咪唑
-
中文名咪唑
-
英文名Imidazole
-
中文别名间二氮茂 | 1,3-二氮唑 | 甘恶啉 | 甘噁啉 | 1,3-二氮杂-2,4-环戊二烯 | 咪唑 | 咁噁啉 | 1,3-二氨杂环戊二烯 | 1,3-二氮唑 | 1,3-二氨杂环戊二烯
-
英文别名
IMD 1,3-Diaza-2,4-cyclopentadiene,Glyoxaline GLYOXALIN LMIDAZOLE glioksal 1,3-diaza-2,4-cyclopentadiene Imidazol Miazole 1,3-imidazole Imidazoie Imidazole MFCD00005183 1-imidazole EINECS 206-019-2 Imidazole buffer IMINAZOLE 1,3-diazole Imutex Clotrimazole Impurity 4 -
常用名咪唑
-
C A S号288-32-4
-
密度1.1±0.1 g/cm3
-
沸点257.0±9.0 °C at 760 mmHg
-
熔点88-91 °C(lit.)
-
化学式C3H4N2
-
结构式
1、 摩尔折射率:18.77
2、 摩尔体积(cm3/mol):60.9
3、 等张比容(90.2K):161.0
4、 表面张力(dyne/cm):48.6
5、 介电常数(F/m):无可用
6、 偶极距(D):无可用
7、 极化率(10-24cm3):7.44
-
闪点145.0±0.0 °C
-
分子量68.077
-
精确质量68.037445
-
P S A28.68000
-
外观形状白色至黄色晶体或粉末,带有一种胺的气味
-
储存条件
采用木桶或玻璃瓶包装。储存于阴凉、通风、干燥处。防热、防潮、防晒、防碰撞。按有毒物品规定储运。
采用木桶或玻璃瓶包装,贮存在阴凉、通风、干燥处。防热、防晒、防潮、防碰撞。按有毒物品规定贮运。
-
稳定性
-
水溶解性
-
形态无色棱形结晶
-
H L B值
-
粘度
-
PH值
由乙二醛经环合;中和而得。将乙二醛、甲醛、硫酸铵投入反应锅,搅拌加热至85-88℃,保温4h。冷至50-60℃,用石灰水中和至pH为10以上。加热至85-90℃,排氨1h以上,稍冷,过滤,滤饼用热水洗涤,合并洗;滤液,减压浓缩至无水蒸出时,继续减压蒸馏至低沸物全部蒸完,收集105-160℃(0.133-0.267kPa)馏分,得咪唑。收率约45%。
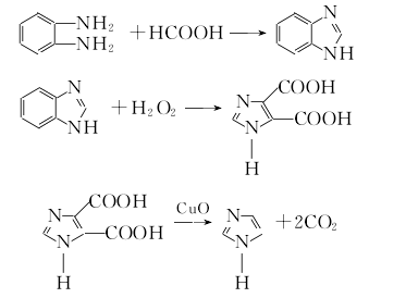
另一种制法是使邻苯二胺与甲酸环合生成苯骈咪唑,再经双氧水反应开环为4,5-二羟基咪唑,最后脱羧制得咪唑。4,5-二羟基咪唑也可由d-酒石酸经硝化、环合而得。4,5-二羧基咪唑的脱羧制取咪唑的工艺过程如下:将4,5-二羟基咪唑与氧化铜混合,加热至100-280℃,放出大量二氧化碳气体,收集馏出液即得粗品,用苯重结晶得成品,收率76%。
3.咪唑的化学合成路线有乙二醛合成法、腈类合成法、酒石酸法、邻苯二胺与甲酸环合法、溴乙醛法等。
(1)工业乙二醛合成法 将乙二醛、甲醛、硫酸铵投入反应釜,搅拌加热至85~88℃,保温4h。然后冷却至50~60℃,用石灰水中和至pH值10以上,再加热至85~90℃,排氨1h以上。稍冷后,过滤,滤饼用热水洗涤,合并洗、滤液,加入到蒸馏装置中,先减压浓缩至无水蒸出,再继续减压蒸馏至低沸物全部蒸完,然后收集105~160℃/133.3~266.7Pa馏分,得咪唑。收率约45%。每吨产品消耗乙二醛4172kg,甲醛(37%)2344kg,硫酸铵(99%)3826kg,石灰2571kg。反应式如下:
该法由于收率和产品质量不尽如人意,文献报道了一些改进方法,如采用异丙醚萃取的方法、用乌洛托品代替甲醛的合成方法、用氨水代替硫酸铵的合成方法、用草酸铵代替硫酸铵的合成方法等。如用草酸铵代替硫酸铵可使收率提高到65%。
4.邻苯二胺与甲酸环合法 将邻苯二胺与甲酸环合生成苯并咪唑,再经双氧水反应开环为4,5-二羧基咪唑,最后脱羧制得咪唑
