盐酸噻氯匹定
-
中文名盐酸噻氯匹定
-
英文名Ticlopidine Hydrochloride
-
中文别名5-(邻氯苄基)-4,5,6,7-四氢噻吩并(3,2-c)吡啶 | 5-(2-氯苯甲基)-4,5,6,7-四氢噻吩并[3,2-c]吡啶盐酸盐 | 噻氯匹定盐酸盐 | 顺糖氨铂.萘达铂
-
英文别名
5-(2-Chlorobenzyl)-4,5,6,7-tetrahydrothieno[3,2-c]pyridine hydrochloride MFCD00661081 Thieno(3,2-c)pyridine, 4,5,6,7-tetrahydro-5-(o-chlorobenzyl)-, hydrochloride Thieno(3,2-c)pyridine, 5-((2-chlorophenyl)methyl)-4,5,6,7-tetrahydro-, hydrochloride 5-(2-Chlorbenzyl)-4,5,6,7-tetrahydrothieno[3,2-c]pyridinhydrochlorid 5-(2-chlorobenzyl)-4,5,6,7-tétrahydrothiéno[3,2-c]pyridine chlorhydrate Ticlopidine hydrochloride 5-(o-Chlorobenzyl)-4,5,6,7-tetrahydrothieno(3,2-c)pyridine thieno[3,2-c]pyridine, 5-[(2-chlorophenyl)methyl]-4,5,6,7-tetrahydro-, hydrochloride Thieno[3,2-c]pyridine, 5-[(2-chlorophenyl)methyl]-4,5,6,7-tetrahydro-, hydrochloride (1:1) 5-(o-Chlorobenzyl)-4,5,6,7-tetrahydrothieno[3,2-c]pyridine hydrochloride 5-(2-Chlorobenzyl)-4,5,6,7-tetrahydrothieno[3,2-c]pyridine hydrochloride (1:1) EINECS 258-837-4 Ticlopidine HCl -
常用名盐酸噻氯匹定
-
C A S号53885-35-1
-
密度N/A
-
沸点367.3ºC at 760 mmHg
-
熔点205°C
-
化学式C14H15Cl2NS
-
结构式
-
闪点175.9ºC
-
分子量300.247
-
精确质量299.030212
-
P S A31.48000
-
外观形状白色粉末
-
储存条件
保持贮藏器密封、储存在阴凉、干燥的地方,确保工作间有良好的通风或排气装置
-
稳定性
-
水溶解性
-
形态未确定
-
H L B值
-
粘度
-
PH值
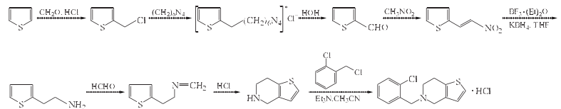
1. 2-氯甲基噻吩的制备
在反应瓶中加入噻吩42g(39.2ml,0.5mol)和浓盐酸20ml,用冰盐浴冷却,在剧烈搅拌下使快速的HCl气体气流连续地通入混合物.当温度到达0ºC时,滴加37%甲醛水溶液50ml(0.666mol),控制加入速度,使温度保持在5ºC以下,需30~50min加完.当全部甲醛液加完后,将反应混合物用乙醚(50ml×3)提取,合并乙醚提取液,依次用水和饱和NaHCO3溶液洗涤,无水CaCl2干燥,过滤,滤液蒸除溶剂,剩余物减压蒸馏(应采用合适的分馏柱),收集73~75ºC/2.26 kPa(17mmHg)馏分,得无色油状液体2-氯甲基噻吩25.7~26.7g,收率40%~41%.
2. 氯化(2-噻吩甲基)六次甲基四铵的制备
在反应瓶中加入上步反应产物2-氯甲基噻吩67g(0.5mol)、氯仿400ml和六次甲基四胺70g(0.5mol),加热至回流,搅拌缓和回流反应30min.冷却,过滤,滤饼用冷氯仿100l洗涤,压干抽干后,晾干,得氯化(2-噻吩甲基)六次甲基四铵128~136g,收率94%~99%,为白色粉末产物.
