辛伐他汀
- 
                                   中文名辛伐他汀
 - 
                                   英文名Simvastatin
 - 
                                   中文别名斯伐他汀 | 西伐斯汀 | 塞瓦停 | 舒降脂
 - 
                                   英文别名
2,2-Dimethylbutanoic acid (1S,3R,7S,8S,8aR)-1,2,3,7,8,8a-hexahydro-3,7-dimethyl-8-[2-[(2R,4R)-tetrahydro-4-hydroxy-6-oxo-2H-pyran-2-yl]ethyl]-1-naphthalenyl ester Lipex 2,2-Dimethylbutyric Acid 8-Ester with (4R,6R)-6-[2-[(1S,2S,6R,8S,8aR)-1,2,6,7,8,8a-Hexahydro-8-hydroxy-2,6-dimethyl-1-naphthyl]ethyl]tetrahydro-4-hydroxy-2H-pyran-2-one Velostatin (1S,3R,7S,8S,8aR)-8-{2-[(2R,4R)-4-Hydroxy-6-oxotetrahydro-2H-pyran-2-yl]ethyl}-3,7-dimethyl-1,2,3,7,8,8a-hexahydro-1-naphthalenyl 2,2-dimethylbutanoate ZOCOR (1S,3R,7S,8S,8aR)-8-{2-[(2R,4R)-4-hydroxy-6-oxotetrahydro-2H-pyran-2-yl]ethyl}-3,7-dimethyl-1,2,3,7,8,8a-hexahydronaphthalen-1-yl 2,2-dimethylbutanoate Simvotin Corolin MFCD00072007 Cholestat Butanoic acid, 2,2-dimethyl-, (1S,3R,7S,8S,8aR)-1,2,3,7,8,8a-hexahydro-3,7-dimethyl-8-[2-[(2R,4R)-tetrahydro-4-hydroxy-6-oxo-2H-pyran-2-yl]ethyl]-1-naphthalenyl ester Colemin Coledis Simvastatin EINECS 404-520-2 Kolestevan Lipovas Nor-Vastina Zocord Liponorm Lipinorm Modutrol [1S-[1a,3a,7b,8b(2S*,4S*),8ab]]-2,2-Dimethylbutanoic Acid1,2,3,7,8,8a-Hexahydro-3,7-dimethyl-8-[2-(tetrahydro-4-hydroxy-6-oxo-2H-pyran-2-yl)ethyl]-1-naphthalenyl Ester Eucor simcor Denan simvasterol Rechol Valemia Sivastin  - 
                                   常用名辛伐他汀
 - 
                                   C A S号79902-63-9
 
- 
                                    密度1.1±0.1 g/cm3
 - 
                                    沸点564.9±50.0 °C at 760 mmHg
 - 
                                    熔点139 °C
 - 
                                    化学式C25H38O5
 - 
                                    结构式
1、 摩尔折射率:116.37
2、 摩尔体积(cm3/mol):376.5
3、 等张比容(90.2K):964.6
4、 表面张力(dyne/cm):43.0
5、 介电常数:
6、 偶极距(10-24cm3):
7、 极化率:46.13
 - 
                                    闪点184.8±23.6 °C
 - 