5.溴乙醛法 用醋酸乙烯酯与溴加成,再用乙醇处理,生成溴代乙醛,再与溴化氢、乙醇作用生成缩醛。缩醛在乙二醇及浓盐酸作用下生成环状缩醛,用过量甲酰胺与缩醛在不断通入氨气情况下反应,生成咪唑,产率为50%。
|
模块1. 化学品 1.1 产品标识符 : 咪唑 产品名称 1.2 鉴别的其他方法 1,3-Diaza-2,4-cyclopentadiene Glyoxaline
1.3 有关的确定了的物质或混合物的用途和建议不适合的用途 仅用于研发。不作为药品、家庭或其它用途。 模块2. 危险性概述 2.1 GHS-分类 急性毒性, 经口 (类别 4) 皮肤腐蚀 (类别 1B) 严重眼睛损伤 (类别 1) 生殖毒性 (类别 1B) 2.2 GHS 标记要素,包括预防性的陈述 象形图 警示词危险 危险申明 H302吞咽有害。 H314造成严重皮肤灼伤和眼损伤。 H360可能对生育能力或胎儿造成伤害。 警告申明 预防措施 P201在使用前获取特别指示。 P202在读懂所有安全防范措施之前切勿操作。 P260不要吸入粉尘或烟雾。 P264操作后彻底清洁皮肤。 P270使用本产品时不要进食、饮水或吸烟。 P280戴防护手套/穿防护服/戴护目镜/戴面罩. 事故响应 P301 + P312如果吞咽并觉不适: 立即呼叫解毒中心或就医。 P301 + P330 + P331如果吞咽:漱口,不要催吐。 P303 + P361 + P353如果皮肤(或头发)接触:立即除去∕脱掉所有沾污的衣物。用水清洗皮肤∕ 淋浴。 P304 + P340如果吸入:将受害人移至空气新鲜处并保持呼吸舒适的姿势休息。 P305 + P351 + P338如与眼睛接触,用水缓慢温和地冲洗几分钟。如戴隐形眼镜并可方便地取 出,取出隐形眼镜,然后继续冲洗. P310立即呼叫中毒控制中心或医生. P321具体处置(见本标签上提供的急救指导)。 P363沾污的衣服清洗后方可再用。 安全储存 P405存放处须加锁。 废弃处置 P501将内容物/ 容器处理到得到批准的废物处理厂。 只限于专业使用者。 2.3 其它危害物 - 无 模块3. 成分/组成信息 3.1 物 质 : 1,3-Diaza-2,4-cyclopentadiene 别名 Glyoxaline : C3H4N2 分子式 : 68.08 g/mol 分子量 组分浓度或浓度范围 Imidazole <=100% 化学文摘登记号(CAS288-32-4 No.)206-019-2 EC-编号01-2119485825-24-XXXX 注册号 模块4. 急救措施 4.1 必要的急救措施描述 一般的建议 请教医生。 向到现场的医生出示此安全技术说明书。 吸入 如果吸入,请将患者移到新鲜空气处。 如呼吸停止,进行人工呼吸。 请教医生。 皮肤接触 立即脱掉被污染的衣服和鞋。 用肥皂和大量的水冲洗。 请教医生。 眼睛接触 用大量水彻底冲洗至少15分钟并请教医生。 食入 禁止催吐。 切勿给失去知觉者通过口喂任何东西。 用水漱口。 请教医生。 4.2 主要症状和影响,急性和迟发效应 据我们所知,此化学,物理和毒性性质尚未经完整的研究。 4.3 及时的医疗处理和所需的特殊处理的说明和指示 无数据资料 模块5. 消防措施 5.1 灭火介质 灭火方法及灭火剂 用水雾,抗乙醇泡沫,干粉或二氧化碳灭火。 5.2 源于此物质或混合物的特别的危害 碳氧化物, 氮氧化物, 氢氰酸 5.3 给消防员的建议 如必要的话,戴自给式呼吸器去救火。 5.4 进一步信息 无数据资料 模块6. 泄露应急处理 6.1 作业人员防护措施、防护装备和应急处置程序 使用个人防护用品。 避免粉尘生成。 避免吸入蒸气、烟雾或气体。 保证充分的通风。 人员疏散到安全区域。 避免吸入粉尘。 6.2 环境保护措施 如能确保安全,可采取措施防止进一步的泄漏或溢出。 不要让产品进入下水道。 6.3 泄漏化学品的收容、清除方法及所使用的处置材料 收集和处置时不要产生粉尘。 扫掉和铲掉。 放入合适的封闭的容器中待处理。 6.4 参考其他部分 丢弃处理请参阅第13节。 模块7. 