氟罗沙星
-
中文名氟罗沙星
-
英文名Fleroxacin
-
中文别名6,8-二氟-1-(2-氟乙基)-1,4-二氢-7-(4-甲基-1-哌嗪基)-4-氧-3-喹啉羧酸 | 三氟沙星 | 多氟沙星 | 6,8-二氟-1-(2-氟乙基)-7-(4-甲基-1-哌嗪基)-1,4-二氢-4-氧代-3-喹啉羧酸 | 沃尔得片 | 多氟哌酸
-
英文别名
Fleroxacin 6,8-difluoro-1-(2-fluoroethyl)-1,4-dihydro-4-oxo-7-(4-methyl-1-piperazinyl)-quinoline-3-carboxylic acid MEGALONE 6,8-difluoro-1-(2-fluoro-ethyl)-1,4-dihydro-7-(4-methyl-1-piperazinyl)-4-oxo-3-quinolinecarboxylic acid 6,8-Difluoro-1-(2-fluoroethyl)-7-(4-methyl-1-piperazinyl)-4-oxo-1,4-dihydro-3-quinolinecarboxylic acid ro23-6240/000 3-Quinolinecarboxylic acid, 6,8-difluoro-1-(2-fluoroethyl)-1,4-dihydro-7-(4-methyl-1-piperazinyl)-4-oxo- Megalocin AM-833 Quinodis 3-quinolinecarboxylicacid,1,4-dihydro-6,8-difluoro-1-(2-fluoroethyl)-7-(4-met hyl-1-piperazinyl)-4-oxo MFCD00864880 6,8-difluoro-1-(2-fluoroethyl)-7-(4-methylpiperazin-1-yl)-4-oxoquinoline-3-carboxylic acid 6,8-Difluoro-1-(2-fluoroethyl)-7-(4-methylpiperazin-1-yl)-4-oxo-1,4-dihydroquinoline-3-carboxylic acid 6,8-difluoro-1-(2-fluoroethyl)-1,4-dihydro-7-(4-methyl-1-piperazinyl)-4-oxoquinoline-3-carboxylic acid RO-23-6240 -
常用名氟罗沙星
-
C A S号79660-72-3
-
密度1.4±0.1 g/cm3
-
沸点535.3±50.0 °C at 760 mmHg
-
熔点264-266°C
-
化学式C17H18F3N3O3
-
结构式
1、 摩尔折射率:85.78
2、 摩尔体积(cm3/mol):262.1
3、 等张比容(90.2K):695.8
4、 表面张力(dyne/cm):49.6
5、 介电常数:
6、 偶极距(10-24cm3):
7、 极化率:34.00
-
闪点277.6±30.1 °C
-
分子量369.338
-
精确质量369.130035
-
P S A65.78000
-
外观形状白色针状晶体
-
储存条件
存放在密封容器内,并放在阴凉,干燥处。储存的地方必须远离氧化剂。远离火源,热,避光保存。
-
稳定性
-
水溶解性
-
形态白色结晶性粉末。
-
H L B值
-
粘度
-
PH值
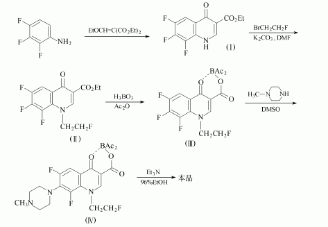
1. 2,3,4-三氟苯胺和乙氧基亚甲基丙二酸二乙酯,在150℃反应,并蒸去生成的乙醇。然后加入十六烷,在200~220℃下进行环合,生成6,7,8-三氟-4-氧代-3-喹啉羧酸乙酯(I),收率90%。化合物(Ⅰ)和无水碳酸钾溶于二甲基甲酰胺,在室温下缓慢滴加氟溴乙烷。滴毕,升至60~70℃反应,得化合物(Ⅱ),收率79%。硼酸和乙酸酐在室温下搅拌后,加入化合物(Ⅱ),在105~110℃下反应。得化合物(Ⅲ),收率80%。化合物(Ⅲ)和N-甲基哌嗪溶于二甲亚砜,于80~90℃下反应,得化合物(Ⅳ),收率89.1%。化合物(Ⅳ)、95%乙醇和三乙胺,一起回流,水解得氟罗沙星,收率90%。总收率40%。
2. 6,7,8-三氟-1-(2-氟乙基)-1,4-二氢-4-氧代-3-喹啉酸乙酯的制备
在反应瓶中加入6,7,8-三氟-1,4-二氢-4-氧代-3-喹啉羧酸乙酯60g(0.22mol)、无水碳酸钾50g(0.36mol)、碘化钾18g(0.11mol)和DMF240ml,搅拌加热至90ºC,滴加1-溴-2-氟乙烷 42g(0.33mol),滴毕,保温搅拌反应10h.减压回收DMF冷至室温#加入水适量,过滤,滤饼用水洗,乙醇洗,得类白色固体6,7,8-三氟-1-(2-氟乙基)-1,4-二氢-4-氧代-3-喹啉酸乙酯64.5g,收率92.5%.
