邻苯三酚
-
中文名邻苯三酚
-
英文名Pyrogallol
-
中文别名焦棓酸 | 1,2,3-三羟基苯 | 1,2,3-苯三酚 | 1,2,3-三苯酚 | 焦性没食子酸 | 焦倍酸
-
英文别名
1,2,3-trishydroxybenzene trihydroxybenzene 1,2,3-Trihydroxybenzene EINECS 201-762-9 Pyrogallol PYROGALL MFCD00008358 benzene-1,2,3-triol Fourrine 85 Benzol-1,2,3-triol pyrogallic 1,2,3-Benzenetriol gallol Piral 1,2,3-trihydroxy-benzene Fourrine PG Phloroglucinol Impurity 1 -
常用名邻苯三酚
-
C A S号87-66-1
-
密度1.453
-
沸点309 ºC
-
熔点131-135 ºC
-
化学式C6H6O3
-
结构式
1、 摩尔折射率:31.89
2、 摩尔体积(cm3/mol):84.7
3、 等张比容(90.2K):252.3
4、 表面张力(dyne/cm):78.6
5、 极化率(10-24cm3):12.64
-
闪点164.3±16.9 °C
-
分子量126.110
-
精确质量126.031693
-
P S A60.69000
-
外观形状无气味的白色至灰色固体
-
储存条件
分析纯试剂用棕色玻璃瓶装,每瓶重100g。化学纯试剂及工业品用木箱内衬塑料及醋酸纤维袋包装,每箱重25kg。注意避光、密封、防潮。按有毒物品规定贮运。
-
稳定性
-
水溶解性
-
形态
-
H L B值
-
粘度
-
PH值
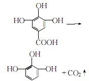
1.将没食子酸和水加入高压釜中,于200-210℃脱羧0.5h,经脱色、过滤、蒸发制得成品,或用真空升华进行精制。
2.以没食子酸为原料,采用一种有机碱性化合物为催化剂,常压下控制温度180 ~ 190℃, 进行脱羟反应:
当反应物中不再放出二氧化碳气体,表示反应已达终点。所得焦性没食子酸粗品依次采用减压干燥和真空升华进行提纯。
3.以环已稀为原料,环烷酸钒等为催化剂,于70~150℃下进行氧化反应制得2,3-环氧环己醇,然后于109℃下,以甲醇为溶剂,与过量水行水合反应,所得1,2,3-环己三醇,在Pd-c催化作用下于液相或气相惰气保护下脱氢,制得质量较好的焦性没食子酸。
过程反应式如下:
焦性没食子酸的制备方法中,除使用基础化学品(环己酮、环己三醇、间苯二酚等)为原料的化学合成法外,大都以没食子单宁或其初级产品为原料,其制备方法又可分为两步法和一步法两种。没食子酸一步法直接使用含没食子单宁的天然物,在同一反应介质和容器中,同时进行水解和脱羧反应,制得焦性没食子酸。因而一步法较两步法的制备步骤大大缩短,操作简单,生产周期较短。工艺步骤如下:将塔拉粉(主成分为没食子单宁,干基含量50%~60%)置于耐压应器中,加入适量的水搅匀,再将氧化钙溶于水而成的氢氧化钙乳液加入反应器中,充分搅匀,加盖密封,置于可控温的恒温烘中缓缓升温,当温度升至160~220℃时,保温1~4h。反应完毕后降至室温,开盖倾出反应液,缓慢加入浓盐酸(或浓硫酸)调至酸性,同时搅拌排除二氧化碳。过滤去渣,滤液适当浓缩后用乙酸乙酯萃取,酯层减压蒸干。残留物用二甲苯热提取,经冷却、结晶、过滤,得浅米黄色焦性没食子酸晶体。如将此产品用二甲苯作两次处理,并用活性炭脱色,则可得到近白色的焦性没食子酸针状晶体。优化的反应条件:塔拉粉与水的配比1∶3,氧化钙用量是塔拉粉量的15%~25%,反应温度200℃,反应时间3h。
4. 由棓酸经加热失去二氧化碳而制得。
|
模块1. 化学品 1.1 产品标识符 : 邻苯三酚 产品名称 1.2 鉴别的其他方法 1,2,3-Trihydroxybenzene