3. 2-噻吩甲醛的制备
在2000ml圆底烧瓶中加入400ml温水和上步制
备的化合物氯化(2-噻吩甲基)六次甲基四铵一批量(128~136g),把烧瓶装配成水蒸气蒸馏装置,通入水蒸气至所有的醛被蒸出为止(蒸出所有的2-噻吩甲醛要收集大约1.5L馏出液).馏出液冷却后,加6mol/L乙酸10ml(如果2-噻吩甲醛要贮存一段时间,应加入少量对苯二酚),含醛馏出液用乙醚提取0次,每次用乙醚100ml.乙醚溶液用无水氯化钙干燥,过滤,滤液蒸至体积减少到500ml左右,然后将此溶液转移到100ml克氏烧瓶中,蒸去乙醚,再减压蒸馏,收集89~91ºC/2.799kPa(21mmHg)馏分,得无色油状物2-噻吩甲醛27~30g,收率48%~53%.
4. 2-硝基乙烯噻吩的制备
在反应瓶中加入上步制备的化合物2-噻吩甲醛56g(0.5mol)、硝基甲烷61g(1mol)、甲醇1000ml,用冰盐浴冷却至0ºC以下,搅拌滴加40%氢氧化钠水溶液100g(1mol),滴加过程中维持温度在5ºC以下,约2h滴毕,继续搅拌4h.加入水300ml ,在搅拌下慢慢倒入含浓盐酸100ml的冰水中,析出黄色沉淀.过滤,水洗,干燥,得黄色固体2-硝基乙烯噻吩54g,收率70%,mp80~82ºC.
5. 2-噻吩乙胺的制备
在反应瓶中加入硼氢化钾54g(1mol)、四氢呋喃(THF)500ml,搅拌降温至0ºC,于0ºC慢慢滴加三氟化硼乙醚液150ml(1.2mol),加毕,于0~5ºC下搅拌反应2h.再搅拌滴加化合物2-硝基乙烯噻吩31g(0.2mol)的THF300ml溶液,约1h滴毕.于室温下搅拌反应24h.加入甲苯500ml.蒸馏,当内温达到90ºC时,改成回流,搅拌回流1h.冷至0ºC.加水100ml,用1mol/L盐酸500ml慢慢酸化.加热至80ºC,搅拌1h.冷至40~50ºC.分取水层,甲苯层用1mol/L盐酸200ml洗,合并水层,用NaOH溶液调pH至13.用二氯甲烷(500ml×3)提取,合并提取液,用水200ml洗涤,无水MgSO4干燥,过滤,滤液浓缩回收二氯甲烷,剩余物为油状物2-噻吩乙胺约19.5g,收率80%.
6. 2-噻吩乙基亚甲胺的制备
在反应瓶中加入上步制备的化合物2-噻吩乙胺12.7g(0.1mol),在搅拌下于室温滴加36%~37%甲醛水溶液10g(0.12mol).滴毕,搅拌回流反应3h.冷却,#用二氯甲烷(150ml×3)提取,合并提取液,用水50ml洗涤,无水MgSO4干燥,过滤,滤液浓缩,得淡黄色油状物2-噻吩乙基亚甲胺12.8g,收率92%.
7. 4,5,6,7-四氢噻吩并[3,2-c]吡啶的制备
在反应瓶中加入上步制备的化合物2-噻吩乙基亚甲胺13.9g(0.1mol)和6mol/L盐酸28ml,于室温搅拌反应6h.加入NaOH水溶液调pH至13,用二氯甲烷(200ml×3)提取,合并有机层,用水100ml洗涤,用无水MgSO4干燥.过滤,滤液浓缩回收二氯甲烷,得浅黄色油状物4,5,6,7-四氢噻吩并[3,2-c]吡啶粗品13.9g,收率100%.无需纯化,直接用于噻氯匹定的合成.
8. 2-氯氯苄的制备
在反应瓶中加入邻氯甲苯108g(0.854mol)、过氧化苯甲酰0.4g、三氯化磷0.3g,在搅拌和光照下加热至90~95ºC,通入干燥的氯气,维持反应液温度在95~100ºC,至反应液的相对密度达1.20~1.22即停止通氯气.冷却,用温水洗涤反应液数次后,用无水Na2SO4干燥,过滤,将滤液减压蒸馏,收集93~98ºC/1.33kPa馏分,得无色液体2-氯氯苄11.2g,收率82%.