操作处置与储存 7.1 安全操作的注意事项 避免曝露:使用前需要获得专门的指导。避免接触皮肤和眼睛。 避免形成粉尘和气溶胶。 在有粉尘生成的地方,提供合适的排风设备。 7.2 安全储存的条件,包括任何不兼容性 贮存在阴凉处。 使容器保持密闭,储存在干燥通风处。 7.3 特定用途 无数据资料 模块8. 接触控制和个体防护 8.1 容许浓度 最高容许浓度 没有已知的国家规定的暴露极限。 8.2 暴露控制 适当的技术控制 根据良好的工业卫生和安全规范进行操作。 休息前和工作结束时洗手。 个体防护设备 眼/面保护 面罩與安全眼鏡请使用经官方标准如NIOSH (美国) 或 EN 166(欧盟) 检测与批准的设备防护眼部。 皮肤保护 戴手套取 手套在使用前必须受检查。 请使用合适的方法脱除手套(不要接触手套外部表面),避免任何皮肤部位接触此产品. 使用后请将被污染过的手套根据相关法律法规和有效的实验室规章程序谨慎处理. 请清洗并吹干双手 所选择的保护手套必须符合EU的89/686/EEC规定和从它衍生出来的EN 376标准。 完全接触 物料: 丁腈橡胶 最小的层厚度 0.11 mm 溶剂渗透时间: 480 min 测试过的物质Dermatril® (KCL 740 / Z677272, 规格 M) 飞溅保护 物料: 丁腈橡胶 最小的层厚度 0.11 mm 溶剂渗透时间: 480 min 测试过的物质Dermatril® (KCL 740 / Z677272, 规格 M) , 测试方法 EN374 如果以溶剂形式应用或与其它物质混合应用,或在不同于EN 374规定的条件下应用,请与EC批准的手套的供应商联系。 这个推荐只是建议性的,并且务必让熟悉我们客户计划使用的特定情况的工业卫生学专家评估确认才可. 这不应该解释为在提供对任何特定使用情况方法的批准. 身体保护 全套防化学试剂工作服, 防护设备的类型必须根据特定工作场所中的危险物的浓度和数量来选择。 呼吸系统防护 如危险性评测显示需要使用空气净化的防毒面具,请使用全面罩式多功能微粒防毒面具N100型(US )或P3型(EN 143)防毒面具筒作为工程控制的候补。如果防毒面具是保护的唯一方式,则使用全面罩式送风防毒 面具。 呼吸器使用经过测试并通过政府标准如NIOSH(US)或CEN(EU)的呼吸器和零件。 模块9. 理化特性 9.1 基本的理化特性的信息 a) 外观与性状 形状: 结晶粉末 颜色: 白色 b) 气味 像胺的 c) 气味阈值 无数据资料 d) pH值 9 - 11 在 100 g/l 在 23 °C e) 熔点/凝固点 熔点/凝固点: 88 - 91 °C f) 沸点、初沸点和沸程 256 °C g) 闪点 145 °C - 闭杯 h) 蒸发速率 无数据资料 i) 易燃性(固体,气体) 无数据资料 j) 高的/低的燃烧性或爆炸性限度 无数据资料 k) 蒸气压 0.003 hPa 在 20 °C l) 蒸汽密度 无数据资料 m) 密度/相对密度 1.030 g/cm3 n) 水溶性 633 g/l 在 20 °C o) n-辛醇/水分配系数 辛醇--水的分配系数的对数值: -0.02 在 25 °C p) 自燃温度 无数据资料 q) 分解温度 无数据资料 r) 粘度 无数据资料 模块10. 稳定性和反应活性 10.1 反应性 无数据资料 10.2 稳定性 无数据资料 10.3 危险反应 无数据资料 10.4 应避免的条件 无数据资料 10.5 不相容的物质 酸, 酸酐, 强氧化剂 10.6 危险的分解产物 其它分解产物 - 无数据资料 模块11. 毒理学资料 11.1 毒理学影响的信息 急性毒性 半数致死剂量 (LD50) 经口 - 大鼠 - 970 mg/kg 皮肤刺激或腐蚀 皮肤 - 兔子 - 引致灼伤。 眼睛刺激或腐蚀 无数据资料 呼吸道或皮肤过敏 无数据资料 生殖细胞致突变性 动物试验未见致突变影响。 对细菌或哺乳动物细胞培养未见致突变影响。 致癌性 IARC: 此产品中没有大于或等于 0。1%含量的组分被 IARC鉴别为可能的或肯定的人类致癌物。 