3. 6,8-二氟-1-(2-氟乙基)-1,4-二氢-7-(4-甲基-1-哌嗪基)-4-氧代-3-喹啉羧酸乙酯的制备
在反应瓶中加入6,7,8-三氟-1-(2-氟乙基)-1,4-二氢-4-氧代-3-喹啉酸乙酯64g(0.2mol)和N-甲基哌嗪
160g(1.6mol),搅拌加热至110ºC,搅拌反应6h.减压回收N-甲基哌嗪(约110g)冷却,加适量水稀释,析
出固体过滤,水洗滤饼,得类白色固体6,8-二氟-1-(2-氟乙基)-1,4-二氢-7-(4-甲基-1-哌嗪基)-4-氧代-3-喹啉羧酸乙酯70.5g,收率88.8%.(该步反应中加适量K2CO3对反应有促反应完全作用.)
4. 盐酸氟罗沙星的合成
在反应瓶中加入6,8-二氟-1-(2-氟乙基)-1,4-二氢-7-(4-甲基-1-哌嗪基)-4-氧代-3-喹啉羧酸乙酯60g(0.15mol)与3%NaOH溶液600ml,搅拌加热至85ºC,保温搅拌反应1h.过滤,滤液用乙酸调至pH7.2,降温,过滤,滤饼依次用适量水、乙醇洗,干燥得白色固体45.5g,收率82.2%.
取白色固体36.9g(0.1,ol)、370ml乙醇,搅拌混合,加入18%盐酸水溶液,加热回流4h.冷却析晶,过滤,滤液依次用冷乙醇洗,乙醚洗,抽干,用水重结晶得盐酸氟罗沙星38.0g,收率93.6%.
|
氟罗沙星
修改号码:5
模块1. 化学品 产品名称: Fleroxacin 修改号码: 5 模块2. 危险性概述 GHS分类 物理性危害未分类
健康危害 特异性靶器官毒性器官 - 单一接触 [第2级] 环境危害未分类 GHS标签元素 图标或危害标志 信号词警告 危险描述 可能对器官产生损害: 器官 防范说明 [预防]切勿吸入。 使用本产品时切勿吃东西,喝水或吸烟。 处理后要彻底清洗双手。 [急救措施] 如接触到或感不适:呼叫解毒中心/医生。 [储存]存放处须加锁。 [废弃处置] 根据当地政府规定把物品/容器交与工业废弃处理机构。 模块3. 成分/组成信息 单一物质/混和物单一物质 化学名(中文名):氟罗沙星 百分比: >98.0%(T) CAS编码: 79660-72-3 俗名: 6,8-Difluoro-1-(2-fluoroethyl)-1,4-dihydro-7-(4-methyl-1-piperazinyl)-4- oxo-3-quinolinecarboxylic Acid , Megalone 氟罗沙星 修改号码:5 模块3. 成分/组成信息 分子式: C17H18F3N3O3 模块4. 急救措施 吸入: 将受害者移到新鲜空气处,保持呼吸通畅,休息。立即呼叫解毒中心/医生。 皮肤接触: 立即去除/脱掉所有被污染的衣物。用大量肥皂和水轻轻洗。 呼叫解毒中心/医生。 眼睛接触:用水小心清洗几分钟。如果方便,易操作,摘除隐形眼镜。 立即呼叫解毒中心/医生。 食入: 呼叫解毒中心/医生。漱口。 紧急救助者的防护:救援者需要穿戴个人防护用品,比如橡胶手套和气密性护目镜。 模块5. 消防措施 合适的灭火剂:干粉,泡沫,雾状水,二氧化碳 特殊危险性:小心,燃烧或高温下可能分解产生毒烟。 特定方法:从上风处灭火,根据周围环境选择合适的灭火方法。 非相关人员应该撤离至安全地方。 周围一旦着火:如果安全,移去可移动容器。 消防员的特殊防护用具:灭火时,一定要穿戴个人防护用品。 模块6. 泄漏应急处理 个人防护措施,防护用具, 使用特殊的个人防护用品(针对有毒颗粒的P3过滤式空气呼吸器)。远离溢出物/泄露 紧急措施:处并处在上风处。 泄露区应该用安全带等圈起来,控制非相关人员进入。 