维库溴铵
-
中文名维库溴铵
-
英文名Vecuronium bromide
-
中文别名溴化凡寇罗宁 | 维库溴铵
-
英文别名
(2β,3α,5α,16β,17β)-3,17-Diacetoxy-16-(1-methyl-1-piperidiniumyl)-2-(1-piperidinyl)androstane bromide MFCD00867762 EINECS 256-723-9 Vecuronium Bromide Hydrate Piperidinium, 1-((2β,3α,5α,16β,17β)-3,17-bis(acetyloxy)-2-(1-piperidinyl)androstan-16-yl)-1-methyl-, bromide (2β,3α,5α,16β,17β)-3,17-bis(acetyloxy)-16-(1-methylpiperidinium-1-yl)-2-(piperidin-1-yl)androstane bromide Androstane-3,17-diol, 16-(1-methyl-1-piperidiniumyl)-2-(1-piperidinyl)-, bromide, diacetate (ester), (2β,3α,5α,16β,17β)- (1:1) (2β,3α,5α,16β,17β)-3,17-Diacetoxy-16-(1-methylpiperidinium-1-yl)-2-(piperidin-1-yl)androstane bromide Vecuronium bromide Norcuron -
常用名维库溴铵
-
C A S号50700-72-6
-
密度N/A
-
沸点N/A
-
熔点227-229°C
-
化学式C34H57BrN2O4
-
结构式
-
闪点N/A
-
分子量637.731
-
精确质量636.350159
-
P S A55.84000
-
外观形状
-
储存条件
保持贮藏器密封、储存在阴凉、干燥的地方,确保工作间有良好的通风或排气装置
-
稳定性
-
水溶解性
-
形态结晶
-
H L B值
-
粘度
-
PH值
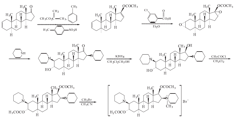
1.其合成和潘库溴铵相似,仅在最后一步中,和一分子的溴甲烷反应,生成单季铵盐而得到维库溴铵。
2. 17-乙酰氧基-5α-雄甾-2,16-二烯的制备
在反应瓶中加入5α-雄甾-2-烯-17-酮150g(0.55mol)、甲苯500ml、对甲苯磺酸13g(0.07mol)和乙酸异丙烯酯73ml,加热搅拌回流,在回流下反应37h.减压蒸除溶剂至干,剩余物加二氯甲烷350ml溶解,用水(300ml×3)洗涤至中性,无水MgSO4干燥,过滤,滤液减压蒸干,剩余物用甲醇600ml重结晶,活性炭脱色,过滤,滤液冷却析晶,得白色粉末17-乙酰氧基-5α-雄甾-2,16-二烯138.5g,收率80%,mp86~88ºC.
3. 2α,3α,16α,17α-二环氧-17β-乙酰氧基-5α-雄甾烷的制备
在反应瓶中加入17-乙酰氧基-5α-雄甾-2,16-二烯60g(0.19mol)和乙醚525ml搅拌溶解,于室温下搅拌滴加间氯过氧苯甲酸76g(纯度86%,0.38mol)和乙醚330ml的溶液,在3h内加完.滴毕,室温搅拌反应18h.反应毕,蒸去乙醚,剩余物加二氯甲烷700ml溶解,用1.25mol/LNaOH水溶液洗涤2次,然后水洗至中性,无水MgSO4干燥,过滤,滤液浓缩至干,用乙醚重结晶,得纯品2α,3α,16α,17α-二环氧-17β-乙酰氧基-5α-雄甾烷36.8g,收率56%,mp164~167ºC.