9. 5-[(2-氯苯基)甲基]-4,5,6,7-四氢噻吩并[3,2-c]吡啶盐酸盐(盐酸噻氯匹定)的合成
在反应瓶中加入第七步制备的化合物4,5,6,7-四氢噻吩并[3,2-c]吡啶13.9g(0.1mol)、上步制备的化合物2-氯氯苄16.1g(0.1mol)、三乙胺15g(0.15mol)和乙腈150ml,于室温下搅拌反应4h.减压浓缩回收乙腈,加入甲苯100ml和水100ml,充分搅拌后静置分层,分取甲苯层,水层用甲苯(50ml×3)提取,合并甲苯液,用水(50ml×3)洗涤,无水MgSO4干燥.过滤,滤液用氯化氢异丙醇溶液调pH至2,搅拌30min.放冷,析出固体,过滤,得浅黄色固体.用无水乙醇重结晶,得白色固体5-[(2-氯苯基)甲基]-4,5,6,7-四氢噻吩并[3,2-c]吡啶盐酸盐(盐酸噻氯匹定)23g,收率75%,mp206~207ºC.
|
模块1. 化学品 1.1 产品标识符 : 噻氯匹定 盐酸盐 产品名称 1.2 鉴别的其他方法 5-(o-Chlorobenzyl)-4,5,6,7-tetrahydrothieno(3,2-c)pyridine
1.3 有关的确定了的物质或混合物的用途和建议不适合的用途
仅用于研发。不作为药品、家庭或其它用途。 模块2. 危险性概述 2.1 GHS-分类 急性毒性, 经口 (类别 4) 2.2 GHS 标记要素,包括预防性的陈述 象形图 警示词警告 危险申明 H302吞咽有害。 警告申明 预防措施 P264操作后彻底清洁皮肤。 P270使用本产品时不要进食、饮水或吸烟。 事故响应 P301 + P312如果吞咽并觉不适: 立即呼叫解毒中心或就医。 P330漱口。 废弃处置 P501将内容物/ 容器处理到得到批准的废物处理厂。 2.3 其它危害物 - 无 模块3. 成分/组成信息 3.1 物 质 : 5-(o-Chlorobenzyl)-4,5,6,7-tetrahydrothieno(3,2-c)pyridine 别名 : C14H14ClNS · HCl 分子式 : 300.25 g/mol 分子量 组分浓度或浓度范围 5-(o-Chlorobenzyl)-4,5,6,7-tetrahydrothieno[3,2-c]pyridinium chloride <=100% 化学文摘登记号(CAS 53885-35-1 No.) 258-837-4 EC-编号 模块4. 急救措施 4.1 必要的急救措施描述 一般的建议 请教医生。 向到现场的医生出示此安全技术说明书。 吸入 如果吸入,请将患者移到新鲜空气处。 如呼吸停止,进行人工呼吸。 请教医生。 皮肤接触 用肥皂和大量的水冲洗。 请教医生。 眼睛接触 用水冲洗眼睛作为预防措施。 食入 切勿给失去知觉者通过口喂任何东西。 用水漱口。 请教医生。 4.2 主要症状和影响,急性和迟发效应 消化系统失调, 皮炎 4.3 及时的医疗处理和所需的特殊处理的说明和指示 无数据资料 模块5. 消防措施 5.1 灭火介质 灭火方法及灭火剂 用水雾,抗乙醇泡沫,干粉或二氧化碳灭火。 5.2 源于此物质或混合物的特别的危害 碳氧化物, 氮氧化物, 硫氧化物, 氯化氢气体 5.3 给消防员的建议 如必要的话,戴自给式呼吸器去救火。 5.4 进一步信息 无数据资料 模块6. 泄露应急处理 6.1 作业人员防护措施、防护装备和应急处置程序 使用个人防护用品。 避免粉尘生成。 避免吸入蒸气、烟雾或气体。 保证充分的通风。 避免吸入粉尘。 6.2 环境保护措施 不要让产品进入下水道。 6.3 泄漏化学品的收容、清除方法及所使用的处置材料 收集和处置时不要产生粉尘。 