沙美特罗
-
中文名沙美特罗
-
英文名Salmeterol
-
中文别名西美特罗 | 2-(羟甲基)-4-[1-羟基-2-[6-(4-苯基丁氧)己基氨基]乙基]-苯酚
-
英文别名
(+-)-4-hydroxy-alpha1-(((6-(4-phenylbutoxy)hexyl)amino)methyl)-1,3-benzenedi SAMETEROL SalmeterolXenofoate 4-Hydroxy-3-[hydroxymethyl]phenyl-N-[6-phenylbutoxyhexyl]ethanolamine Salmeterol 2-(Hydroxymethyl)-4-(1-hydroxy-2-{[6-(4-phenylbutoxy)hexyl]amino}ethyl)phenol 2-(hydroxymethyl)-4-[1-hydroxy-2-({6-[(4-phenylbutyl)oxy]hexyl}amino)ethyl]phenol 2-hydroxymethyl-4-{1-hydroxy-2-[6-(4-phenylbutoxy)hexylamino]ethyl}phenol (±)-4-Hydroxy-a1-[[[6-(4-phenylbutoxy)hexyl]amino]methyl]-1,3-benzenedimethanol MFCD00867037 serevent (R) (±)-4-Hydroxy-a1-[[[6-(4-phenylbutoxy)hexyl]amino]methyl]-m-xylene-a,a1-diol 1,3-Benzenedimethanol, 4-hydroxy-α-[[[6-(4-phenylbutoxy)hexyl]amino]methyl]- SALMETEROL(SUBJECTTOPATENTFREE) 4-HYDROXY-A1-[[[6-(4-PHENYLBUTOXY)HEXYL]AMINO]METHYL]-1,3-BENZENEDIMETHANOL -
常用名沙美特罗
-
C A S号89365-50-4
-
密度1.1±0.1 g/cm3
-
沸点603.0±55.0 °C at 760 mmHg
-
熔点N/A
-
化学式C25H37NO4
-
结构式
1、 摩尔折射率:121.83
2、 摩尔体积(cm3/mol):373.6
3、 等张比容(90.2K):985.4
4、 表面张力(dyne/cm):48.3
5、 极化率(10-24cm3):48.29
-
闪点318.5±31.5 °C
-
分子量415.566
-
精确质量415.272247
-
P S A81.95000
-
外观形状
-
储存条件
2-8°C冷藏
-
稳定性
-
水溶解性
-
形态
-
H L B值
-
粘度
-
PH值
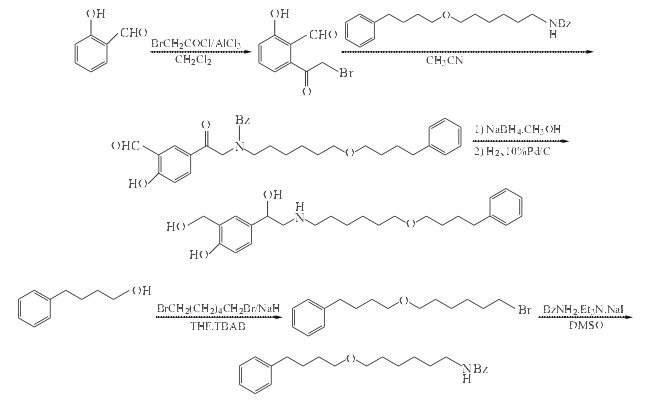
4-苯基丁醇、1,6-二溴己烷、四丁基铵硫酸氢盐和50%氢氧化钠水溶液,在65~70℃加热4h,得到的化合物和3-羟甲基-4,α-二羟基苯乙胺缩合,即得沙美特罗。
1. 5-(溴乙酰基)-2-羟基苯甲醛的制备
在反应瓶中加入无水二氯甲烷120ml、无水三氯化铝53.2g(0.4mol),于室温和搅拌下加入溴乙酰氯24.1g(0.12mol)的二氯甲烷30ml溶液,搅拌30min后,往该混合物滴加水杨醛12.2g(0.1mol)的二氯甲烷30ml溶液,加毕,将混合物搅拌回流反应14~18h.然后小心将反应液倾入冰和水的混合物中.水层用二氯甲烷提取,合并有机相,用水50ml洗涤,再用盐水50ml洗涤,有机相用无水MgSO4干燥,过滤,滤液减压蒸除溶剂,剩余物用CH2Cl2/己烷重结晶,得黄色针状结晶5-(溴乙酰基)-2-羟基苯甲醛16.0g,收率66%,mp117.5~118 ºC.