                                    分子量418.566
 - 
                                    精确质量418.271912
 - 
                                    P S A72.83000
 - 
                                    外观形状白色至灰白色结晶粉末
 - 
                                    储存条件
存放在密封容器内,并放在阴凉,干燥处。储存的地方必须远离氧化剂。避光保存。
 - 
                                    稳定性
 - 
                                    水溶解性
 - 
                                    形态白色结晶性粉末。
 - 
                                    H L B值
 - 
                                    粘度
 - 
                                    PH值
 
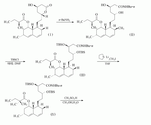
洛伐他汀(Lovastatin)(I,50.30g,0.124mo1)和正丁胺(42ml,0.42mo1),在25℃:混合,然后在80℃下加热1h。冷却25℃,减压蒸出过量的正丁胺,得59.4g化合物(Ⅱ),收率100%,直接用于下步反应。
上述得到化合物(Ⅱ)的粗品,在25℃溶于132ml二甲基甲酰胺,加人咪唑(19.59g,0.288mo1)和叔丁基二甲基氯化硅(TBSCl,44.4g,0.288mo1),在60℃下加热6h。冷至12℃,加入无水甲醇(5.8ml,0.143mo1),在15℃下搅拌30min,加入1.5 L环己烷和750ml 5%碳酸氢钠溶液,剧烈搅拌。分层,分出环己烷层,用750ml 5%碳酸氢钠溶液和750ml水洗。在常压浓缩至.580ml,再加入经分子筛干燥的600ml四氢呋喃,再常压浓缩至870ml。HPLC显示其中有86.9g化合物(Ⅲ),收率99%,直接用于下步反应。
经分子筛干燥的吡咯烷(25.1ml,0.301mo1)和192ml四氢呋喃混合,冷至-18℃,加入正丁基锂的己烷溶液(1.60mol/L,181ml,0.290mo1),维持在-10℃,约15min加毕,然后在-20℃再反应15min。如此得到的吡咯烷基锂溶液,冷至-20℃备用。将上述得到的化合物(Ⅲ)的四氢呋喃-环己烷溶液冷至-35℃,在剧烈搅拌下,加入冷至-20℃的吡咯烷基锂溶液,维持在-30℃。加毕,在-35~-30℃搅拌2h,然后一次性加入碘甲烷(12.2ml,0.196mo1),此时因放热反应,温度会升至20℃,再冷至-30℃,并在此温度搅拌1h。升至-10℃,再搅拌20min。加入550ml水,剧烈搅拌10min,分出有机层,用550ml 10℃的1mol/L盐酸洗。减压浓缩至20%体积,其中含化合物(Ⅳ),直接用于下步反应。
往上述得到的化合物(Ⅳ)的溶液中加入690ml甲醇,再加入45.7ml水和甲磺酸(1.5ml,0.023mo1),在30℃搅拌5h,即形成化合物(V),直接用于下步反应。
往上述得到的化合物(V)的溶液中,在25℃加入373ml 2mol/L氢氧化钠溶液,在常压下加热,并进行蒸馏,当气相温度达到72~73℃,液相温度达到78~80℃时,不再收集蒸出馏。剩下的溶液搅拌回流2h,再冷至40℃。减压蒸出大部分甲醇,再加入228ml水加以稀释。冷至10℃,用3mol/L盐酸调至PH=6~7。加入990ml乙酸乙酯,用3mol/L盐酸继续调至Ph=5.0。搅拌后分层,分出乙酸乙酯层,加入225ml甲醇。在1h中,加入75ml氨水-甲醇(1:3)的溶液,然后在45℃搅拌15min。在2.5h中,缓慢冷至-10℃,并在-10℃:搅拌1~2h。滤出铵盐(Ⅵ)结晶,用冷的乙酸乙酯-甲醇(3.5:1)洗,在35℃干燥过夜,得51.37铵盐(Ⅵ),收率90.9%(以洛伐他汀计)。用乙腈重结晶可得到分析用的样品。
将该铵盐(Ⅵ)的粗品悬浮于1.03L甲苯中,通入氮气于100℃加热6h。冷至25℃,加入2.5g Darco KB,在25℃搅拌30min。过滤,滤液减压浓缩至油状物,加入140ml环己烷,再浓缩。再加入600ml环己烷,回流全溶。冷至10℃,搅拌1h。过滤收集结晶,用250ml冷环己烷洗,真空30~35℃干燥,得44.6g辛伐他丁,收率94.2%。以甲醇-水重结晶,得到分析用的样品。
