4,4’,4"-三氨基三苯甲烷
Tris(4-aminophenyl)methane 是一种三苯甲烷类染料。Tris(4-aminophenyl)methane 是一种稍弱的 HCV 解旋酶 (HCV helicase) 抑制剂。
产品名称
-
中文名4,4’,4"-三氨基三苯甲烷
-
英文名Tris(4-aminophenyl)methane
-
中文别名4,4`,4```-三氨基三苯甲烷 | 三(4-苯胺基)甲烷 | 副品红隐色基
-
英文别名
EINECS 208-952-0 4-[bis(4-aminophenyl)methyl]aniline Tris(4-aminophenyl)methane -
常用名4,4’,4"-三氨基三苯甲烷
-
C A S号548-61-8
物理性质
-
密度1.208g/cm3
-
沸点540.9ºC at 760mmHg
-
熔点N/A
-
化学式C19H19N3
-
结构式
1、 摩尔折射率:92.67
2、 摩尔体积(cm3/mol):239.5
3、 等张比容(90.2K):668.7
4、 表面张力(dyne/cm):60.7
5、 极化率(10-24cm3):36.73
-
闪点316.7ºC
-
分子量289.37400
-
精确质量289.15800
-
P S A78.06000
-
外观形状
-
储存条件
-
稳定性
-
水溶解性
-
形态
-
H L B值
-
粘度
-
PH值
作用/用途
Tris(4-aminophenyl)methane 是一种三苯甲烷类染料。Tris(4-aminophenyl)methane 是一种稍弱的 HCV 解旋酶 (HCV helicase) 抑制剂。
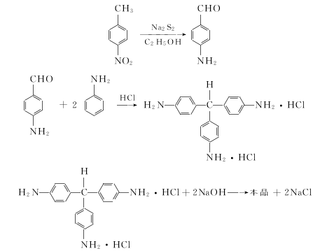
制备方法
用氢氧化钠溶液、硫黄配制多硫化钠,用多硫化钠作还原剂,在乙醇介质中将对硝基甲苯氧化还原,生成对氨基苯甲醛。后者在盐酸存在下与苯胺缩合,生成三(4-氨基苯基)甲烷盐酸盐,经烧碱中和、蒸出苯胺,再经盐酸酸化、活性炭脱色、液碱中和、干燥、粉碎,得成品。合成反应式如下
安全提醒
MSDS
原料简介
应用范围
毒性和生态
安全信息
| 海关编码 | 2921420090 |
|---|
是否危险品
危险性
危险类别码
危险等级
触发危险方式
安全技术说明书
环境影响程度
包装与储运
相关供应商

搜索







