安全储存的条件,包括任何不兼容性 贮存在阴凉处。 使容器保持密闭,储存在干燥通风处。 打开了的容器必须仔细重新封口并保持竖放位置以防止泄漏。 7.3 特定用途 无数据资料 模块8. 接触控制和个体防护 8.1 容许浓度 最高容许浓度 没有已知的国家规定的暴露极限。 8.2 暴露控制 适当的技术控制 根据良好的工业卫生和安全规范进行操作。 休息前和工作结束时洗手。 个体防护设备 眼/面保护 面罩與安全眼鏡请使用经官方标准如NIOSH (美国) 或 EN 166(欧盟) 检测与批准的设备防护眼部。 皮肤保护 所选择的保护手套必须符合EU的89/686/EEC规定和从它衍生出来的EN 376标准。 戴手套取 手套在使用前必须受检查。 请使用合适的方法脱除手套(不要接触手套外部表面),避免任何皮肤部位接触此产品. 使用后请将被污染过的手套根据相关法律法规和有效的实验室规章程序谨慎处理. 请清洗并吹干双手 身体保护 防渗透的衣服, 阻燃防静电防护服, 防护设备的类型必须根据特定工作场所中的危险物的浓度和数量来选择。 呼吸系统防护 如危险性评测显示需要使用空气净化的防毒面具,请使用全面罩式多功能防毒面具(US)或ABEK型 (EN 14387)防毒面具筒作为工程控制的候补。如果防毒面具是保护的唯一方式,则使用全面罩式送风防 毒面具。 呼吸器使用经过测试并通过政府标准如NIOSH(US)或CEN(EU)的呼吸器和零件。 模块9. 理化特性 9.1 基本的理化特性的信息 a) 外观与性状 形状: 液体 颜色: 棕色 b) 气味 无数据资料 c) 气味阈值 无数据资料 d) pH值 无数据资料 e) 熔点/凝固点 20 °C f) 沸点、初沸点和沸程 154 °C 在 0.03 hPa g) 闪点 > 50 °C - 闭杯 h) 蒸发速率 无数据资料 i) 易燃性(固体,气体) 无数据资料 j) 高的/低的燃烧性或爆炸性限度 无数据资料 k) 蒸气压 < 0.0001 hPa 在 20 °C l) 蒸汽密度 无数据资料 m) 密度/相对密度 1.220 g/cm3 在 20 °C n) 水溶性 不溶 o) n-辛醇/水分配系数 辛醇--水的分配系数的对数值: 3.1 p) 自燃温度 无数据资料 q) 分解温度 无数据资料 r) 粘度 无数据资料 模块10. 稳定性和反应活性 10.1 反应性 无数据资料 10.2 稳定性 无数据资料 10.3 危险反应 无数据资料 10.4 应避免的条件 热,火焰和火花。 10.5 不相容的物质 强氧化剂 10.6 危险的分解产物 其它分解产物 - 无数据资料 模块11. 毒理学资料 11.1 毒理学影响的信息 急性毒性 半数致死剂量 (LD50) 经口 - 大鼠 - 2,712 mg/kg 半数致死浓度(LC50) 吸入 - 大鼠 - 4 h - > 5200 ppm 半数致死剂量 (LD50) 经皮 - 兔子 - > 2,000 mg/kg 皮肤刺激或腐蚀 皮肤 - 兔子 - 轻度的皮肤刺激 眼睛刺激或腐蚀 眼睛 - 兔子 - 轻度的眼睛刺激 呼吸道或皮肤过敏 无数据资料 生殖细胞致突变性 无数据资料 致癌性 IARC: 此产品中没有大于或等于 0。1%含量的组分被 IARC鉴别为可能的或肯定的人类致癌物。 生殖毒性 婴儿可能出现先天性畸形和畸形的危险 可疑人类的生殖毒物 特异性靶器官系统毒性(一次接触) 无数据资料 特异性靶器官系统毒性(反复接触) 无数据资料 吸入危险 无数据资料 潜在的健康影响 吸入吸入可能有害。 可能引起呼吸道刺激。 摄入如服入是有害的。 皮肤通过皮肤吸收可能有害。 可能引起皮肤刺激。 眼睛引起眼睛刺激。 接触后的征兆和症状 据我们所知,此化学,物理和毒性性质尚未经完整的研究。 附加说明 化学物质毒性作用登记: UA2950000 模块12. 生态学资料 12.1 生态毒性 对鱼类的毒性半数致死浓度(LC50) - 虹鳟 (红鳟鱼) - 1.07 mg/l - 96.0 h 12.2 持久性和降解性 无数据资料 12.3 潜在的生物累积性 无数据资料 12.4 土壤中的迁移性 无数据资料 12.5 PBT 和 vPvB的结果评价 无数据资料 12.6 其它不良影响 对水生生物毒性极大。 模块13. 废弃处置 13.1 废物处理方法 产品 在装备有加力燃烧室和洗刷设备的化学焚烧炉内燃烧处理,特别在点燃的时候要注意,因为此物质是高度易燃 性物质 将剩余的和不可回收的溶液交给有许可证的公司处理。 受污染的容器和包装 按未用产品处置。 模块14. 运输信息 14.1 联合国危险货物编号 欧洲陆运危规: 1993国际海运危规: 1993国际空运危规: 1993 14.2 联合国运输名称 欧洲陆运危规: FLAMMABLE LIQUID, N.O.S. (Butyl (R)-2-(4-(5-trifluoromethyl)-2- pyridyloxy)phenoxypropionate) 国际海运危规: FLAMMABLE LIQUID, N.O.S. (Butyl (R)-2-(4-(5-trifluoromethyl)-2- pyridyloxy)phenoxypropionate) 国际空运危规: Flammable liquid, n.o.s. (Butyl (R)-2-(4-(5-trifluoromethyl)-2-pyridyloxy)phenoxypropionate) 14.3 运输危险类别 欧洲陆运危规: 3国际海运危规: 3国际空运危规: 3 14.4 包裹组 欧洲陆运危规: III国际海运危规: III国际空运危规: III 14.5 环境危险 欧洲陆运危规: 否国际海运危规国际空运危规: 否 海洋污染物(是/否): 否 14.6 对使用者的特别提醒 无数据资料 模块 15 - 法规信息 N/A 模块16 - 其他信息 N/A |
| 符号 |
GHS02, GHS08, GHS09 |
|---|---|
| 信号词 | Warning |
| 危害声明 | H226-H361d-H410 |
| 警示性声明 | P273-P281-P501 |
| 个人防护装备 | Eyeshields;full-face respirator (US);Gloves;multi-purpose combination respirator cartridge (US);type ABEK (EN14387) respirator filter |
| 危害码 (欧洲) | Xn:Harmful |
| 风险声明 (欧洲) | R50/53;R63 |
| 安全声明 (欧洲) | S2-S29-S36/37-S46-S60-S61 |
| 危险品运输编码 | UN3082 9/PG 3 |
| RTECS号 | UA2950000 |

搜索