| 
			  	 模块1. 化学品 1.1 产品标识符 : Simvastatin 产品名称 1.2 鉴别的其他方法 无数据资料  
1.3 有关的确定了的物质或混合物的用途和建议不适合的用途
 
			  	
				仅用于研发。不作为药品、家庭或其它用途。 模块2. 危险性概述 2.1 GHS-分类 急性毒性, 经口 (类别 5) 2.2 GHS 标记要素,包括预防性的陈述 象形图无 警示词警告 危险申明 H303吞咽可能有害。 警告申明无 2.3 其它危害物 - 无 模块3. 成分/组成信息 3.1 物 质 : C25H38O5 分子式 : 418.57 g/mol 分子量 组分浓度或浓度范围 Simvastatin <=100% 化学文摘登记号(CAS79902-63-9 No.) 模块4. 急救措施 4.1 必要的急救措施描述 一般的建议 请教医生。 向到现场的医生出示此安全技术说明书。 吸入 如果吸入,请将患者移到新鲜空气处。 如呼吸停止,进行人工呼吸。 请教医生。 皮肤接触 用肥皂和大量的水冲洗。 请教医生。 眼睛接触 用水冲洗眼睛作为预防措施。 食入 切勿给失去知觉者通过口喂任何东西。 用水漱口。 请教医生。 4.2 主要症状和影响,急性和迟发效应 据我们所知,此化学,物理和毒性性质尚未经完整的研究。 4.3 及时的医疗处理和所需的特殊处理的说明和指示 无数据资料 模块5. 消防措施 5.1 灭火介质 灭火方法及灭火剂 用水雾,抗乙醇泡沫,干粉或二氧化碳灭火。 5.2 源于此物质或混合物的特别的危害 碳氧化物 5.3 给消防员的建议 如必要的话,戴自给式呼吸器去救火。 5.4 进一步信息 无数据资料 模块6. 泄露应急处理 6.1 作业人员防护措施、防护装备和应急处置程序 使用个人防护用品。 避免粉尘生成。 避免吸入蒸气、烟雾或气体。 避免吸入粉尘。 6.2 环境保护措施 不要让产品进入下水道。 6.3 泄漏化学品的收容、清除方法及所使用的处置材料 收集和处置时不要产生粉尘。 扫掉和铲掉。 放入合适的封闭的容器中待处理。 6.4 参考其他部分 丢弃处理请参阅第13节。 模块7. 操作处置与储存 7.1 安全操作的注意事项 避免形成粉尘和气溶胶。 在有粉尘生成的地方,提供合适的排风设备。 7.2 安全储存的条件,包括任何不兼容性 贮存在阴凉处。 使容器保持密闭,储存在干燥通风处。 建议的贮存温度: 2 - 8 °C 7.3 特定用途 无数据资料 模块8. 接触控制和个体防护 8.1 容许浓度 最高容许浓度 没有已知的国家规定的暴露极限。 8.2 暴露控制 适当的技术控制 根据良好的工业卫生和安全规范进行操作。 休息前和工作结束时洗手。 个体防护设备 眼/面保护 请使用经官方标准如NIOSH (美国) 或 EN 166(欧盟) 检测与批准的设备防护眼部。 皮肤保护 戴手套取 手套在使用前必须受检查。 请使用合适的方法脱除手套(不要接触手套外部表面),避免任何皮肤部位接触此产品. 使用后请将被污染过的手套根据相关法律法规和有效的实验室规章程序谨慎处理. 请清洗并吹干双手 所选择的保护手套必须符合EU的89/686/EEC规定和从它衍生出来的EN 376标准。 完全接触 物料: 丁腈橡胶 最小的层厚度 0.11 mm 溶剂渗透时间: 480 min 测试过的物质Dermatril® (KCL 740 / Z677272, 规格 M) 飞溅保护 物料: 丁腈橡胶 最小的层厚度 0.11 mm 溶剂渗透时间: 480 min 测试过的物质Dermatril® (KCL 740 / Z677272, 规格 M) , 测试方法 EN374 如果以溶剂形式应用或与其它物质混合应用,或在不同于EN 374规定的条件下应用,请与EC批准的手套的供应商联系。 这个推荐只是建议性的,并且务必让熟悉我们客户计划使用的特定情况的工业卫生学专家评估确认才可. 这不应该解释为在提供对任何特定使用情况方法的批准. 身体保护 根据危险物质的类型,浓度和量,以及特定的工作场所选择身体保护措施。, 防护设备的类型必须根据特定工作场所中的危险物的浓度和数量来选择。 呼吸系统防护 不需要保护呼吸。如需防护粉尘损害,请使用N95型(US)或P1型(EN 143)防尘面具。 呼吸器使用经过测试并通过政府标准如NIOSH(US)或CEN(EU)的呼吸器和零件。 模块9. 