缬沙坦
Valsarta (CGP-48933) 是用于治疗高血压和心力衰竭的angiotensin II受体拮抗剂。
产品名称
-
中文名缬沙坦
-
英文名Valsartan
-
中文别名N-(1-戊酰基)-N-[4-[2-(1H-四氮唑-5-基)苯基]苄基]-L-缬氨酸 | 盐酸氨溴索杂质D | 缬沙坦 | N-戊酰基-N-[2'-(1H-四唑-5-基)联苯-4-基甲基]-L-缬氨酸 | N-(1-氧戊基)-N-[[2'(-(1H-四唑-5-基)[1,1'(-联苯]-4-基]甲基]-L-缬氨酸 | 缬沙坦水合钠盐
-
英文别名
Valsartan (S)-N-(1-Carboxy-2-methylprop-1-yl)-N-pentanoyl-N-[2'-(1H-tetrazol-5-yl)-biphenyl-4-ylmethyl]amine N-Pentanoyl-N-{[2'-(1H-tetrazol-5-yl)-4-biphenylyl]methyl}-L-valine N-Pentanoyl-N-{[2'-(2H-tetrazol-5-yl)biphenyl-4-yl]methyl}-L-valine N-Pentanoyl-N-{[2'-(1H-tetrazol-5-yl)biphenyl-4-yl]methyl}-L-valine N-Valeryl-N-[2'-(1H-tetrazol-5-yl)biphenyl-4-ylmethyl]-L-valine N-Pentanoyl-N-{[2'-(2H-tetrazol-5-yl)-4-biphenylyl]methyl}valine N-(1-Oxopentyl)-N-[[2'-(2H-tetrazol-5-yl)[1,1'-biphenyl]-4-yl]methyl]-L-valine (2S)-3-Methyl-2-(pentanoyl{[2'-(1H-tetrazol-5-yl)biphenyl-4-yl]methyl}amino)butanoic acid N-[p-(o-1H-Tetrazol-5-ylphenyl)benzyl]-N-valeryl-L-valine 3-Methyl-2-[pentanoyl-[[4-[2-(2H-tetrazol-5-yl)phenyl]phenyl]methyl]amino]-butanoic acid Nisis N-Pentanoyl-N-{[2'-(1H-tetrazol-5-yl)biphenyl-4-yl]methyl}-L-valin (2S)-3-Methyl-2-(pentanoyl{[2'-(1H-tetrazol-5-yl)-4-biphenylyl]methyl}amino)butanoic acid Valsratan N-(1-Oxopentyl)-N-[[2'-(1H-tetrazol-5-yl)[1,1'-biphenyl]-4-yl]methyl]-L-valine Valine, N-(1-oxopentyl)-N-[[2'-(2H-tetrazol-5-yl)[1,1'-biphenyl]-4-yl]methyl]- Tareg DIOVAN L-Valine, N-(1-oxopentyl)-N-[[2'-(1H-tetrazol-5-yl)[1,1'-biphenyl]-4-yl]methyl]- Valsartane Valsartan API (S)-2-(N-((2'-(1H-Tetrazol-5-yl)-[1,1'-biphenyl]-4-yl)methyl)pentanamido)-3-methylbutanoic acid L-Valsartan MFCD00865840 -
常用名缬沙坦
-
C A S号137862-53-4
物理性质
-
密度1.2±0.1 g/cm3
-
沸点684.9±65.0 °C at 760 mmHg
-
熔点116-117°C
-
化学式C24H29N5O3
-
结构式
1、 摩尔折射率:120.62
2、 摩尔体积(cm3/mol):359.1
3、 等张比容(90.2K):978.0
4、 表面张力(dyne/cm):55.0
5、 极化率(10-24cm3):47.81
-
闪点368.0±34.3 °C
-
分子量435.519
-
精确质量435.227051
-
P S A112.07000
-
外观形状白色结晶粉末
-
储存条件-20°C Freezer, Under inert atmosphere
-
稳定性
-
水溶解性
-
形态
-
H L B值
-
粘度
-
PH值
作用/用途
Valsarta (CGP-48933) 是用于治疗高血压和心力衰竭的angiotensin II受体拮抗剂。
制备方法
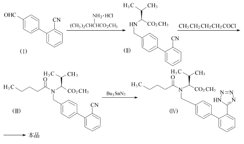
2'-氰基联苯-4-醛(I)和L-缬氨酸甲酯进行还原胺化,得到的化合物(Ⅱ)再用戊酰氯进行酰化,层析后得到化合物(II)。然后和Bu3SnN3进行反应,引入四唑,再水解即得产物。
安全提醒
MSDS
|
缬沙坦
修改号码:5
模块1. 化学品 产品名称: Valsartan 修改号码: 5 模块2. 危险性概述 GHS分类 物理性危害未分类