1.3 有关的确定了的物质或混合物的用途和建议不适合的用途
仅用于研发。不作为药品、家庭或其它用途。 模块2. 危险性概述 2.1 GHS-分类 急性毒性, 经口 (类别 3) 急性毒性, 吸入 (类别 4) 急性毒性, 经皮 (类别 4) 皮肤刺激 (类别 2) 眼睛刺激 (类别 2A) 生殖细胞突变性 (类别 2) 急性水生毒性 (类别 3) 2.2 GHS 标记要素,包括预防性的陈述 象形图 警示词危险 危险申明 H301吞咽会中毒 H312皮肤接触有害。 H315造成皮肤刺激。 H319造成严重眼刺激。 H332吸入有害。 H341怀疑会导致遗传性缺陷。 H402对水生生物有害。 警告申明 预防 P201在使用前获取特别指示。 P202在读懂所有安全防范措施之前切勿操作。 P261避免吸入粉尘/烟/气体/烟雾/蒸气/喷雾. P264操作后彻底清洁皮肤。 P270使用本产品时不要进食、饮水或吸烟。 P271只能在室外或通风良好之处使用。 P273避免释放到环境中。 P280穿戴防护手套/ 眼保护罩/ 面部保护罩。 响应 P301 + P310如果吞下去了: 立即呼救解毒中心或医生。 P302 + P352如皮肤接触:用大量肥皂和水清洗。 P304 + P340如吸入: 将患者移到新鲜空气处休息,并保持呼吸舒畅的姿势。 P305 + P351 + P338如与眼睛接触,用水缓慢温和地冲洗几分钟。如戴隐形眼镜并可方便地取 出,取出隐形眼镜,然后继续冲洗. P308 + P313如接触到或有疑虑:求医/ 就诊。 P322具体措施(见本标签上提供的急救指导)。 P330漱口。 P332 + P313如发生皮肤刺激:求医/ 就诊。 P337 + P313如仍觉眼睛刺激:求医/就诊。 P362脱掉沾染的衣服,清洗后方可重新使用。 储存 P405存放处须加锁。 处置 P501将内容物/ 容器处理到得到批准的废物处理厂。 2.3 其它危害物 - 无 模块3. 成分/组成信息 3.1 物 质 : 1,2,3-Trihydroxybenzene 别名 : C6H6O3 分子式 : 126.11 g/mol 分子量 组分浓度或浓度范围 1,2,3-Trihydroxybenzene - 化学文摘登记号(CAS87-66-1 No.)201-762-9 EC-编号604-009-00-6 索引编号 模块4. 急救措施 4.1 必要的急救措施描述 一般的建议 请教医生。 向到现场的医生出示此安全技术说明书。 吸入 如果吸入,请将患者移到新鲜空气处。 如呼吸停止,进行人工呼吸。 请教医生。 皮肤接触 用肥皂和大量的水冲洗。 立即将患者送往医院。 请教医生。 眼睛接触 用大量水彻底冲洗至少15分钟并请教医生。 食入 切勿给失去知觉者通过口喂任何东西。 用水漱口。 请教医生。 4.2 主要症状和影响,急性和迟发效应 咳嗽, 呼吸短促, 头痛, 恶心, 呕吐, 人体吸入引起高铁血红蛋白形成,一定浓度后引起苍白病。一般2~4小时或更长时间后发作 4.3 及时的医疗处理和所需的特殊处理的说明和指示 无数据资料 模块5. 消防措施 5.1 灭火介质 灭火方法及灭火剂 用水雾,抗乙醇泡沫,干粉或二氧化碳灭火。 5.2 源于此物质或混合物的特别的危害 碳氧化物 5.3 给消防员的建议 如必要的话,戴自给式呼吸器去救火。 5.4 进一步信息 无数据资料 模块6. 泄露应急处理 6.1 作业人员防护措施、防护装备和应急处置程序 戴呼吸罩。 避免粉尘生成。 避免吸入蒸气、烟雾或气体。 保证充分的通风。 人员疏散到安全区域。 避免吸入粉尘。 6.2 环境保护措施 如能确保安全,可采取措施防止进一步的泄漏或溢出。 不要让产品进入下水道。 一定要避免排放到周围环境中。 6.3 泄漏化学品的收容、清除方法及所使用的处置材料 收集和处置时不要产生粉尘。 