理化特性 9.1 基本的理化特性的信息 a) 外观与性状 形状: 固体 颜色: 白色 b) 气味 无数据资料 c) 气味阈值 无数据资料 d) pH值 无数据资料 e) 熔点/凝固点 熔点/凝固点: 127 - 132 °C f) 沸点、初沸点和沸程 无数据资料 g) 闪点 无数据资料 h) 蒸发速率 无数据资料 i) 易燃性(固体,气体) 无数据资料 j) 高的/低的燃烧性或爆炸性限度 无数据资料 k) 蒸气压 无数据资料 l) 蒸汽密度 无数据资料 m) 密度/相对密度 无数据资料 n) 水溶性 无数据资料 o) n-辛醇/水分配系数 无数据资料 p) 自燃温度 无数据资料 q) 分解温度 无数据资料 r) 粘度 无数据资料 模块10. 稳定性和反应活性 10.1 反应性 无数据资料 10.2 稳定性 无数据资料 10.3 危险反应 无数据资料 10.4 应避免的条件 无数据资料 10.5 不相容的物质 强氧化剂 10.6 危险的分解产物 其它分解产物 - 无数据资料 模块11. 毒理学资料 11.1 毒理学影响的信息 急性毒性 半数致死剂量 (LD50) 经口 - 大鼠 - 4,438 mg/kg 备注: 行为的:睡眠时间改变(包括正位反射的改变)。 行为的:嗜睡(全面活力抑制)。 胃肠的:其他变化 半数致死剂量 (LD50) 腹膜内的 - 大鼠 - 705 mg/kg 备注: 感觉器官和特殊感觉(鼻、眼、耳和味觉):眼:流泪。 行为的:肌肉收缩或痉挛 皮肤刺激或腐蚀 无数据资料 眼睛刺激或腐蚀 无数据资料 呼吸道或皮肤过敏 无数据资料 生殖细胞致突变性 无数据资料 致癌性 IARC: 此产品中没有大于或等于 0。1%含量的组分被 IARC鉴别为可能的或肯定的人类致癌物。 生殖毒性 生殖毒性 - 大鼠 - 经口 对新生儿的影响:行为的。 生殖毒性 - 大鼠 - 经口 对新生儿的影响:生长统计数据(例如体重增长的减少)。 发育毒性 - 大鼠 - 经口 对胚胎或胎儿的影响:胎儿毒性(死亡除外,例如矮小胎儿)。 特异性靶器官系统毒性(一次接触) 无数据资料 特异性靶器官系统毒性(反复接触) 无数据资料 吸入危险 无数据资料 潜在的健康影响 吸入吸入可能有害。 可能引起呼吸道刺激。 摄入如服入是有害的。 皮肤通过皮肤吸收可能有害。 可能引起皮肤刺激。 眼睛可能引起眼睛刺激。 接触后的征兆和症状 据我们所知,此化学,物理和毒性性质尚未经完整的研究。 附加说明 化学物质毒性作用登记: EK7798000 模块12. 生态学资料 12.1 生态毒性 无数据资料 12.2 持久性和降解性 无数据资料 12.3 潜在的生物累积性 无数据资料 12.4 土壤中的迁移性 无数据资料 12.5 PBT 和 vPvB的结果评价 无数据资料 12.6 其它不良影响 无数据资料 模块13. 废弃处置 13.1 废物处理方法 产品 将剩余的和不可回收的溶液交给有许可证的公司处理。 与易燃溶剂相溶或者相混合,在备有燃烧后处理和洗刷作用的化学焚化炉中燃烧 受污染的容器和包装 按未用产品处置。 模块14. 运输信息 14.1 联合国危险货物编号 欧洲陆运危规: -国际海运危规: -国际空运危规: - 14.2 联合国运输名称 欧洲陆运危规: 非危险货物 国际海运危规: 非危险货物 国际空运危规: 非危险货物 14.3 运输危险类别 欧洲陆运危规: -国际海运危规: -国际空运危规: - 14.4 包裹组 欧洲陆运危规: -国际海运危规: -国际空运危规: - 14.5 环境危险 欧洲陆运危规: 否国际海运危规国际空运危规: 否 海洋污染物(是/否): 否 14.6 对使用者的特别提醒 无数据资料 上述信息视为正确,但不包含所有的信息,仅作为指引使用。本文件中的信息是基于我们目前所知,就正 确的安全提示来说适用于本品。该信息不代表对此产品性质的保证。 参见发票或包装条的反面。 模块 15 - 法规信息 N/A 模块16 - 其他信息 N/A  | 
				
| 个人防护装备 | Eyeshields;Gloves;type N95 (US);type P1 (EN143) respirator filter | 
|---|---|
| 危害码 (欧洲) | Xi: Irritant; | 
| 风险声明 (欧洲) | R36/37/38 | 
| 安全声明 (欧洲) | 26-36 | 
| 危险品运输编码 | 3077 | 
| RTECS号 | EK7798000 | 
| 包装等级 | III | 
| 危险类别 | 9 | 
        
                                    
                    
                
            






