提示
提示
完成工程师认证,即可发布配方
非PLUS会员您暂未开通PLUS会员,请选择您的会员套餐
套餐选择:
特权
支付方式:
支付金额:
说豆
支付金额:
说币
扫码购买使用支付宝APP扫码完成支付
支付剩余时间:
支付金额
¥
雷替曲塞

雷替曲塞

Raltitrexed是一种用于化疗的抗代谢药物,通过抑制胸苷酸合成酶起作用。
产品名称
  • 中文名
    雷替曲塞
  • 英文名
    Raltitrexed
  • 中文别名
    兰替特噻 | N-[[5-[[(1,4-二氢-2-甲基-4-氧-6-喹唑啉基)甲基]甲氨基]-2-噻吩基]羰基]-L-谷氨酸
  • 英文别名
    N-[5-[N-[(3,4-dihydro-2-methyl-4-oxy-6-quinazolinyl)-methyl]-N-methylamino]-2-thenoyl]-L-glutamic acid
    2kce
    ZD1694
    L-Glutamic acid, N-[[5-[[(1,4-dihydro-2-methyl-4-oxo-6-quinazolinyl)methyl]methylamino]-2-thienyl]carbonyl]-
    N-[(5-{methyl[(2-methyl-4-oxo-3,4-dihydroquinazolin-6-yl)methyl]amino}thiophen-2-yl)carbonyl]-L-glutamic acid
    N-[(5-{Methyl[(2-methyl-4-oxo-3,4-dihydroquinazolin-6-yl)methyl]amino}-2-thienyl)carbonyl]-L-glutamic acid
    Raltitrexed
    D1694
    ICI-D 1694
    MFCD00864168
    N-(5-[N-(3,4-dihydro-2-methyl-4-oxoquinazolin-6-ylmethyl)-N-methylamino]-2-thenoyl)-L-glutamic acid
    Tomudex
    2tsr
    N-[[5-[[(1,4-Dihydro-2-methyl-4-oxo-6-quinazolinyl)methyl]methylamino]-2-thienyl]carbonyl]-L-glutamic acid
    ICI D1694
    N-[(5-{Methyl[(2-methyl-4-oxo-1,4-dihydro-6-quinazolinyl)methyl]amino}-2-thienyl)carbonyl]-L-glutamic acid
  • 常用名
    雷替曲塞
  • C A S号
    112887-68-0
物理性质
  • 密度
    1.5±0.1 g/cm3
  • 沸点
    N/A
  • 熔点
    176-1800C
  • 化学式
    C21H22N4O6S
  • 结构式

    1、 摩尔折射率:117.35

    2、 摩尔体积(cm3/mol):306.1

    3、 等张比容(90.2K):306.1

    4、 表面张力(dyne/cm):63.0

    5、 极化率(10-24cm3):46.52

  • 闪点
    N/A
  • 分子量
    458.488
  • 精确质量
    458.126007
  • P S A
    180.93000
  • 外观形状
    黄色结晶粉末
  • 储存条件
    Hygroscopic, -20°C Freezer, Under Inert Atmosphere
  • 稳定性
  • 水溶解性
  • 形态
  • H L B值
  • 粘度
  • PH值
作用/用途
Raltitrexed是一种用于化疗的抗代谢药物,通过抑制胸苷酸合成酶起作用。
制备方法

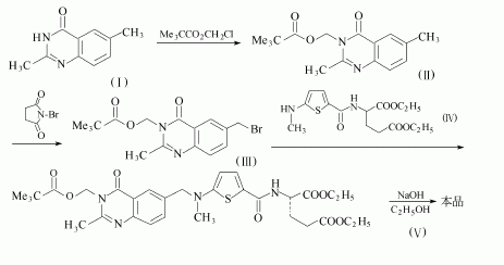
1. 2,6-二甲基-4(3H)-喹唑啉酮(I)用叔戊酰氧基甲基氯进行N烷化卮再用N-溴代丁二酰亚胺溴化,得到6-(溴甲基)-2-甲基-3-[(叔戊酰氧基)甲基]-4(3H)-喹唑啉酮(Ⅲ).(m)和N-[5-甲氨基噻吩-2-羰基]-L-谷氨酸二乙酯(IV)缩合,生成物V和氢氧化钠的乙醇水溶液在室温下搅拌水解,并同时脱保护基, 然后酸化得到产物.112887-68-0 preparation

