司普替林
Setiptiline(Org-8282)为5羟色胺受体拮抗剂。
产品名称
-
中文名司普替林
-
英文名Setiptiline
-
中文别名2,3,4,9-四氢-2-甲基-1H-[3,4:6,7]环庚三烯并[1,2-C]吡啶 | 西替普塔林 | 塞替普林:MO8282
-
英文别名
ORG 8282 Setiptilina [Spanish] EINECS 260-653-4 MO 8282 Setiptilinum [Latin] 2,3,4,9-tetrahydro-2-methyl-1H-dibenzo[3,4:6,7]cyclohepta[1,2-c]pyridine Teciptiline -
常用名司普替林
-
C A S号57262-94-9
物理性质
-
密度1.15
-
沸点421.7ºC at 760mmHg
-
熔点N/A
-
化学式C19H19N
-
结构式
1、 摩尔折射率:83.11
2、 摩尔体积(cm3/mol):225.9
3、 等张比容(90.2K):601.8
4、 表面张力(dyne/cm):50.3
5、 极化率(10-24cm3):32.94
-
闪点185.5ºC
-
分子量261.36100
-
精确质量261.15200
-
P S A3.24000
-
外观形状
-
储存条件
-
稳定性
-
水溶解性
-
形态
-
H L B值
-
粘度
-
PH值
作用/用途
Setiptiline(Org-8282)为5羟色胺受体拮抗剂。
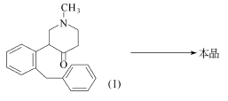
制备方法
化合物(I)在多聚磷酸中加热环合而得。
安全提醒
MSDS
原料简介
应用范围
毒性和生态
安全信息
是否危险品
危险性
危险类别码
危险等级
触发危险方式
安全技术说明书
环境影响程度
包装与储运
相关供应商

搜索