2. [4-[(6-溴己基)氧基]丁基]苯的制备
在反应瓶中加入无水THF100ml和NaH 2.9(0.073mol)(分散在矿物油中产品,含量60%),在N2保护下及搅拌悬浮条件下于室温滴加4-苯基丁醇10.0g(0.067mol)的无水THF50ml溶液,滴毕,于同温度下搅拌反应2h.再滴加1,6-二溴己烷48.8g(0.2mol)TBAB(四丁基溴化铵)100mg.加毕,将混合物搅拌7h.加水40ml,用乙醚(120×3)提取,合并有机相,无水Na2SO4干燥,过滤,滤液蒸除溶剂,剩余物经硅胶柱色谱[洗脱剂为乙酸乙酯/己烷(1:10)]纯化,经处理,得清澈的无色液体[4-[(6-溴己基)氧基]丁基]苯16.9g,收率81%.
3. N-[6-(4-苯基丁氧基)己基]苯甲胺的制备
在反应瓶中加入DMSO和上步制得的化合物[4-[(6-溴己基)氧基]丁基]苯3.14g(10mmol),搅拌溶解,加入苄胺(BzNH2)2.14g(20mmol)、三乙胺1.0g(10mol)和碘化钠(NaI)90mg,将混合物于室温搅拌反应17h.然后加入乙醚200ml、10%NaOH 20ml和盐水80ml,充分搅拌后,静置分层,分取有机相,用盐水洗,干燥,过滤,滤液浓缩,剩余物经硅胶柱色谱(洗脱剂为CH2Cl2/甲醇)纯化,后处理后得淡黄色油状物N-[6-(4-苯基丁氧基)己基]苯甲胺2.4g,收率70%.
4. 2-羟基-5-[[[6,6-(4-苯基丁氧基)己基苄基]氨基]乙酰基]苯甲醛的制备
在反应瓶中加入上步产物N-[6-(4-苯基丁氧基)己基]苯甲胺1.36g(4mmol)和5-(溴乙酰基)-2-羟基苯甲醛0.49g(2mmol),再加入乙腈或异丙醇20ml,搅拌加热至回流,搅拌回流反应1h.加入乙醚30ml,将混合物于冰箱中急冷,析出固体沉淀,过滤,滤液蒸除溶液,剩余物经硅胶柱色谱(洗脱剂为CH2Cl2/甲醇)纯化,得2-羟基-5-[[[6,6-(4-苯基丁氧基)己基苄基]氨基]乙酰基]苯甲醛0.71g,收率71%,该产物为黄色油状物.
5. 5-羟基-α’-[[[-(4-苯基丁氧基)己基]氨基]甲基]-1,3-苯基二甲醇(沙美特罗)的合成
在反应瓶中加入上步产物2-羟基-5-[[[6,6-(4-苯基丁氧基)己基苄基]氨基]乙酰基]苯甲醛0.4g(0.8mmol)和甲醇10ml,冷至0ºC,搅拌下加入NaBH4 90mg(24mmol)(加时应小心慢慢加入),加毕,将混合物于室温搅拌反应36h.反应毕,反应混合物用3mol/L盐酸(约5ml)酸化,减压蒸除溶剂,水相用10%Na2CO3水溶液调至pH8,用乙酸乙酯(100ml×3)提取,提取液用水洗,无水Na2SO4干燥,过滤,滤液减压浓缩,剩余油状物用甲醇10ml稀释加至反应瓶中,再加入催化剂10%Pd/C 80mg,常温常压通H2反应10h.反应毕,过滤回收催化剂,滤液除溶剂成琥珀色糖浆状物,加冷乙酸乙酯冷却析晶,得白色粉状沙美特罗5-羟基-α’-[[[-(4-苯基丁氧基)己基]氨基]甲基]-1,3-苯基二甲醇(沙美特罗)0.21g,收率62%,mp75~76ºC.
| RTECS号 | CZ6457000 |
|---|---|
| 海关编码 | 2922509090 |