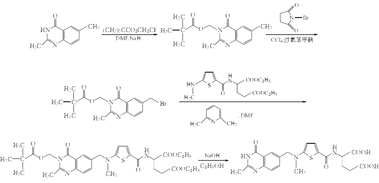
2.3,4-二氢-2,6-二甲基-3-新戊酰氧基甲基/喹唑啉-4-酮的制备

在反应瓶中加入3,4-二氢-2,6-二甲基喹唑啉-4-酮(按文献[9]方法制备或外购)3.0g和二甲基甲酰胺50ml,搅拌溶解,在室温搅拌下向该溶液加入氢化钠(NaH)1.08g,将混合物于室温搅拌1h.再加入氯甲基新戊酸酯3.36g溶

于二甲基甲酰胺10ml的溶液,混合物于室温搅拌反应18h.然后将反应液倾入饱和食盐水200ml中,用乙醚(50ml×4)提取,合并乙醚层,无水NaSO4干燥.过滤,滤液蒸发至干,剩余物经硅胶柱色谱纯化[洗脱剂:二氯甲烷/乙酸乙酯(体积比9:1)].经后处理,产物再用石油醚(bp60~80 ºC)结晶,得3,4-二氢-2,6-二甲基-3-新戊酰氧基甲基/喹唑啉-4-酮0.92g,mp98~100 ºC.

3. 6-溴甲基-3,4-二氢-2-甲基-3-新戊酰氧基甲基喹唑啉-4-酮的制备

在反应瓶中加入上述化合物3,4-二氢-2,6-二甲基-3-新戊酰氧基甲基/喹唑啉-4-酮0.92g、四氯

化碳50ml、N-溴代琥珀酰亚胺0.624g和过氧苯甲酰0.025g(催化量)搅拌混合,缓慢升温至回流,在回流下搅拌反应2h.冷却至室温将反应液通过装填硅酸镁25h的柱色谱,用四氯化碳洗脱,洗脱液减压下蒸发至干,得固体剩余物6-溴甲基-3,4-二氢-2-甲基-3-新戊酰氧基甲基喹唑啉-4-酮6-溴甲基-3,4-二氢-2-甲基-3-新戊酰氧基甲基喹唑啉-4-酮1.6g,mp144~145 ºC.

4.N-[5-(甲基氨基)-2-噻吩甲酰基]-L-谷氨酸二乙酯的制备

在反应瓶中加入2-噻吩羧酸300g(2.34mol)、叔丁醇2500ml,搅拌溶解.在保持温度恒定在20~25C下滴加三乙胺325ml(2.34mol),滴毕,再加入二苯基磷酰叠氮化物(DPPA)517ml(2.4mol). 将混合物搅拌回流12h.冷却,黄色反应液倾倒入冰水7000ml中, 产生白色沉淀,过滤#滤饼用水洗净,于35 ºC下真空干燥得2-[N-(叔丁氧羰基)氨基],噻吩431g,收率92%,mp147~148 ºC.

在滴液漏斗中加入2-[N-(叔丁氧羰基)氨基]噻吩100g(0.502mol)溶于DMF300ml溶液,将其滴入悬浮于DMF300ml中的NaH23.1g(分散于油中,55%含量,0.53mol) 的悬浮液中(滴加过程中温度不超过5 ºC,并用氩气保护,用冰浴冷却).滴毕,在0~5 ºC继续搅拌30min,再在搅拌下和15 ºC以下滴加甲基碘3.14g(0.50mol).滴毕,再在20 ºC连续搅拌16h.加入水200ml终止反应,用乙醚(1500ml×4)提取,合并乙醚层,用水洗和盐水

洗,干燥,过滤,滤液浓缩蒸除溶剂,得2-[N-(叔丁氧羰基)-N-甲基氨基]噻吩的黄色油状物123g,将其用硅胶柱色谱纯化[洗脱剂为己烷/二氯甲烷(体积比1:1)]得精制的2-[N-(叔丁氧羰基)-N-甲基氨基]噻吩油状物83.3g, 收率78%.

反应瓶中加入二异丙胺30ml0.21mol)和THF200ml搅拌溶解,在氩气保护下,于-78 ºC滴加1.6mol/L正丁基锂的己烷溶液119ml,滴加过程中应保持温度低于-50 ºC.滴毕,于-78 ºC下搅拌反应30min.然后在低于-60 ºC下滴加2-[N-(叔丁氧羰基)-N-甲基氨基]噻吩40.8g(0.19mol)溶于THF200ml的溶液,滴毕,在-78 ºC继续搅拌反应30min.然后在防潮情况下小心地少量分批加入粉碎的固体CO2200g(4.54mol)( 保持温度低于-50 ºC).将反应混合物慢慢升温至20 ºC.在该温度下搅拌反应过夜.将反应液倒入水2L中,加入粉状柠檬酸调至pH5,过滤出白色沉淀固体,水洗,真空干燥得5-[N-(叔丁氧基羰基)-N-甲基氨基]-2-噻吩羧酸(A)39.8g,收率81%,mp210~211 ºC (分解)

在反应瓶中加入上步产物39g(0.152mol)和DMF60ml溶于CH2Cl2 300ml,溶液,搅拌,于30min.内向该混合物加入草酰氯22.9g(0.27mol), 加毕,继续搅拌30min后,将反应液低于30ºC下蒸发至干,得粗制的酰基氯黏性固体在真空下(0.1mmHg)干燥1h.