扫掉和铲掉。 放入合适的封闭的容器中待处理。 6.4 参考其他部分 丢弃处理请参阅第13节。 模块7. 操作处置与储存 7.1 安全操作的注意事项 避免接触皮肤和眼睛。 避免形成粉尘和气溶胶。 在有粉尘生成的地方,提供合适的排风设备。 7.2 安全储存的条件,包括任何不兼容性 贮存在阴凉处。 使容器保持密闭,储存在干燥通风处。 对光线敏感 充气操作和储存 对光和空气敏感 7.3 特定用途 无数据资料 模块8. 接触控制和个体防护 8.1 容许浓度 最高容许浓度 没有已知的国家规定的暴露极限。 8.2 暴露控制 适当的技术控制 避免与皮肤、眼睛和衣服接触。 休息前和操作本品后立即洗手。 个体防护设备 眼/面保护 面罩與安全眼鏡请使用经官方标准如NIOSH (美国) 或 EN 166(欧盟) 检测与批准的设备防护眼部。 皮肤保护 戴手套取 手套在使用前必须受检查。 请使用合适的方法脱除手套(不要接触手套外部表面),避免任何皮肤部位接触此产品. 使用后请将被污染过的手套根据相关法律法规和有效的实验室规章程序谨慎处理. 请清洗并吹干双手 所选择的保护手套必须符合EU的89/686/EEC规定和从它衍生出来的EN 376标准。 完全接触 联合国运输名称: 丁腈橡胶 最小的层厚度 0.11 mm 溶剂渗透时间: 480 min 测试过的物质Dermatril® (KCL 740 / Z677272, 规格 M) 飞溅保护 联合国运输名称: 丁腈橡胶 最小的层厚度 0.11 mm 溶剂渗透时间: 480 min 测试过的物质Dermatril® (KCL 740 / Z677272, 规格 M) , 测试方法 EN374 如果以溶剂形式应用或与其它物质混合应用,或在不同于EN 374规定的条件下应用,请与EC批准的手套的供应商联系。 这个推荐只是建议性的,并且务必让熟悉我们客户计划使用的特定情况的工业卫生学专家评估确认才可. 这不应该解释为在提供对任何特定使用情况方法的批准. 身体保护 全套防化学试剂工作服, 防护设备的类型必须根据特定工作场所中的危险物的浓度和数量来选择。 呼吸系统防护 如危险性评测显示需要使用空气净化的防毒面具,请使用全面罩式多功能微粒防毒面具N100型(US )或P3型(EN 143)防毒面具筒作为工程控制的候补。如果防毒面具是保护的唯一方式,则使用全面罩式送风防毒 面具。 呼吸器使用经过测试并通过政府标准如NIOSH(US)或CEN(EU)的呼吸器和零件。 模块9. 理化特性 9.1 基本的理化特性的信息 a) 外观与性状 形状: 结晶 颜色: 浅褐色 b) 气味 无数据资料 c) 气味阈值 无数据资料 d) pH值 5.8 在 10 g/l e) 熔点/凝固点 熔点/凝固点: 132 - 134 °C - lit. f) 沸点、初沸点和沸程 309 °C - lit. g) 闪点 无数据资料 h) 蒸发速率 无数据资料 i) 易燃性(固体,气体) 无数据资料 j) 高的/低的燃烧性或爆炸性限度 无数据资料 k) 蒸气压 3 - 5 hPa 在 140 °C 13 hPa 在 167.7 °C l) 蒸汽密度 无数据资料 m) 密度/相对密度 1.450 g/cm3 在 20 °C n) 水溶性 可溶的 o) n-辛醇/水分配系数 无数据资料 p) 自燃温度 无数据资料 q) 分解温度 无数据资料 r) 粘度 无数据资料 模块10. 稳定性和反应活性 10.1 反应性 无数据资料 10.2 稳定性 无数据资料 10.3 危险反应 无数据资料 10.4 应避免的条件 无数据资料 10.5 不相容的物质 氧化剂 10.6 危险的分解产物 其它分解产物 - 无数据资料 模块11. 