他卡西妥
Tacalcitol (1,24(R)-Dihydroxyvitamin D3; 1.alpha.,24R-Dihydroxyvitamin D3) 能通过调节钙离子促进正常骨生长。
产品名称
-
中文名他卡西妥
-
英文名Tacalcitol
-
中文别名(1Α,3Β-5Z,7E,24R)-9,10-开环胆甾-5,7,10(19)-三烯-1,3,24-三醇 | 他卡西醇 | (1A,3B,5Z,7E,24R)-9,10-开环胆甾-5,7,10(19)-三烯-1,3,24-三醇
-
英文别名
1a,24R-Dihydroxyvitamin D3 TV-02H 1,3-Cyclohexanediol, 4-methylene-5-[(2E)-2-[(1R,3aS,7aR)-octahydro-1-[(1R,4R)-4-hydroxy-1,5-dimethylhexyl]-7a-methyl-4H-inden-4-ylidene]ethylidene]-, (1R,3S,5Z)- (1S,3R,5Z,7E,24R)-9,10-Secocholesta-5,7,10-triene-1,3,24-triol Bonalfa 1a,24(R)-Dihydroxycholecalciferol Curatoderm (1a,3b,5Z,7E,24R)-9,10-Secocholesta-5,7,10(19)-triene-1,3,24-triol 1,24R-dihydroxyvitamin D3 TV-02 (+)-(5Z,7E,24R)-9,10-Secocholesta-5,7,10(19)-triene-1α,3β,24-triol Tacalcitol -
常用名他卡西妥
-
C A S号57333-96-7
物理性质
-
密度1.1±0.1 g/cm3
-
沸点565.0±50.0 °C at 760 mmHg
-
熔点N/A
-
化学式C27H44O3
-
结构式
1、 摩尔折射率:124.30
2、 摩尔体积(cm3/mol):392.7
3、 等张比容(90.2K):1009.4
4、 表面张力(dyne/cm):43.6
5、 极化率(10-24cm3):49.27
-
闪点238.4±24.7 °C
-
分子量416.637
-
精确质量416.329041
-
P S A60.69000
-
外观形状
-
储存条件Store at -20°C
-
稳定性
-
水溶解性
-
形态
-
H L B值
-
粘度
-
PH值
作用/用途
Tacalcitol (1,24(R)-Dihydroxyvitamin D3; 1.alpha.,24R-Dihydroxyvitamin D3) 能通过调节钙离子促进正常骨生长。
制备方法
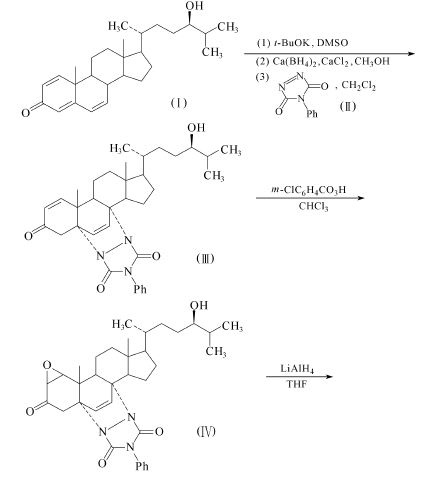
889.5mg化合物(Ⅰ)溶于30ml二甲亚砜,加入叔丁醇钾(从0.5g钾制得),在氩气下于20℃反应30min。倾入冰水,用乙醚提取。提取液用水洗,干燥,浓缩。残物溶于乙醚,在-10℃或以下,将其滴到硼氢化钙和氯化钙在甲醇的溶液中,再在-10℃搅拌1h。用乙酸水溶液破坏过量的硼氢化钙,然后浓缩,再用二氯甲烷提取。提取液水洗,干燥,浓缩。残物溶于二氯甲烷,分小批量加入化合物(Ⅱ)。加毕,在室温搅拌1h。蒸出溶剂,残物经硅胶层析,以1%甲醇的氯仿溶液洗脱,得400.35mg化合物(Ⅲ)。
400.35mg化合物(Ⅲ)溶于氯仿,加入间氯过苯甲酸,在25℃搅拌40h。反应液用碳酸钾水溶液和水洗,干燥,浓缩。残物经硅胶层析,以1%甲醇的氯仿溶液洗脱,得170.6mg化合物(Ⅳ)。
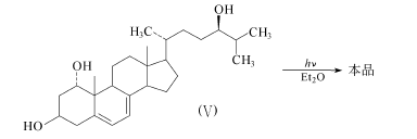
83.0mg化合物(Ⅳ)溶于干燥四氢呋喃,小批量加入氢化铝锂,温和回流1h。加入硫酸钠以破坏过量的氢化铝锂。分出有机层,干燥,浓缩。残物经SephadexLH-20层析提纯,以氯仿-己烷(65:35体积比)洗脱,得到21.3mg化合物(V)。
21.3mg化合物(V)溶于乙醚,以400W高压汞灯照射,在照射中通过通入氩气来搅拌。浓缩,残物经SephadexLH-20层析,以氯仿-己烷(65:35体积比)洗脱,得3.64mg产物。
安全提醒
MSDS
原料简介
应用范围
毒性和生态
安全信息
| 符号 |
GHS06 |
|---|---|
| 信号词 | Danger |
| 危害声明 | H300 |
| 危害码 (欧洲) | N-T+ |
| 风险声明 (欧洲) | R50/53:Very Toxic to aquatic organisms, may cause long-term adverse effects in the aquatic environment . R33:Danger of cumulative effects. R26/27/28:Very Toxic by inhalation, in contact with skin and if swallowed . |
| 安全声明 (欧洲) | S61-S60-S45-S36-S28A-S13 |
| 危险品运输编码 | 2025 |
| RTECS号 | OW2300000 |
| 包装等级 | II |
| 危险类别 | 6.1 |
是否危险品
危险性
危险类别码
危险等级
触发危险方式
安全技术说明书
环境影响程度
包装与储运
相关供应商

搜索







