 
                        诺氟沙星
                                
					Norfloxacin是广谱抗生素,能通过结合DNA旋转酶抑制革兰氏阳性和阴性菌。
					 
					
				                            
                        产品名称
                           - 
                                   中文名氟哌酸
- 
                                   英文名Norfloxacin
- 
                                   中文别名1-乙基-6-氟-1,4-二氢-4-氧代-7-(1-哌嗪基)-3-喹啉羧酸 | 诺氟沙星
- 
                                   英文别名Zomxin 1-Ethyl-6-fluoro-4-oxo-7-(1-piperazinyl)-1,4-dihydro-3-quinolinecarboxylic acid Fulgram Barazan NORFLOXACINE CHIBROXIN Noflo Utinor EINECS 274-614-4 Nolicin Sebercim Chibroxol Zoroxin 4803P 3-Quinolinecarboxylic acid, 1-ethyl-6-fluoro-1,4-dihydro-4-oxo-7-(1-piperazinyl)- am-715 MFCD08060466 1-ethyl-6-fluoro-4-oxo-7-piperazinyl-1,4-dihydro-quinoline-3-carboxylic acid Norfloxacin 1-ethyl-6-fluoro-4-oxo-7-piperazin-1-yl-1,4-dihydroquinoline-3-carboxylic acid Floxacin 1-ethyl-6-fluoro-7-piperazino-4-oxo-1,4-dihydro-quinoline-3-carboxylic acid Noroxin Lexinor 1-ethyl-6-fluoro-4-oxo-7-(piperazin-1-yl)-1,4-dihydroquinoline-3-carboxylic acid 
- 
                                   常用名诺氟沙星
- 
                                   C A S号70458-96-7
物理性质
                            - 
                                    密度1.3±0.1 g/cm3
- 
                                    沸点555.8±50.0 °C at 760 mmHg
- 
                                    熔点220°C
- 
                                    化学式C16H18FN3O3
- 
                                    结构式1、 摩尔折射率:80.70 2、 摩尔体积(cm3/mol):237.4 3、 等张比容(90.2K):641.2 4、 表面张力(dyne/cm):53.1 5、 极化率(10-24cm3):31.99 
- 
                                    闪点289.9±30.1 °C
- 
                                    分子量319.331
- 
                                    精确质量319.133209
- 
                                    P S A74.57000
- 
                                    外观形状灰白色至淡黄色结晶粉末
- 
                                    储存条件存放在密封容器内,并放在阴凉,干燥处,2-8 ºC保存。 
- 
                                    稳定性
- 
                                    水溶解性
- 
                                    形态类白色至淡黄色结晶性粉末。无臭,味微苦。
- 
                                    H L B值
- 
                                    粘度
- 
                                    PH值
作用/用途
                            
                                
					Norfloxacin是广谱抗生素,能通过结合DNA旋转酶抑制革兰氏阳性和阴性菌。
					 
					
				                            
                        制备方法
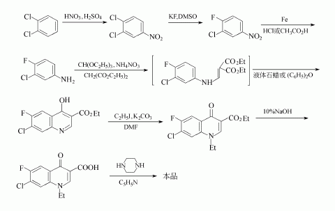
                            邻二氯苯经硝化,或对硝基氯苯经氯化均可得3,4-二氯硝基苯。再在二甲亚砜中,和氟化钾回流,氟化得3-氯-4-氟硝基苯。在盐酸或乙酸水溶液存在下,用铁粉还原成3-氯-4-氟苯胺。接着和原甲酸三乙酯及丙二酸二乙酯(生成乙氧基亚甲基丙二酸二乙酯)在硝酸铵存在下回流,得缩合产物。在液体石蜡或二苯醚中加热环合,生成7-氯-6-氟-4-羟基喹啉-3-羧酸乙酯。进行乙基化后,再水解得乙基化产物。最后与哌嗪缩合得诺氟沙星。其工艺比较成熟,收率较高,一般能达到40%~65%,但7位引入哌嗪基时,6位氟原子被取代的副产物可占25%,分离困难,影响收率。以对硝基氯苯计总收率为8%以上。
在引入吡嗪环前,1-乙基-6-氟-7-氯-1,4-二氢-4-氧代喹啉-8-羧酸乙酯先和氟硼酸或三氟化硼-乙醚或乙酸硼反应,使4位上的羰基形成硼螯合物,然后再引入吡嗪基,可使7位氟被置换的副反应减少,收率可提高15%以上,且产品的质量改善。
诺氟沙星的合成,国内外研究较多,但真正用于工业生产的却不多。其合成路线的改进主要体现在两个方面。一是对成环工艺进行改进,二是在哌嗪基的引入上做些文章。
安全提醒
                            MSDS
                            | 
			  	
			  		诺氟沙星MSDS英文版
			  	
				 | 
原料简介
                            应用范围
                            毒性和生态
                            安全信息
                            | 个人防护装备 | Eyeshields;Gloves;type N95 (US);type P1 (EN143) respirator filter | 
|---|---|
| 危害码 (欧洲) | Xn: Harmful; | 
| 风险声明 (欧洲) | R20/21/22 | 
| 安全声明 (欧洲) | 26-37/39 | 
| 危险品运输编码 | NONH for all modes of transport | 
| WGK德国 | 2 | 
| RTECS号 | VB2005000 | 
| 海关编码 | 2933990090 | 
是否危险品
                            危险性
                            危险类别码
                            危险等级
                            触发危险方式
                            安全技术说明书
                            环境影响程度
                            包装与储运
                            相关供应商
     
        
 
                                     
                    
 
                 
            







 
                             
                 
                        