健康危害 生殖毒性 第2级 环境危害未分类 GHS标签元素 图标或危害标志 信号词警告 危险描述怀疑会损害生育能力或胎儿 防范说明 [预防]使用前获取特定手册。 处理前必须阅读并理解所有安全措施。 使用个人所需的防护用具。 [急救措施] 如接触到或相关接触:求医/就诊。 [储存]存放处须加锁。 [废弃处置] 根据当地政府规定把物品/容器交与工业废弃处理机构。 模块3. 成分/组成信息 单一物质/混和物单一物质 化学名(中文名):缬沙坦 百分比: >98.0%(LC)(T) CAS编码: 137862-53-4 俗名: N-Valeryl-N-[2'-(1H-tetrazol-5-yl)biphenyl-4-ylmethyl]-L-valine 分子式: C24H29N5O3 缬沙坦 修改号码:5 模块4. 急救措施 吸入: 将受害者移到新鲜空气处,保持呼吸通畅,休息。求医/就诊。 皮肤接触: 立即去除/脱掉所有被污染的衣物。用大量肥皂和水轻轻洗。 求医/就诊。 眼睛接触:用水小心清洗几分钟。如果方便,易操作,摘除隐形眼镜。 求医/就诊。 食入: 求医/就诊。漱口。 紧急救助者的防护:救援者需要穿戴个人防护用品,比如橡胶手套和气密性护目镜。 模块5. 消防措施 合适的灭火剂:干粉,泡沫,雾状水,二氧化碳 特殊危险性:小心,燃烧或高温下可能分解产生毒烟。 特定方法:从上风处灭火,根据周围环境选择合适的灭火方法。 非相关人员应该撤离至安全地方。 周围一旦着火:如果安全,移去可移动容器。 消防员的特殊防护用具:灭火时,一定要穿戴个人防护用品。 模块6. 泄漏应急处理 个人防护措施,防护用具, 使用特殊的个人防护用品(针对有毒颗粒的P3过滤式空气呼吸器)。远离溢出物/泄露 紧急措施:处并处在上风处。 泄露区应该用安全带等圈起来,控制非相关人员进入。 环保措施:防止进入下水道。 控制和清洗的方法和材料:清扫收集粉尘,封入密闭容器。注意切勿分散。附着物或收集物应该立即根据合适的 法律法规处置。 模块7. 操作处置与储存 处理 技术措施:在通风良好处进行处理。穿戴合适的防护用具。防止粉尘扩散。处理后彻底清洗双手 和脸。 注意事项:如果可能,使用封闭系统。如果粉尘或浮质产生,使用局部排气。 操作处置注意事项:避免所有部位的接触! 贮存 储存条件:保持容器密闭。存放于凉爽、阴暗处。 存放处须加锁。 远离不相容的材料比如氧化剂存放。 包装材料:依据法律。 模块8. 接触控制和个体防护 工程控制:尽可能安装封闭体系或局部排风系统。同时安装淋浴器和洗眼器。 个人防护用品 呼吸系统防护: 防尘面具,自携式呼吸器(SCBA),供气呼吸器等。使用通过政府标准的呼吸器。依 据当地和政府法规。 手部防护:防渗手套。 眼睛防护:护目镜。如果情况需要,佩戴面具。 皮肤和身体防护:防渗防护服。如果情况需要,穿戴防护靴。 模块9. 理化特性 固体 外形(20°C): 外观: 晶体-粉末 颜色:白色类白色 缬沙坦 修改号码:5 模块9. 理化特性 气味:无资料 pH:无数据资料 熔点: 117°C 沸点/沸程无资料 闪点:无资料 爆炸特性 爆炸下限:无资料 爆炸上限:无资料 密度:无资料 溶解度: [水]无资料 [其他溶剂] 溶于:甲醇 模块10. 稳定性和反应性 化学稳定性:一般情况下稳定。 危险反应的可能性:未报道特殊反应性。 须避免接触的物质氧化剂 危险的分解产物: 一氧化碳, 二氧化碳, 氮氧化物 (NOx) 模块11. 毒理学信息 急性毒性:无资料 对皮肤腐蚀或刺激:无资料 对眼睛严重损害或刺激:无资料 生殖细胞变异原性:无资料 致癌性: IARC =无资料 NTP =无资料 生殖毒性:无资料 RTECS 号码: YV9455000 模块12. 生态学信息 生态毒性: 鱼类:无资料 甲壳类:无资料 藻类:无资料 残留性 / 降解性:无资料 潜在生物累积 (BCF):无资料 土壤中移动性 log水分配系数:无资料 土壤吸收系数 (Koc):无资料 亨利定律无资料 constant(PaM3/mol): 模块13. 废弃处置 如果可能,回收处理。请咨询当地管理部门。建议在可燃溶剂中溶解混合,在装有后燃和洗涤装置的化学焚烧炉中 焚烧。废弃处置时请遵守国家、地区和当地的所有法规。 缬沙坦 修改号码:5 模块14. 运输信息 联合国分类:与联合国分类标准不一致 UN编号:未列明 模块15. 法规信息 《危险化学品安全管理条例》(2002年1月26日国务院发布,2011年2月16日修订): 针对危险化学品的安全使用、 生产、储存、运输、装卸等方面均作了相应的规定。 模块16 - 其他信息 N/A |
原料简介
应用范围
毒性和生态
安全信息
| 危害声明 | H413 |
|---|---|
| 危害码 (欧洲) | Xi |
| 风险声明 (欧洲) | 36/37/38 |
| 安全声明 (欧洲) | S26-S36 |
| 危险品运输编码 | NONH for all modes of transport |
| WGK德国 | 3 |
| 海关编码 | 2933990090 |
是否危险品
危险性
危险类别码
危险等级
触发危险方式
安全技术说明书
环境影响程度
包装与储运
相关供应商

搜索