毒理学资料 11.1 毒理学影响的信息 急性毒性 半数致死剂量 (LD50) 经口 - 小鼠 - 300 mg/kg 皮肤刺激或腐蚀 皮肤 - 兔子 - 严重的皮肤刺激 - 24 h - 兔眼刺激(Draize)试验 眼睛刺激或腐蚀 眼睛 - 兔子 - 中度的眼睛刺激 - 24 h - 兔眼刺激(Draize)试验 呼吸道或皮肤过敏 无数据资料 生殖细胞突变性 离体试验表明有致突变效应 致癌性 IARC: 此产品中没有大于或等于 0。1%含量的组分被 IARC鉴别为可能的或肯定的人类致癌物。 生殖毒性 无数据资料 特异性靶器官系统毒性(一次接触) 无数据资料 特异性靶器官系统毒性(反复接触) 无数据资料 吸入危险 无数据资料 潜在的健康影响 吸入吸入有害。 引起呼吸道刺激。 摄入误吞会中毒。 皮肤通过皮肤吸收有害。 造成皮肤刺激。 眼睛造成严重眼刺激。 接触后的征兆和症状 咳嗽, 呼吸短促, 头痛, 恶心, 呕吐, 人体吸入引起高铁血红蛋白形成,一定浓度后引起苍白病。一般2~4小时或更长时间后发作 附加说明 化学物质毒性作用登记: UX2800000 模块12. 生态学资料 12.1 生态毒性 对鱼类的毒性半数致死浓度(LC50) - 斑马担尼鱼(斑马鱼) - 41.8 mg/l - 96.0 h 12.2 持久性和降解性 无数据资料 12.3 潜在的生物累积性 无数据资料 12.4 土壤中的迁移性 无数据资料 12.5 PBT 和 vPvB的结果评价 无数据资料 12.6 其它不良影响 对水生生物有害。 无数据资料 模块13. 废弃处置 13.1 废物处理方法 产品 将剩余的和不可回收的溶液交给有许可证的公司处理。 与易燃溶剂相溶或者相混合,在备有燃烧后处理和洗刷作用的化学焚化炉中燃烧 受污染的容器和包装 按未用产品处置。 模块14. 运输信息 14.1 联合国危险货物编号 欧洲陆运危规: 2811国际海运危规: 2811国际空运危规: 2811 14.2 联合国运输名称 欧洲陆运危规: TOXIC SOLID, ORGANIC, N.O.S. (1,2,3-Trihydroxybenzene) 国际海运危规: TOXIC SOLID, ORGANIC, N.O.S. (1,2,3-Trihydroxybenzene) 国际空运危规: Toxic solid, organic, n.o.s. (1,2,3-Trihydroxybenzene) 14.3 运输危险类别 欧洲陆运危规: 6.1国际海运危规: 6.1国际空运危规: 6.1 14.4 包裹组 欧洲陆运危规: III国际海运危规: III国际空运危规: III 14.5 环境危险 欧洲陆运危规: 否国际海运危规国际空运危规: 否 海洋污染物(是/否): 否 14.6 对使用者的特别提醒 无数据资料 模块 15 - 法规信息 N/A 模块16 - 其他信息 N/A |
| 符号 |
GHS07, GHS08 |
|---|---|
| 信号词 | Warning |
| 危害声明 | H315-H319-H341-H412 |
| 警示性声明 | P280-P305 + P351 + P338 |
| 个人防护装备 | Faceshields;full-face respirator (US);Gloves;Goggles;multi-purpose combination respirator cartridge (US);type ABEK (EN14387) respirator filter |
| 危害码 (欧洲) | Xn:Harmful |
| 风险声明 (欧洲) | R20/21/22;R52/53;R68 |
| 安全声明 (欧洲) | S22-S24/25-S61-S36/37 |
| 危险品运输编码 | UN 2811 6.1/PG 3 |
| WGK德国 | 3 |
| RTECS号 | UX2800000 |
| 包装等级 | III |
| 危险类别 | 6.1 |
| 海关编码 | 2907299090 |