扫掉和铲掉。 放入合适的封闭的容器中待处理。 6.4 参考其他部分 丢弃处理请参阅第13节。 模块7. 操作处置与储存 7.1 安全操作的注意事项 避免接触皮肤和眼睛。 避免形成粉尘和气溶胶。 在有粉尘生成的地方,提供合适的排风设备。一般性的防火保护措施。 7.2 安全储存的条件,包括任何不兼容性 贮存在阴凉处。 使容器保持密闭,储存在干燥通风处。 7.3 特定用途 无数据资料 模块8. 接触控制和个体防护 8.1 容许浓度 最高容许浓度 没有已知的国家规定的暴露极限。 8.2 暴露控制 适当的技术控制 根据良好的工业卫生和安全规范进行操作。 休息前和工作结束时洗手。 个体防护设备 眼/面保护 带有防护边罩的安全眼镜符合 EN166要求请使用经官方标准如NIOSH (美国) 或 EN 166(欧盟) 检测与批准的设备防护眼部。 皮肤保护 戴手套取 手套在使用前必须受检查。 请使用合适的方法脱除手套(不要接触手套外部表面),避免任何皮肤部位接触此产品. 使用后请将被污染过的手套根据相关法律法规和有效的实验室规章程序谨慎处理. 请清洗并吹干双手 所选择的保护手套必须符合EU的89/686/EEC规定和从它衍生出来的EN 376标准。 完全接触 物料: 丁腈橡胶 最小的层厚度 0.11 mm 溶剂渗透时间: 480 min 测试过的物质Dermatril® (KCL 740 / Z677272, 规格 M) 飞溅保护 物料: 丁腈橡胶 最小的层厚度 0.11 mm 溶剂渗透时间: 480 min 测试过的物质Dermatril® (KCL 740 / Z677272, 规格 M) , 测试方法 EN374 如果以溶剂形式应用或与其它物质混合应用,或在不同于EN 374规定的条件下应用,请与EC批准的手套的供应商联系。 这个推荐只是建议性的,并且务必让熟悉我们客户计划使用的特定情况的工业卫生学专家评估确认才可. 这不应该解释为在提供对任何特定使用情况方法的批准. 身体保护 全套防化学试剂工作服, 防护设备的类型必须根据特定工作场所中的危险物的浓度和数量来选择。 呼吸系统防护 如须暴露于有害环境中,请使用P95型(美国)或P1型(欧盟 英国 143)防微粒呼吸器。如需更高级别防护,请使用OV/AG/P99型(美国)或ABEK-P2型 (欧盟 英国 143) 防毒罐。 呼吸器使用经过测试并通过政府标准如NIOSH(US)或CEN(EU)的呼吸器和零件。 模块9. 理化特性 9.1 基本的理化特性的信息 a) 外观与性状 形状: 固体 b) 气味 无数据资料 c) 气味阈值 无数据资料 d) pH值 无数据资料 e) 熔点/凝固点 无数据资料 f) 沸点、初沸点和沸程 无数据资料 g) 闪点 无数据资料 h) 蒸发速率 无数据资料 i) 易燃性(固体,气体) 无数据资料 j) 高的/低的燃烧性或爆炸性限度 无数据资料 k) 蒸气压 无数据资料 l) 蒸汽密度 无数据资料 m) 密度/相对密度 无数据资料 n) 水溶性 无数据资料 o) n-辛醇/水分配系数 无数据资料 p) 自燃温度 无数据资料 q) 分解温度 无数据资料 r) 粘度 无数据资料 模块10. 稳定性和反应活性 10.1 反应性 无数据资料 10.2 稳定性 无数据资料 10.3 危险反应 无数据资料 10.4 应避免的条件 无数据资料 10.5 不相容的物质 无数据资料 10.6 危险的分解产物 其它分解产物 - 无数据资料 模块11. 