对羟基苯甲醛
-
中文名对羟基苯甲醛
-
英文名4-hydroxybenzaldehyde
-
中文别名尼泊金酸 | 4-羟基苯甲醛 | 4-羟基苯甲醛
-
英文别名
p-Hydroxybenzaldehyde MFCD00006939 4-Hydroxy benzaldehyde 4-Hydroxybenzaldehyde EINECS 204-599-1 Bisoprolol Impurity 15 -
常用名对羟基苯甲醛
-
C A S号123-08-0
-
密度1.2±0.1 g/cm3
-
沸点246.6±13.0 °C at 760 mmHg
-
熔点112-116 °C(lit.)
-
化学式C7H6O2
-
结构式
1、 摩尔折射率:34.88
2、 摩尔体积(cm3/mol):99.5
3、 等张比容(90.2K):367.3
4、 表面张力(dyne/cm):52.0
5、 极化率(10-24cm3):13.83
-
闪点101.3±12.4 °C
-
分子量122.121
-
精确质量122.036781
-
P S A37.30000
-
外观形状黄色至淡棕色结晶粉末
-
储存条件
本品用内二塑(二层)外编包装,每袋净重25kg,或用PP袋装,净重500kg/袋或1000kg/袋。
-
稳定性
-
水溶解性
-
形态无色结晶性粉末,有微弱的、令人愉快的芳香气味。
-
H L B值
-
粘度
-
PH值
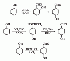
1.对羟基苯甲醛的生产有多条工艺路线,目前工业生产主要有苯酚、对甲酚、对硝基甲苯等原料路线。1.苯酚法苯酚法又分为Reimer-Tiemann反应、Gattermann反应、苯酚-三氯乙醛路线、苯酚-乙醛酸路线、苯酚-甲醛路线等多种合成工艺路线。苯酚法的工艺特点是原料易得,制造工艺较简单,但收率偏低,成本较高。(1)Reimer-Tiemann反应苯酚和三氯甲烷在碱水溶液中,于60-100℃下加热反应2-4h,同时生成对羟基苯甲醛和邻羟基苯甲醛(俗称水杨醛),总收率50%左右,对羟基苯甲醛收率最高仅17%。此工艺主要用来合成水杨醛,对羟基苯甲醛作为副产品,但却是现有的主要工艺生产方法之一。此工艺原料转化率和产品收率都很低,还有大量焦油产生。氯仿必需过量,未反应的苯酚不易回收,产品的分离和提纯困难。因此,必须大力开发新的高效催化剂,提高反应的选择性,开发简单高效的产品分离和提纯方法,才能降低成本,提高产品得率。(2)Gattermann反应苯酚和HCN,在AlCl3存在下,通入干HCl,进行催化反应,并在冰水中分解,得到对羟基苯甲醛,产品收率较高。如采用氰化锌代替HCN,则收率几乎是理论量。此工艺产品选择性较高,但缺点一是氰化物毒性大,操作技术要求高、难度大;二是由于采用无水操作,反应设备要求严格、费用高;三是有少量水杨醛伴随产生,产品分离提纯困难,因而限制了大规模生产。
2.对硝基甲苯法对硝基甲苯法生产对羟基苯甲醛的工艺过程分氧化还原、重氮化和水解三步进行。(1)对硝基甲苯氧化还原对硝基甲苯用多硫化钠同步氧化还原,得到对氨基苯甲醛。具体工艺过程为:将对硝基甲苯、乙醇溶剂与表面活性剂(如OP吐温等)按质量比1:5:0.02-0.04混合均匀,在80-85℃下滴加多硫化钠水溶液,反应2-3h。产物用水蒸汽蒸馏,除去对硝基甲苯和对氨基甲苯。在用乙醚萃取得对氨基苯甲醛。反应转化率和收率均在90%以上。多硫化钠可用硫氢化钠、烧碱和硫磺为原料制得。(2)重氮化和水解将对氨基苯甲醛用40%硫酸处理,在0-3℃下加入30% 亚硝酸钠溶液,反应30min左右,用少量尿素分解过量的亚硝酸钠,得到对氨基苯甲醛重氮盐溶液。此溶液在硫酸存在下水解,温度80-85℃,时间30min左右。产物经提取、纯化、干燥得对羟基苯甲醛产品,收率90%以上。此工艺的优点是原料价格便宜,但缺点是工艺路线长,设备庞大,且中间产物对氨基苯甲醛有毒,重氮化反应温度低,冷冻条件高。目前国内山西祁县精细化工厂采用此工艺生产对羟基苯甲醛。
3.对甲酚催化氧化法该工艺是在催化剂作用下,用空气或氧直接氧化对甲酚合成对羟基苯甲醛。20世纪80年代,日本、美国、德国等对此工艺路线进行了深入研究和报道。80年代末90年代初,国内江苏、上海、大连等地几家研究和生产单位也对此工艺进行了研究开发,并将其用于工业生产。其具体工艺流程为:将对甲酚、氢氧化钠、甲醇加入不锈钢压力釜,搅拌至完全溶解后,加入醋酸钴将反应釜密封,升温至55℃开始通入氧气,使釜内压力保持在1.5MPa条件反应8-10h,反应过程中严格控制通氧速率,在釜内配有盘管冷却系统,当反应时温度升高釜夹套可通冷却水,此时盘管内开始通冷却水,严格控制通氧总量,并保持釜内温度在60℃左右。反应结束时将物料放入初蒸釜,蒸去溶剂甲醇回收利用,加水溶解后加入盐酸进行盐析。将固液物料用离心机过滤,所得固体放入真空烘箱在60℃左右干燥3-5h,即可得到含量大于98%的对羟基苯甲醛。
4. 从水中得针晶。
5.制法:
于反应瓶中加入对羟基苄基醇(2)496mg(4mmol),二氧六环24mL,而后加入2,3-二氯-4,5-二氰基-1,4-苯醌(DDQ)908mg(4mmol),反应立即发生,生成深绿色(反应放热),并且约1min左右生成DDQH2沉淀。薄层分析证明15min后反应结束。由黄色反应混合物中减压蒸出溶剂,剩余物中加入二氯甲烷,滤去不溶物(DDQH2,几乎定量)。滤液浓缩,得化合物(1),收率74%。可以用水重结晶。
|
|||||||||||||||||||||||||||||||||||||||||||||||||||||||||||||||||||||||||||||||||||||||||||||||||||||||||||||||||||||||||||||||||||||||||||||||||||||||||||||||||||||||||||||||||||||||||||||||||||||||||||||||||||||||||||||||||||||||||||||||||||||||
| 符号 |
GHS07 |
|---|---|
| 信号词 | Warning |
| 危害声明 | H315-H319-H335 |
| 警示性声明 | P261-P305 + P351 + P338 |
| 个人防护装备 | dust mask type N95 (US);Eyeshields;Gloves |
| 危害码 (欧洲) | Xi:Irritant |
| 风险声明 (欧洲) | R36/37/38 |
| 安全声明 (欧洲) | S26-S36-S24/25 |
| 危险品运输编码 | NONH for all modes of transport |
| WGK德国 | 2 |
| RTECS号 | CU6475000 |
| 包装等级 | I; II; III |
| 海关编码 | 2912210000 |

搜索









