泮托拉唑
-
中文名潘托拉唑
-
英文名pantoprazole
-
中文别名5-二氟甲氧基-2-[(3,4-二甲氧基-2-吡啶基)甲基]巯基-1H-苯骈咪唑 | 氘代泮托拉唑-d3 | 泮托拉唑钠
-
英文别名
2-({[3,4-bis(methyloxy)pyridin-2-yl]methyl}sulfinyl)-6-[(difluoromethyl)oxy]-1H-benzimidazole 6-(Difluoromethoxy)-2-{[(3,4-dimethoxypyridin-2-yl)methyl]sulfinyl}-1H-benzimidazole Pantoprazolum [INN-Latin] 5-(Difluoromethoxy)-2-{[(3,4-dimethoxypyridin-2-yl)methyl]sulfinyl}-1H-benzimidazole 6-(difluoromethoxy)-2-[(3,4-dimethoxypyridin-2-yl)methylsulfinyl]-1H-benzimidazole 5-(Difluoromethoxy)-2-{[(3,4-dimethoxy-2-pyridinyl)methyl]sulfinyl}-1H-benzimidazole UNII:D8TST4O562 1H-Benzimidazole, 5-(difluoromethoxy)-2-[[(3,4-dimethoxy-2-pyridinyl)methyl]sulfinyl]- Pantoprazole sodium Pantoloc 5-(Difluormethoxy)-2-{[(3,4-dimethoxypyridin-2-yl)methyl]sulfinyl}-1H-benzimidazol pantoprazole Protonix Pantoprazol [14C]-Pantoprazole Pantoprazol [INN-Spanish] 5-difluoromethoxy-2-[(3,4-dimethoxypyridin-2-yl)methylsulfinyl]benzimidazole Pantozol 5-difluoromethoxy-2-(((3,4-dimethoxy-2-pyridinyl)methyl)sulfinyl)-1H-benzimidazole MFCD00870182 Pantoprazolum 5-(difluoromethoxy)-2-[[(3,4-dimethoxy-2-pyridyl)methyl]sulfinyl]-1H-benzimidazole 5-difluoromethoxy-2-[(3,4-dimethoxy-pyridin-2-yl)methylsulfinyl]-1H-benzimidazole -
常用名泮托拉唑
-
C A S号102625-70-7
-
密度1.5±0.1 g/cm3
-
沸点586.9±60.0 °C at 760 mmHg
-
熔点139-140ºC, decomposes
-
化学式C16H15F2N3O4S
-
结构式
1、 摩尔折射率:91.35
2、 摩尔体积(cm3/mol):252.7
3、 等张比容(90.2K):739.9
4、 表面张力(dyne/cm):73.4
5、 极化率(10-24cm3):36.21
-
闪点308.7±32.9 °C
-
分子量383.370
-
精确质量383.075134
-
P S A105.54000
-
外观形状近乎于白色固体
-
储存条件
-
稳定性
-
水溶解性
-
形态
-
H L B值
-
粘度
-
PH值
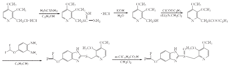
2-巯基-5-二氟甲氧基-1H-苯并咪唑(I)和2-氯甲基-3,4-二甲氧基吡啶盐酸盐缩合,生成物(Ⅲ再用间氯过苯甲酸氧化,即得产物。
1. 2-巯甲基-3,4-二甲氧基吡啶的制备
在反应瓶中加入2-氯甲基-3,4-二甲氧基吡啶盐酸盐22.8g、硫脲9.1g和95%乙醇120ml,搅拌回流3h.冷却,再加入2mol/LKOH水溶液120ml,于室温搅拌10h.冷却,反应液用氯仿提取,有机相用无水MgSO4干燥,过滤,滤液减压浓缩,得白色固体2-巯甲基-3,4-二甲氧基吡啶15.4g,mp113~115ºC.
2. (3,4-二甲氧基吡啶-2-基)甲硫基甲酸乙酯的制备
在反应瓶中加入2-巯甲基-3,4-二甲氧基吡啶9.5g和二氯甲烷100ml,搅拌溶解,冷却至0ºC,加入氯甲酸乙酯5.7ml和三乙胺8.4ml,室温搅拌5h.反应液用水洗,有机相用无水MgSO4干燥,过滤,滤液减压浓缩得黄色油状物(3,4-二甲氧基吡啶-2-基)甲硫基甲酸乙酯11.8g.
3. 5-二氟甲氧基-2-[(3,4-二甲氧基吡啶-2-基)甲硫基]-1H-苯并咪唑的制备
在反应瓶中加入(3,4-二甲氧基吡啶-2-基)甲硫基甲酸乙酯12.6g、5-二氟甲氧基邻苯二胺12.4g和甲苯100ml,搅拌回流5h.冷却至5ºC以下,析出结晶,抽滤,用甲苯洗涤,抽干,干燥得白色固体5-二氟甲氧基-2-[(3,4-二甲氧基吡啶-2-基)甲硫基]-1H-苯并咪唑16.2g,mp118~119ºC.
4. 泮托拉唑的合成
在反应瓶中加入5-二氟甲氧基-2-[(3,4-二甲氧基吡啶-2-基)甲硫基]-1H-苯并咪唑7.4g和二氯甲烷100ml,于冰水浴冷却下,搅拌加入间氯过氧苯甲酸3.5g,室温搅拌反应5h.用10%K2CO3水溶液洗涤,有机相用无水MgSO4干燥,过滤,滤液蒸除溶剂,剩余物用异丙醇重结晶,得白色固体5-(二氟甲氧基)-2-[[(3-二甲氧基-2-吡啶基)甲基]亚磺酰基]-1H-苯并咪唑泮托拉唑7.0g,mp138~139ºC(分解).
| 危害码 (欧洲) | Xn |
|---|---|
| 风险声明 (欧洲) | R20/21/22 |
| 安全声明 (欧洲) | S26-S36/37/39-S45 |
| 危险品运输编码 | UN 3265 8/PG 2 |
| WGK德国 | 3 |
| 包装等级 | III |
| 危险类别 | 8 |

搜索