毒理学资料 11.1 毒理学影响的信息 急性毒性 半数致死剂量 (LD50) 经口 - 大鼠 - 1,780 mg/kg 皮肤刺激或腐蚀 无数据资料 眼睛刺激或腐蚀 无数据资料 呼吸道或皮肤过敏 无数据资料 生殖细胞致突变性 无数据资料 致癌性 IARC: 此产品中没有大于或等于 0。1%含量的组分被 IARC鉴别为可能的或肯定的人类致癌物。 生殖毒性 生殖毒性 - 大鼠 - 经口 母体效应:分娩。 对新生儿的影响:离乳指数或哺乳指数(例如#断乳后成活每#第4天成活数)。 对新生儿的影响:生长统计数据(例如体重增长的减少)。 生殖毒性 - 大鼠 - 经口 对生殖的影响:胚胎植入后死亡率(例如总着床胚胎数中死亡和/或被再吸收的胚胎数)。 对胚胎或胎儿的影响:胎儿毒性(死亡除外,例如矮小胎儿)。 生殖毒性 - 大鼠 - 经口 对新生儿的影响:死婴。 对新生儿的影响:出生成活率(#每胎产仔数;出生后测定)。 对新生儿的影响:行为的。 生殖毒性 - 大鼠 - 经口 对新生儿的影响:身体的。 发育毒性 - 大鼠 - 经口 对胚胎或胎儿的影响:胎儿毒性(死亡除外,例如矮小胎儿)。 特定发育异常:肌肉骨骼系统。 对新生儿的影响:存活率(例如#第4天存活率每#出生成活数)。 特异性靶器官系统毒性(一次接触) 无数据资料 特异性靶器官系统毒性(反复接触) 无数据资料 吸入危险 无数据资料 潜在的健康影响 吸入吸入可能有害。 可能引起呼吸道刺激。 摄入误吞对人体有害。 皮肤通过皮肤吸收可能有害。 可能引起皮肤刺激。 眼睛可能引起眼睛刺激。 接触后的征兆和症状 消化系统失调, 皮炎 附加说明 化学物质毒性作用登记: XJ9089100 模块12. 生态学资料 12.1 生态毒性 无数据资料 12.2 持久性和降解性 无数据资料 12.3 潜在的生物累积性 无数据资料 12.4 土壤中的迁移性 无数据资料 12.5 PBT 和 vPvB的结果评价 无数据资料 12.6 其它不良影响 无数据资料 模块13. 废弃处置 13.1 废物处理方法 产品 将剩余的和不可回收的溶液交给有许可证的公司处理。 联系专业的拥有废弃物处理执照的机构来处理此物质。 与易燃溶剂相溶或者相混合,在备有燃烧后处理和洗刷作用的化学焚化炉中燃烧 受污染的容器和包装 按未用产品处置。 模块14. 运输信息 14.1 联合国危险货物编号 欧洲陆运危规: -国际海运危规: -国际空运危规: - 14.2 联合国运输名称 欧洲陆运危规: 非危险货物 国际海运危规: 非危险货物 国际空运危规: 非危险货物 14.3 运输危险类别 欧洲陆运危规: -国际海运危规: -国际空运危规: - 14.4 包裹组 欧洲陆运危规: -国际海运危规: -国际空运危规: - 14.5 环境危险 欧洲陆运危规: 否国际海运危规国际空运危规: 否 海洋污染物(是/否): 否 14.6 对使用者的特别提醒 无数据资料 模块 15 - 法规信息 N/A 模块16 - 其他信息 N/A |
| 符号 |
GHS07 |
|---|---|
| 信号词 | Warning |
| 危害声明 | H302 |
| 警示性声明 | P301 + P312 + P330 |
| 个人防护装备 | dust mask type N95 (US);Eyeshields;Gloves |
| 危害码 (欧洲) | Xn:Harmful |
| 风险声明 (欧洲) | R22 |
| 安全声明 (欧洲) | S36 |
| 危险品运输编码 | NONH for all modes of transport |
| WGK德国 | 3 |
| RTECS号 | XJ9089100 |
| 海关编码 | 2934999090 |

搜索