环保措施:防止进入下水道。 控制和清洗的方法和材料:清扫收集粉尘,封入密闭容器。注意切勿分散。附着物或收集物应该立即根据合适的 法律法规处置。 模块7. 操作处置与储存 处理 技术措施:在通风良好处进行处理。穿戴合适的防护用具。防止粉尘扩散。处理后彻底清洗双手 和脸。 注意事项:如果可能,使用封闭系统。如果粉尘或浮质产生,使用局部排气。 操作处置注意事项:避免接触皮肤、眼睛和衣物。 贮存 储存条件:保持容器密闭。存放于凉爽、阴暗处。 存放处须加锁。 远离不相容的材料比如氧化剂存放。 包装材料:依据法律。 模块8. 接触控制和个体防护 工程控制:尽可能安装封闭体系或局部排风系统。同时安装淋浴器和洗眼器。 个人防护用品 呼吸系统防护: 防尘面具,自携式呼吸器(SCBA),供气呼吸器等。使用通过政府标准的呼吸器。依 据当地和政府法规。 手部防护:防渗手套。 眼睛防护:护目镜。如果情况需要,佩戴面具。 皮肤和身体防护:防渗防护服。如果情况需要,穿戴防护靴。 氟罗沙星 修改号码:5 模块9. 理化特性 固体 外形(20°C): 外观: 晶体-粉末 颜色:白色类白色 气味:无资料 pH:无数据资料 熔点:无资料 沸点/沸程无资料 闪点:无资料 爆炸特性 爆炸下限:无资料 爆炸上限:无资料 密度:无资料 溶解度: [水]无资料 [其他溶剂]无资料 log水分配系数 = -1.28 模块10. 稳定性和反应性 化学稳定性:一般情况下稳定。 危险反应的可能性:未报道特殊反应性。 须避免接触的物质氧化剂 危险的分解产物: 一氧化碳, 二氧化碳, 氮氧化物 (NOx), 氟化氢 模块11. 毒理学信息 急性毒性: ipr-rat LD50:>1500 mg/kg scu-rat LD50:>1500 mg/kg ivn-rat LD50:20405 ug/kg orl-rat LD50:>4 g/kg 对皮肤腐蚀或刺激:无资料 对眼睛严重损害或刺激:无资料 生殖细胞变异原性: mmo-sat 0.0001 mg/plate (+S9) 致癌性: IARC =无资料 NTP =无资料 生殖毒性:无资料 RTECS 号码: VB1999050 模块12. 生态学信息 生态毒性: 鱼类:无资料 甲壳类:无资料 藻类:无资料 残留性 / 降解性:无资料 潜在生物累积 (BCF):无资料 土壤中移动性 log水分配系数: -1.28 土壤吸收系数 (Koc):无资料 亨利定律无资料 constant(PaM3/mol): 氟罗沙星 修改号码:5 模块13. 废弃处置 如果可能,回收处理。请咨询当地管理部门。建议在可燃溶剂中溶解混合,在装有后燃和洗涤装置的化学焚烧炉中 焚烧。废弃处置时请遵守国家、地区和当地的所有法规。 模块14. 运输信息 联合国分类:与联合国分类标准不一致 UN编号:未列明 模块15. 法规信息 《危险化学品安全管理条例》(2002年1月26日国务院发布,2011年2月16日修订): 针对危险化学品的安全使用、 生产、储存、运输、装卸等方面均作了相应的规定。 模块16 - 其他信息 N/A |
| 个人防护装备 | Eyeshields;Gloves;type N95 (US);type P1 (EN143) respirator filter |
|---|---|
| 危险品运输编码 | NONH for all modes of transport |
| RTECS号 | VB1999050 |
| 海关编码 | 2933990090 |

搜索







