阿伐他汀
Atorvastatin是HMG-CoA还原酶抑制剂,能抑制胆固醇的产生。
产品名称
-
中文名阿托伐他汀
-
英文名Atorvastatin
-
中文别名阿伐他汀 | [R-(R^^,R^^)]-2-(4-氟苯基)-Β,Δ-二羟基-5-(1-甲基乙基)-3-苯基-4-[(苯基氨基)羰基]-1H-吡咯-1-庚酸 | (3R,5R)-7-[2-(4-氟苯基)-3-苯基-4-(苯基氨基甲酰基)-5-异丙基-吡咯-1-基]-3,5-二羟基庚酸 | 阿托伐他汀内酸 L-7
-
英文别名
(3R,5R)-7-[2-(4-fluorophenyl)-3-phenyl-4-(phenylcarbamoyl)-5-(propan-2-yl)-1H-pyrrol-1-yl]-3,5-dihydroxyheptanoic acid [R-( R*,R*)]-2-(4-Fluorophenyl)-β,δ-dihydroxy-5-(1-methylethyl)-3-phenyl-4-[(phenylamino)carbonyl]-1H-pyrrole-1-heptanoic acid Atorvastatin (3R,5R)-7-{2-(4-Fluorophenyl)-4-[(Z)-hydroxy(phenylimino)methyl]-5-isopropyl-3-phenyl-1H-pyrrol-1-yl}-3,5-dihydroxyheptanoic acid 1H-Pyrrole-1-heptanoic acid, 2-(4-fluorophenyl)-β,δ-dihydroxy-5-(1-methylethyl)-3-phenyl-4-((phenylamino)carbonyl)-, (βR,δR)-rel- (3R,5R)-7-[2-(4-Fluorophenyl)-5-isopropyl-3-phenyl-4-(phenylcarbamoyl)-1H-pyrrol-1-yl]-3,5-dihydroxyheptanoic acid 1H-Pyrrole-1-heptanoic acid, 2-(4-fluorophenyl)-β,δ-dihydroxy-5-(1-methylethyl)-3-phenyl-4-[(phenylamino)carbonyl]-, (βR,δR)- MFCD03613598 1H-Pyrrole-1-heptanoic acid, 2-(4-fluorophenyl)-β,δ-dihydroxy-4-[(Z)-hydroxy(phenylimino)methyl]-5-(1-methylethyl)-3-phenyl-, (βR,δR)- -
常用名阿伐他汀
-
C A S号134523-00-5
物理性质
-
密度1.2±0.1 g/cm3
-
沸点722.2±60.0 °C at 760 mmHg
-
熔点176-178°C
-
化学式C33H35FN2O5
-
结构式
1、 摩尔折射率:155.21
2、 摩尔体积(cm3/mol):451.9
3、 等张比容(90.2K):1176.6
4、 表面张力(dyne/cm):45.9
5、 极化率(10-24cm3):61.53
-
闪点390.6±32.9 °C
-
分子量558.64
-
精确质量
-
P S A229.24000
-
外观形状
-
储存条件
-
稳定性
-
水溶解性
-
形态
-
H L B值
-
粘度
-
PH值
作用/用途
Atorvastatin是HMG-CoA还原酶抑制剂,能抑制胆固醇的产生。
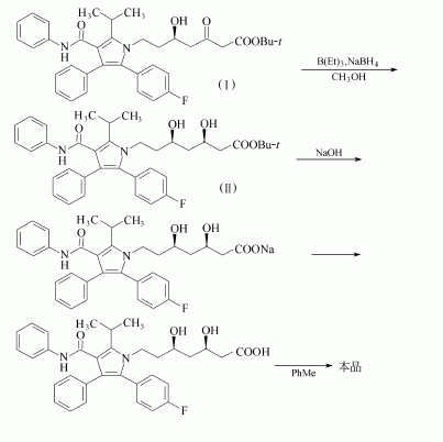
制备方法
2-(4-氟苯基)-β-羰基-δ-羟基-5-(1-甲基乙基)-3-苯基-4-[(苯基氨基)羰基]-1H-吡咯-1-庚酸叔丁醇用三乙基硼和
硼氢化钠在甲醇中还原,生成物经水解,得阿托他汀钠。经酸化可得阿托他汀。阿托他汀在甲苯中回流,得到阿托他汀内酯。
安全提醒
MSDS
原料简介
应用范围
毒性和生态
安全信息
| 危害码 (欧洲) | Xn |
|---|---|
| 风险声明 (欧洲) | R20/21/22:Harmful by inhalation, in contact with skin and if swallowed . R36/37/38:Irritating to eyes, respiratory system and skin . |
| 安全声明 (欧洲) | S26-S36/37/39-S45 |
| 危险品运输编码 | UN 3261 8/PG 2 |
| WGK德国 | 2 |
| 包装等级 | III |
| 危险类别 | 8 |
| 海关编码 | 2942000000 |
是否危险品
危险性
危险类别码
危险等级
触发危险方式
安全技术说明书
环境影响程度
包装与储运
相关供应商

搜索