4. 2β,16β-二(1-哌啶基)-5α-雄甾烷-3α-羟基-17-酮的制备
在反应瓶中加入2α,3α,16α,17α-二环氧-17β-乙酰氧基-5α-雄甾烷25g(0.07mol)和哌啶223ml,搅拌加热回流120h.减压蒸干,加水析出产物,过滤,滤饼用水洗,加入2mol/L盐酸75ml,调至pH1~2,过滤,滤液加入2.5mol/LNaOH溶液60ml,立即析出白色固体,过滤,滤饼溶于二氯甲烷90ml,水洗至中性,无水MgSO4干燥,过滤,滤液减压蒸除溶剂,固体用丙酮重结晶,得白色粉末22.6g,收率71%,mp176~180ºC.(文献[6]报道mp179~185ºC,收率66%)
5. 2β,16β-二(1-哌啶基)-5α-雄甾烷-3α,17β-二醇的制备
在反应瓶中加入2β,16β-二(1-哌啶基)-5α-雄甾烷-3α-羟基-17-酮12g(0.03mol)、二氯甲烷15.6ml和甲醇46.8ml,搅拌下15min内加入硼氢化钾4.7g(0.09mol)加料后立即开始析出白色固体,室温搅拌反应18h.过滤,滤饼用水洗,得白色固体2β,16β-二(1-哌啶基)-5α-雄甾烷-3α,17β-二醇18.2g,收率96%,mp152~158ºC.(文献[6]报道mp155~158ºC,收率94%)
6. 2β,16β-二(1-哌啶基)-3α,17β-乙酰氧基-5α-雄甾烷的制备
装好无水氯化钙干燥管,向瓶中加入干燥的二氯甲烷40ml、2β,16β-二(1-哌啶基)-5α-雄甾烷-3α,17β-二醇4.2g(0.9mmol)和乙酰氯1.98ml,室温搅拌反应25h.用饱和Na2CO3水溶液洗至水层呈中性,有机层用无水MgSO4干燥,过滤,滤液浓缩至干,得白色固体2β,16β-二(1-哌啶基)-3α,17β-乙酰氧基-5α-雄甾烷4.2g,收率84.5%,mp136.6~138.8ºC.
7. 维库溴铵的合成
在反应瓶中加入2β,16β-二(1-哌啶基)-3α,17β-乙酰氧基-5α-雄甾烷0.8g(1.5mmol)、溴甲烷0.17g(1.8mmol)和乙腈5ml,在N2保护下,回流搅拌反应40h.将反应液浓缩至干,剩余物经氧化铝柱色谱,用异丙醇/乙酸乙酯(体积比1:1)洗脱,经后处理得油状物,用丙酮10ml溶解后,在异丙醚中析出白色固体维库溴铵0.51g,收率53.2%,mp226.5~228ºC..(文献[6]报道mp227~229ºC)
|
模块1. 化学品 1.1 产品标识符 : Vecuronium bromide 产品名称 1.2 鉴别的其他方法 1-[(2b,3a,5a,16b,17b)-3,17-Bis(acetyloxy)-2-(1-piperidinyl)androstan-16-yl]-1-methyl-piperidinium bromide
1.3 有关的确定了的物质或混合物的用途和建议不适合的用途
仅用于研发。不作为药品、家庭或其它用途。 模块2. 危险性概述 2.1 GHS-分类 急性毒性, 经口 (类别 4) 2.2 GHS 标记要素,包括预防性的陈述 象形图 警示词警告 危险申明 H302吞咽有害。 警告申明 预防措施 P264操作后彻底清洁皮肤。 P270使用本产品时不要进食、饮水或吸烟。 事故响应 P301 + P312如果吞咽并觉不适: 立即呼叫解毒中心或就医。 P330漱口。 废弃处置 P501将内容物/ 容器处理到得到批准的废物处理厂。 2.3 其它危害物 - 无 模块3. 成分/组成信息 3.1 物 质 : 1-[(2b,3a,5a,16b,17b)-3,17-Bis(acetyloxy)-2-(1-piperidinyl)androstan-16- 别名 yl]-1-methyl-piperidinium bromide : C34H57N2O4.Br 分子式 : 637.73 g/mol 分子量 组分浓度或浓度范围 Vecuronium bromide <=100% 化学文摘登记号(CAS50700-72-6 No.)256-723-9 EC-编号 模块4. 