生殖毒性 有可能会损害胎儿。 假设的人类生殖毒物 有可能会损害胎儿。 特异性靶器官系统毒性(一次接触) 无数据资料 特异性靶器官系统毒性(反复接触) 无数据资料 吸入危险 无数据资料 潜在的健康影响 吸入吸入可能有害。 该物质对组织、粘膜和上呼吸道破坏力强 摄入误吞对人体有害。 引致灼伤。 皮肤通过皮肤吸收可能有害。 引起皮肤灼伤。 眼睛引起眼睛灼伤。 接触后的征兆和症状 据我们所知,此化学,物理和毒性性质尚未经完整的研究。 附加说明 化学物质毒性作用登记: NI3325000 模块12. 生态学资料 12.1 生态毒性 对鱼类的毒性静态试验 半数致死浓度(LC50) - 高体雅罗鱼 (金雅罗鱼) - 280 mg/l - 48 h 对水蚤和其他水生无脊半数效应浓度(EC50) - 水蚤 - 341.5 mg/l - 48 h 椎动物的毒性 对藻类的毒性静态试验 半数效应浓度(EC50) - 四尾栅藻(绿藻) - 133 mg/l - 72 h 细菌毒性见用户自定的说明书 - 其他微生物 - 45 mg/l - 0.5 h 12.2 持久性和降解性 生物降解能力好氧的 - 接触时间 19 d 结果: 86 % - 易生物降解。 12.3 潜在的生物累积性 无数据资料 12.4 土壤中的迁移性 无数据资料 12.5 PBT 和 vPvB的结果评价 无数据资料 12.6 其它不良影响 无数据资料 模块13. 废弃处置 13.1 废物处理方法 产品 将剩余的和不可回收的溶液交给有许可证的公司处理。 与易燃溶剂相溶或者相混合,在备有燃烧后处理和洗刷作用的化学焚化炉中燃烧 受污染的容器和包装 按未用产品处置。 模块14. 运输信息 14.1 联合国危险货物编号 欧洲陆运危规: 3263国际海运危规: 3263国际空运危规: 3263 14.2 联合国运输名称 欧洲陆运危规: CORROSIVE SOLID, BASIC, ORGANIC, N.O.S. (Imidazole) 国际海运危规: CORROSIVE SOLID, BASIC, ORGANIC, N.O.S. (Imidazole) 国际空运危规: Corrosive solid, basic, organic, n.o.s. (Imidazole) 14.3 运输危险类别 欧洲陆运危规: 8国际海运危规: 8国际空运危规: 8 14.4 包裹组 欧洲陆运危规: II国际海运危规: II国际空运危规: II 14.5 环境危险 欧洲陆运危规: 否国际海运危规国际空运危规: 否 海洋污染物(是/否): 否 14.6 对使用者的特别提醒 无数据资料 模块 15 - 法规信息 N/A 模块16 - 其他信息 N/A |
| 符号 |
GHS05, GHS07, GHS08 |
|---|---|
| 信号词 | Danger |
| 危害声明 | H302-H314-H360D |
| 警示性声明 | P201-P260-P280-P303 + P361 + P353-P305 + P351 + P338-P308 + P313 |
| 个人防护装备 | Eyeshields;Faceshields;full-face particle respirator type N100 (US);Gloves;respirator cartridge type N100 (US);type P1 (EN143) respirator filter;type P3 (EN 143) respirator cartridges |
| 危害码 (欧洲) | C:Corrosive |
| 风险声明 (欧洲) | R22;R34;R63 |
| 安全声明 (欧洲) | S26-S36/37/39-S45-S22-S36 |
| 危险品运输编码 | UN 2923 8/PG 3 |
| WGK德国 | 1 |
| RTECS号 | NI3325000 |
| 包装等级 | III |
| 危险类别 | 8 |
| 海关编码 | 2933990090 |

搜索











