氯沙坦
Losartan 是血管紧张素II受体拮抗剂,与血管紧张素II竞争性结合AT1受体,IC50为20 nM。
产品名称
-
中文名洛沙坦
-
英文名Losartan
-
中文别名2-丁基-4-氯-1-[[2'(-(1H-四唑-5-基)[1,1'(-联苯]-4-基]甲基]-1H-咪唑-5-甲醇 | 2-丁基-4-氯-5-(羟甲基)-1-[[2'-(1H-四氮唑-5-)联苯基-4-]甲基]咪唑 | 科素亚
-
英文别名
2-Butyl-4-chloro-1-[p-(o-1H-tetrazol-5-ylphenyl)benzyl]imidazole-5-methanol nyl)-4-yl)methyl) 1H-imidazole-5-methanol, 2-butyl-4-chloro-1-2'-(1H-tetrazol-5-yl)1,1'-biphenyl-4-ylmethyl- Lorzaar Compound 89 (2-Butyl-4-chloro-1-{[2'-(1H-tetrazol-5-yl)biphenyl-4-yl]methyl}-1H-imidazol-5-yl)methanol 1H-Imidazole-5-methanol, 2-butyl-4-chloro-1-[[2'-(1H-tetrazol-5-yl)[1,1'-biphenyl]-4-yl]methyl]- LOS 2-Butyl-4-chloro-1-[[2'-(1H-tetrazol-5-yl)[1,1'-biphenyl]-4-yl]methyl]-1H-imidazole-5-methanol (2-butyl-4-chloro-1-{2'-(1H-tetrazol-5-yl)biphenyl-4-ylmethyl}-1H-imidazol-5-yl)methanol Losartan dup89 (2-Butyl-4-chloro-1-{[2'-(1H-tetrazol-5-yl)-4-biphenylyl]methyl}-1H-imidazol-5-yl)methanol 2-n-Butyl-4-chloro-5-hydroxymethyl-1-[[2'-(1H-tetrazol-5-yl)biphenyl-4-yl]methyl]imidazole MFCD00865831 -
常用名氯沙坦
-
C A S号114798-26-4
物理性质
-
密度1.4±0.1 g/cm3
-
沸点682.0±65.0 °C at 760 mmHg
-
熔点183-184ºC
-
化学式C22H23ClN6O
-
结构式
1、 摩尔折射率:118.23
2、 摩尔体积(cm3/mol):312.5
3、 等张比容(90.2K):844.5
4、 表面张力(dyne/cm):53.3
5、 极化率(10-24cm3):46.87
-
闪点366.3±34.3 °C
-
分子量422.911
-
精确质量422.162201
-
P S A92.51000
-
外观形状淡黄色固体
-
储存条件
-
稳定性
-
水溶解性
-
形态
-
H L B值
-
粘度
-
PH值
作用/用途
Losartan 是血管紧张素II受体拮抗剂,与血管紧张素II竞争性结合AT1受体,IC50为20 nM。
制备方法
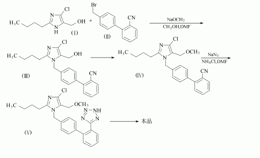
2-丁基-4-氯-5-羟甲基咪唑(I)和甲醇钠的甲醇溶液搅拌0.5h后,生成的钠盐再和4’-溴甲基-2-氰基联苯(Ⅱ)在二甲基甲酰胺中搅拌过夜,得到化合物(Ⅲ)。(Ⅲ)通过二步反应转化为化合物(Ⅳ)。(Ⅳ)和叠氮钠在含氯化铵的二甲基甲酰胺中,在100℃下搅拌2天,再在120℃下搅拌11天,得到化合物(V)。最后酸性水解得到氯沙坦。
安全提醒
MSDS
原料简介
应用范围
毒性和生态
安全信息
| 危害码 (欧洲) | Xi: Irritant; |
|---|---|
| 风险声明 (欧洲) | R36/37/38 |
| 安全声明 (欧洲) | S8-S43-S36/37-S22 |
| 危险品运输编码 | 3278 |
| WGK德国 | 3 |
| 包装等级 | III |
| 危险类别 | 4.3 |
| 海关编码 | 2942000000 |
是否危险品
危险性
危险类别码
危险等级
触发危险方式
安全技术说明书
环境影响程度
包装与储运
相关供应商

搜索