急救措施 4.1 必要的急救措施描述 一般的建议 请教医生。 向到现场的医生出示此安全技术说明书。 吸入 如果吸入,请将患者移到新鲜空气处。 如呼吸停止,进行人工呼吸。 请教医生。 皮肤接触 用肥皂和大量的水冲洗。 请教医生。 眼睛接触 用水冲洗眼睛作为预防措施。 食入 切勿给失去知觉者通过口喂任何东西。 用水漱口。 请教医生。 4.2 主要症状和影响,急性和迟发效应 4.3 及时的医疗处理和所需的特殊处理的说明和指示 无数据资料 模块5. 消防措施 5.1 灭火介质 灭火方法及灭火剂 用水雾,抗乙醇泡沫,干粉或二氧化碳灭火。 5.2 源于此物质或混合物的特别的危害 碳氧化物, 氮氧化物, 溴化氢气 5.3 给消防员的建议 如必要的话,戴自给式呼吸器去救火。 5.4 进一步信息 无数据资料 模块6. 泄露应急处理 6.1 作业人员防护措施、防护装备和应急处置程序 使用个人防护用品。 避免粉尘生成。 避免吸入蒸气、烟雾或气体。 保证充分的通风。 避免吸入粉尘。 6.2 环境保护措施 不要让产品进入下水道。 6.3 泄漏化学品的收容、清除方法及所使用的处置材料 收集和处置时不要产生粉尘。 扫掉和铲掉。 放入合适的封闭的容器中待处理。 6.4 参考其他部分 丢弃处理请参阅第13节。 模块7. 操作处置与储存 7.1 安全操作的注意事项 避免接触皮肤和眼睛。 避免形成粉尘和气溶胶。 在有粉尘生成的地方,提供合适的排风设备。一般性的防火保护措施。 7.2 安全储存的条件,包括任何不兼容性 贮存在阴凉处。 使容器保持密闭,储存在干燥通风处。 7.3 特定用途 无数据资料 模块8. 接触控制和个体防护 8.1 容许浓度 最高容许浓度 没有已知的国家规定的暴露极限。 8.2 暴露控制 适当的技术控制 根据良好的工业卫生和安全规范进行操作。 休息前和工作结束时洗手。 个体防护设备 眼/面保护 带有防护边罩的安全眼镜符合 EN166要求请使用经官方标准如NIOSH (美国) 或 EN 166(欧盟) 检测与批准的设备防护眼部。 皮肤保护 戴手套取 手套在使用前必须受检查。 请使用合适的方法脱除手套(不要接触手套外部表面),避免任何皮肤部位接触此产品. 使用后请将被污染过的手套根据相关法律法规和有效的实验室规章程序谨慎处理. 请清洗并吹干双手 所选择的保护手套必须符合EU的89/686/EEC规定和从它衍生出来的EN 376标准。 完全接触 物料: 丁腈橡胶 最小的层厚度 0.11 mm 溶剂渗透时间: 480 min 测试过的物质Dermatril® (KCL 740 / Z677272, 规格 M) 飞溅保护 物料: 丁腈橡胶 最小的层厚度 0.11 mm 溶剂渗透时间: 480 min 测试过的物质Dermatril® (KCL 740 / Z677272, 规格 M) , 测试方法 EN374 如果以溶剂形式应用或与其它物质混合应用,或在不同于EN 374规定的条件下应用,请与EC批准的手套的供应商联系。 这个推荐只是建议性的,并且务必让熟悉我们客户计划使用的特定情况的工业卫生学专家评估确认才可. 这不应该解释为在提供对任何特定使用情况方法的批准. 身体保护 全套防化学试剂工作服, 防护设备的类型必须根据特定工作场所中的危险物的浓度和数量来选择。 呼吸系统防护 如须暴露于有害环境中,请使用P95型(美国)或P1型(欧盟 英国 143)防微粒呼吸器。如需更高级别防护,请使用OV/AG/P99型(美国)或ABEK-P2型 (欧盟 英国 143) 防毒罐。 呼吸器使用经过测试并通过政府标准如NIOSH(US)或CEN(EU)的呼吸器和零件。 模块9. 