在反应瓶中加入谷氨酸二乙酯盐酸盐36.15g(0.152mol)和CH2Cl2 260ml ,搅拌溶解,在氩气保护下加入三乙胺34.0g(0.24mol), 在冰浴冷却下,冷至10ºC,再加入上述制备的粗制酰基氯溶于CH2Cl2 200ml溶液. 加料时保持温度低于15 ºC ,加毕,于同温度下搅拌反应过夜.得到暗绿色混合物,用水(200ml×2)洗涤,水层(水洗液)用CH2Cl2 400ml提取,合并有机层,干燥,滤去干燥剂的滤液蒸除溶剂得黑色剩余物,将其通过硅胶柱色谱纯化[洗脱剂为0~5%(体积分数)梯度的乙酸乙酯的CH2Cl2溶液],得粗制谷氨酸衍生物74g.在反应瓶中加入谷氨酸衍生物74g和CF3COOH3 50ml,控温20~25 ºC下搅拌反应16h后将CF3COOH3蒸除#剩余物加入NaHCO3水溶液1L, 用CH2Cl2(500ml×3) 提取,合并CH2Cl2层,用无水Na2SO4干燥,过滤,滤液浓缩得油状物,将其油状物经硅胶柱色谱纯化[洗脱剂为10%(体积分数)乙酸乙酯的CH2Cl2溶液],得N-[5-(甲基氨基)-2-噻吩甲酰基]-L-谷氨酸二乙酯33.35g(为黏稠棕色油状物),收率58%.

5.N-[[5-[[(1,4-二氢-2-甲基-3-新戊酰氧甲基-4-氧-6-喹唑啉基)甲基]甲氨基]-2-噻吩基]L-谷氨酸二乙酯的制备

在反应瓶中加入N-[5-(甲基氨基)-2-噻吩甲酰基]-L-谷氨酸二乙酯1.5g(4.4mmol) 、6-溴甲基-3,4-二氢-2-甲基-3-新戊酰氧基甲基喹唑啉-4-酮1.71g(4.7mmol) 、2,6-二甲基吡啶0.47g(510μl,4.4mol)和DMF26ml,搅拌溶解.该混合物于60 ºC和氩气保护下搅拌反应18h.冷却#混合物在低于40ºC下蒸发至干,余物经硅胶柱色谱纯化(脱剂:1%甲醇的乙酸乙酯溶液),得N-[[5-[[(1,4-二氢-2-甲基-3-新戊酰氧甲基-4-氧-6-喹唑啉基)甲基]甲氨基]-2-噻吩基]L-谷氨酸二乙酯340mg, 收率15%

6. N-[[5-[[(1,4-二氢-2-甲基-4-氧-6-喹唑啉基)甲基]甲氨基]-2-噻吩基]羰基]-L-谷氨酸(兰替特噻)的合成

在反应瓶中加入N-[[5-[[(1,4-二氢-2-甲基-3-新戊酰氧甲基-4-氧-6-喹唑啉基)甲基]甲氨基]-2-噻吩基]L-谷氨酸二乙酯340mg(0.66mmol)、加入5ml和1mol/LNaOH水溶液6.6ml(6.6mmol),在氩气保护下搅拌反应2h.将反应液过滤,液用2mol/L盐酸调至Ph3.0,生沉淀,沉淀过滤,滤饼用水洗至无卤离子存在.潮湿产物经干燥,得129mg, 收率41%,mp180~184 ºC.

112887-68-0 preparation

安全提醒
MSDS
原料简介
应用范围
毒性和生态
安全信息
危害码 (欧洲) Xi: Irritant;
风险声明 (欧洲) R36/38
安全声明 (欧洲) S26-S36/37/39-S45-S25
危险品运输编码 UN 3265 8/PG 2
WGK德国 3
包装等级 II
危险类别 8
是否危险品
危险性
危险类别码
危险等级
触发危险方式
安全技术说明书
环境影响程度
包装与储运
相关供应商