光稳定剂 Irgastab-2002
1.用作高分子材料的光稳定剂和抗氧剂
2.高分子材料的光稳定剂和抗氧剂,具有对光和热的稳定性高、相容性好、耐油性及着色性小等特点。主要用于聚烯烃(特别是聚丙烯纤维、薄膜和窄带)、苯乙烯均聚物和共聚物、氯乙烯的均聚物和共聚物、乙烯醋酸乙烯共聚物、聚酰胺、聚酯、丁基橡胶、丁苯橡胶等。常与酚类抗氧剂并用,与紫外线吸收剂、亚磷酸酯和硫代酯等辅助抗氧剂也有协同作用。参考用量0.1~1.0份。
产品名称
-
中文名(3S,6E,10S)-6,10-二甲基-3-异丙基环癸-6-烯-1,4-二酮
-
英文名Nickel bis[monoethyl(3,5-di-tert-butyl-4-hydroxylbenzyl)phosphonate]
-
中文别名光稳定剂 Irgastab-2002 | 双(3,5-二叔丁基-4-羟基苄基膦酸单乙酯)镍
-
英文别名
Irgastab 2002 Irgastab 2002 HT nickel(2+) bis[ethyl(3,5-di-tert-butyl-4-hydroxybenzyl)phosphonate] Nickel(2+) diethyl bis(((3,5-bis(1,1-dimethylethyl)-4-hydroxyphenyl)methyl)phosphonate) EINECS 250-401-1 Phosphonic acid,((3,5-bis(1,1-dimethylethyl)-4-hydroxyphenyl)methyl)-,monoethyl ester,nickel(2+) salt (2:1) -
常用名光稳定剂 Irgastab-2002
-
C A S号30947-30-9
物理性质
-
密度1.099g/cm3
-
沸点408.3ºC at 760 mmHg
-
熔点N/A
-
化学式C34H56NiO8P2
-
结构式
-
闪点200.7ºC
-
分子量713.44500
-
精确质量712.28000
-
P S A131.14000
-
外观形状
-
储存条件
操作环境通风,避免吸入本品粉末,本品用内衬塑料袋,外用纸桶包装 ,存放于阴凉通风处。注意防晒,防潮,防水。
-
稳定性
-
水溶解性
-
形态
-
H L B值
-
粘度
-
PH值
作用/用途
1.用作高分子材料的光稳定剂和抗氧剂
2.高分子材料的光稳定剂和抗氧剂,具有对光和热的稳定性高、相容性好、耐油性及着色性小等特点。主要用于聚烯烃(特别是聚丙烯纤维、薄膜和窄带)、苯乙烯均聚物和共聚物、氯乙烯的均聚物和共聚物、乙烯醋酸乙烯共聚物、聚酰胺、聚酯、丁基橡胶、丁苯橡胶等。常与酚类抗氧剂并用,与紫外线吸收剂、亚磷酸酯和硫代酯等辅助抗氧剂也有协同作用。参考用量0.1~1.0份。
制备方法
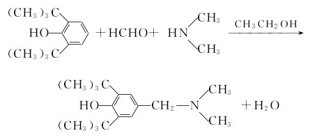
1.将3,5-二叔丁基酚与甲醛和二甲胺及溶剂乙醇加入反应,搅拌下加热升温至75~80℃进行反应,生成3,5-二叔丁基酚-4-羟基苄基二甲胺
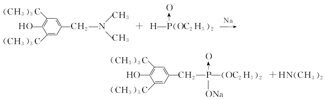
2.3,5-二叔丁基苯酚-4-羟基苄基二甲胺与磷酸二乙酯在金属钠存在下,于110~130℃下进行反应,生成3,5-二叔丁基-4-羟基苄基磷酸二乙酯:
3.3,5-二叔丁基-4-羟基苄基磷酸二乙酯于125~135℃下,与氢氧化钠进行皂化反应,生成-4-二叔丁基-4-羟基苄基磷酸单乙酯钠盐:
4.3,5-二叔丁基-4-羟基苄基磷酸单乙酯钠盐再与氯化镍的水溶液于40℃下反应,生成光稳定剂2002
安全提醒
MSDS
原料简介
应用范围
毒性和生态
安全信息
是否危险品
危险性
危险类别码
危险等级
触发危险方式
安全技术说明书
环境影响程度
包装与储运
相关供应商

搜索