理化特性 9.1 基本的理化特性的信息 a) 外观与性状 形状: 结晶, 粉末 颜色: 白色 b) 气味 无数据资料 c) 气味阈值 无数据资料 d) pH值 无数据资料 e) 熔点/凝固点 无数据资料 f) 沸点、初沸点和沸程 无数据资料 g) 闪点 无数据资料 h) 蒸发速率 无数据资料 i) 易燃性(固体,气体) 无数据资料 j) 高的/低的燃烧性或爆炸性限度 无数据资料 k) 蒸气压 无数据资料 l) 蒸汽密度 无数据资料 m) 密度/相对密度 无数据资料 n) 水溶性 无数据资料 o) n-辛醇/水分配系数 无数据资料 p) 自燃温度 无数据资料 q) 分解温度 无数据资料 r) 粘度 无数据资料 模块10. 稳定性和反应活性 10.1 反应性 无数据资料 10.2 稳定性 无数据资料 10.3 危险反应 无数据资料 10.4 应避免的条件 无数据资料 10.5 不相容的物质 强氧化剂 10.6 危险的分解产物 其它分解产物 - 无数据资料 模块11. 毒理学资料 11.1 毒理学影响的信息 急性毒性 半数致死剂量 (LD50) 经口 - 大鼠 - 455 mg/kg 备注: 行为的:嗜睡(全面活力抑制)。 行为的:运动失调症 肺,胸,或者呼吸系统:呼吸困难 半数致死剂量 (LD50) 静脉内的 - 大鼠 - 0.2 mg/kg 备注: 行为的:抽搐或对癫痫阈值的影响。 行为的:运动失调症 肺,胸,或者呼吸系统:呼吸困难 皮肤刺激或腐蚀 无数据资料 眼睛刺激或腐蚀 无数据资料 呼吸道或皮肤过敏 无数据资料 生殖细胞致突变性 致癌性 IARC: 此产品中没有大于或等于 0。1%含量的组分被 IARC鉴别为可能的或肯定的人类致癌物。 生殖毒性 特异性靶器官系统毒性(一次接触) 无数据资料 特异性靶器官系统毒性(反复接触) 无数据资料 吸入危险 无数据资料 潜在的健康影响 吸入吸入可能有害。 可能引起呼吸道刺激。 摄入误吞对人体有害。 皮肤通过皮肤吸收可能有害。 可能引起皮肤刺激。 眼睛可能引起眼睛刺激。 附加说明 化学物质毒性作用登记: TN4875000 模块12. 生态学资料 12.1 生态毒性 无数据资料 12.2 持久性和降解性 无数据资料 12.3 潜在的生物累积性 无数据资料 12.4 土壤中的迁移性 无数据资料 12.5 PBT 和 vPvB的结果评价 无数据资料 12.6 其它不良影响 无数据资料 模块13. 废弃处置 13.1 废物处理方法 产品 将剩余的和不可回收的溶液交给有许可证的公司处理。 联系专业的拥有废弃物处理执照的机构来处理此物质。 与易燃溶剂相溶或者相混合,在备有燃烧后处理和洗刷作用的化学焚化炉中燃烧 受污染的容器和包装 按未用产品处置。 模块14. 运输信息 14.1 联合国危险货物编号 欧洲陆运危规: -国际海运危规: -国际空运危规: - 14.2 联合国运输名称 欧洲陆运危规: 非危险货物 国际海运危规: 非危险货物 国际空运危规: 非危险货物 14.3 运输危险类别 欧洲陆运危规: -国际海运危规: -国际空运危规: - 14.4 包裹组 欧洲陆运危规: -国际海运危规: -国际空运危规: - 14.5 环境危险 欧洲陆运危规: 否国际海运危规国际空运危规: 否 海洋污染物(是/否): 否 14.6 对使用者的特别提醒 无数据资料 上述信息视为正确,但不包含所有的信息,仅作为指引使用。本文件中的信息是基于我们目前所知,就正 确的安全提示来说适用于本品。该信息不代表对此产品性质的保证。 参见发票或包装条的反面。 模块 15 - 法规信息 N/A 模块16 - 其他信息 N/A |
| 符号 |
GHS07 |
|---|---|
| 信号词 | Warning |
| 危害声明 | H302 |
| 警示性声明 | P301 + P312 + P330 |
| 危害码 (欧洲) | Xi: Irritant; |
| 风险声明 (欧洲) | R36/37/38 |
| 安全声明 (欧洲) | 26-37/39 |
| 危险品运输编码 | NONH for all modes of transport |
| 海关编码 | 2933399090 |

搜索








